Logo Header
  1. Môn Toán
  2. đề kiểm tra 1 tiết hình học 11 chương 1 (phép biến hình) trường thpt cây dương – kiên giang

đề kiểm tra 1 tiết hình học 11 chương 1 (phép biến hình) trường thpt cây dương – kiên giang

Bạn đang xem tài liệu đề kiểm tra 1 tiết hình học 11 chương 1 (phép biến hình) trường thpt cây dương – kiên giang được biên soạn theo đề thi toán mới nhất. Tài liệu này hệ thống hóa kiến thức một cách khoa học, phù hợp cho mọi lộ trình học từ cơ bản đến nâng cao. Hãy khai thác triệt để nội dung để bứt phá điểm số và tự tin chinh phục mọi kỳ thi nhé!

Đánh giá chi tiết đề kiểm tra 1 tiết Hình học 11 – Chương 1: Phép dời hình và phép đồng dạng trong mặt phẳng

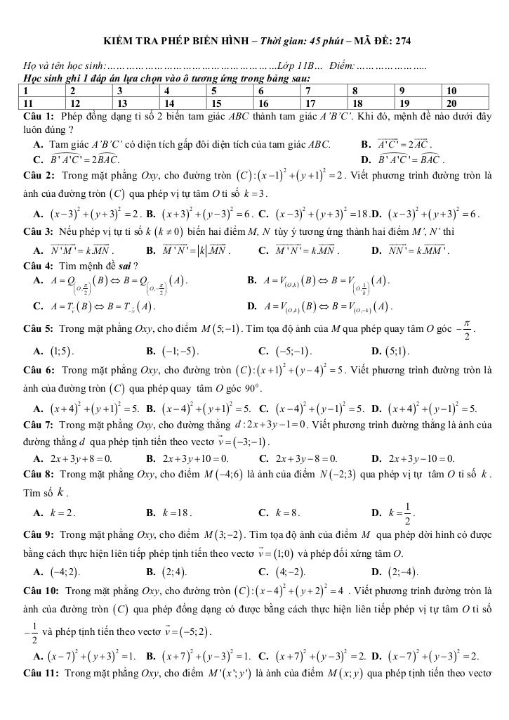
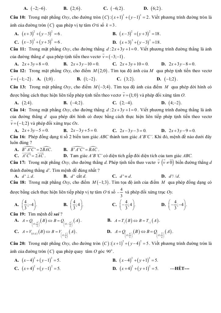
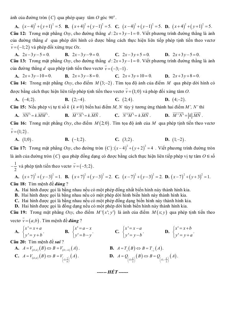
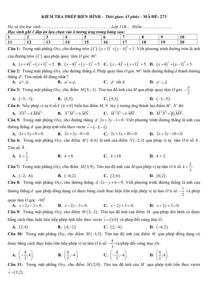
Đề kiểm tra 1 tiết môn Hình học 11 của trường THPT Cây Dương, Kiên Giang, tập trung vào chương 1 – Phép dời hình và phép đồng dạng trong mặt phẳng, là một công cụ đánh giá hữu ích về mức độ nắm vững kiến thức cơ bản và khả năng vận dụng của học sinh. Đề thi được xây dựng dưới dạng trắc nghiệm với 4 mã đề, mỗi đề gồm 20 câu hỏi, kèm theo đáp án chi tiết ở cuối tài liệu. Điều này tạo điều kiện thuận lợi cho cả học sinh trong quá trình tự ôn luyện và cho giáo viên trong việc chấm, kiểm tra, đánh giá kết quả học tập.

Phân tích nội dung đề thi qua các câu hỏi trích dẫn:

  1. Câu hỏi về khái niệm hai hình bằng nhau: Câu hỏi trắc nghiệm về điều kiện để hai hình bằng nhau (lựa chọn A) kiểm tra sự hiểu biết chính xác về định nghĩa. Học sinh cần phân biệt rõ ràng giữa phép dời hình và phép đồng dạng trong việc xác định tính bằng nhau của hai hình. Việc lựa chọn các đáp án sai (B, C, D) cho thấy sự nhầm lẫn phổ biến về mối quan hệ giữa các phép biến hình và tính chất của hình.
  2. Câu hỏi về phép vị tự: Bài toán liên quan đến phép vị tự biến hai điểm A, C thành M, N (lựa chọn B) đòi hỏi học sinh phải nắm vững cách xác định tâm và tỉ số của phép vị tự. Để giải quyết bài toán này, học sinh cần hiểu rõ mối liên hệ giữa vị trí của các điểm trong tam giác và ảnh của chúng qua phép vị tự. Đây là một dạng bài tập điển hình để kiểm tra khả năng áp dụng kiến thức vào giải quyết vấn đề thực tế.
  3. Câu hỏi về phép biến hình: Câu hỏi về quy tắc không phải là phép biến hình (lựa chọn D) đánh giá khả năng phân biệt các phép biến hình với các quy tắc biến đổi hình học khác. Học sinh cần hiểu rõ định nghĩa về phép biến hình, đó là một song ánh bảo toàn khoảng cách giữa các điểm. Việc dựng điểm M cách I một khoảng không đổi không đảm bảo tính bảo toàn khoảng cách, do đó không phải là một phép biến hình.

Nhận xét chung:

Các câu hỏi trích dẫn cho thấy đề thi có cấu trúc rõ ràng, bao gồm các câu hỏi kiểm tra kiến thức lý thuyết cơ bản và các câu hỏi vận dụng để giải quyết bài toán cụ thể. Đề thi tập trung vào các nội dung trọng tâm của chương 1, như định nghĩa các phép dời hình, phép đồng dạng, tính chất của chúng và ứng dụng trong việc chứng minh tính bằng nhau, đồng dạng của hình. Việc cung cấp đáp án chi tiết giúp học sinh tự đánh giá kết quả học tập và rút kinh nghiệm cho các bài kiểm tra tiếp theo.

Tài liệu hỗ trợ:

Tài liệu cung cấp file WORD của đề thi, rất hữu ích cho giáo viên trong việc chỉnh sửa, bổ sung hoặc sử dụng làm đề tham khảo. Việc có file WORD cũng tạo điều kiện cho giáo viên dễ dàng tạo ra các đề thi tương tự với mức độ khó khác nhau, phù hợp với trình độ của học sinh.

Kết luận:

Đề kiểm tra 1 tiết Hình học 11 của trường THPT Cây Dương, Kiên Giang là một đề thi chất lượng, có tính phân loại cao, giúp đánh giá đúng năng lực của học sinh trong việc nắm vững kiến thức và kỹ năng về phép dời hình và phép đồng dạng trong mặt phẳng.

Chinh phục đỉnh cao Toán 11 và đặt nền móng vững chắc cho cánh cửa Đại học với nội dung đề kiểm tra 1 tiết hình học 11 chương 1 (phép biến hình) trường thpt cây dương – kiên giang trong chuyên mục Đề thi Toán lớp 11 trên nền tảng đề thi toán! Bộ bài tập toán thpt, được biên soạn chuyên sâu, bám sát chặt chẽ chương trình Toán lớp 11 và định hướng các kỳ thi quan trọng, cam kết tối ưu hóa toàn diện quá trình ôn luyện. Qua đó, học sinh không chỉ làm chủ kiến thức phức tạp mà còn rèn luyện tư duy giải quyết vấn đề, sẵn sàng cho các kỳ thi và chương trình đại học, nhờ phương pháp tiếp cận trực quan, logic và mang lại hiệu quả học tập vượt trội.
images-post/de-kiem-tra-1-tiet-hinh-hoc-11-chuong-1-phep-bien-hinh-truong-thpt-cay-duong-kien-giang-1.jpgimages-post/de-kiem-tra-1-tiet-hinh-hoc-11-chuong-1-phep-bien-hinh-truong-thpt-cay-duong-kien-giang-2.jpgimages-post/de-kiem-tra-1-tiet-hinh-hoc-11-chuong-1-phep-bien-hinh-truong-thpt-cay-duong-kien-giang-3.jpgimages-post/de-kiem-tra-1-tiet-hinh-hoc-11-chuong-1-phep-bien-hinh-truong-thpt-cay-duong-kien-giang-4.jpgimages-post/de-kiem-tra-1-tiet-hinh-hoc-11-chuong-1-phep-bien-hinh-truong-thpt-cay-duong-kien-giang-5.jpgimages-post/de-kiem-tra-1-tiet-hinh-hoc-11-chuong-1-phep-bien-hinh-truong-thpt-cay-duong-kien-giang-6.jpgimages-post/de-kiem-tra-1-tiet-hinh-hoc-11-chuong-1-phep-bien-hinh-truong-thpt-cay-duong-kien-giang-7.jpgimages-post/de-kiem-tra-1-tiet-hinh-hoc-11-chuong-1-phep-bien-hinh-truong-thpt-cay-duong-kien-giang-8.jpgimages-post/de-kiem-tra-1-tiet-hinh-hoc-11-chuong-1-phep-bien-hinh-truong-thpt-cay-duong-kien-giang-9.jpg

File đề kiểm tra 1 tiết hình học 11 chương 1 (phép biến hình) trường thpt cây dương – kiên giang PDF Chi Tiết

TÌM KIẾM THEO TỪ KHÓA