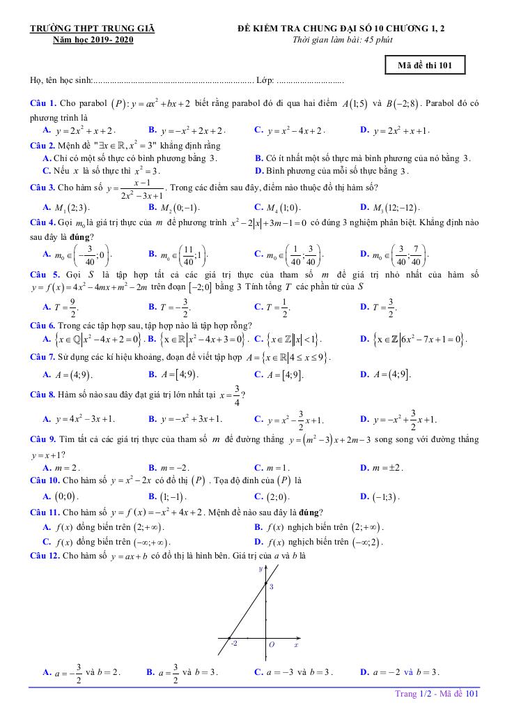
Phân tích Đề Kiểm Tra Chung Đại Số 10 – Chương 1 & 2 (Trường THPT Trung Giã, Hà Nội – Năm học 2019-2020)
Nhằm đánh giá năng lực học tập môn Toán của học sinh khối 10 trong giai đoạn giữa học kỳ 1 năm học 2019 – 2020, trường THPT Trung Giã, Sóc Sơn, Hà Nội đã tổ chức kỳ kiểm tra chung môn Đại số 10, tập trung vào kiến thức của chương 1 và chương 2.
Đề kiểm tra mã 101 có cấu trúc gồm 25 câu hỏi trắc nghiệm, được trình bày trên 2 trang giấy, với thời gian làm bài là 45 phút. Nội dung đề bao phủ các chủ đề cốt lõi sau:
Đề thi có kèm đáp án, tạo điều kiện thuận lợi cho việc tự đánh giá và ôn tập kiến thức.
Ví dụ minh họa từ đề thi:
Câu 1: Mệnh đề “tồn tại x thuộc R sao cho x2 = 3” khẳng định rằng?
(Đánh giá: Câu hỏi này kiểm tra sự hiểu biết về ký hiệu "tồn tại" trong logic mệnh đề, một khái niệm quan trọng trong toán học. Đáp án đúng là B, thể hiện sự nắm vững ý nghĩa của mệnh đề lượng từ.)
Câu 2: Lớp 10C (trường THPT Trung Giã – Hà Nội) có 7 học sinh giỏi Toán, 5 học sinh giỏi Lý, 6 học sinh giỏi Hoá, 3 học sinh giỏi cả Toán và Lý, 4 học sinh giỏi cả Toán và Hoá, 2 học sinh giỏi cả Lý và Hoá, 1 học sinh giỏi cả 3 môn Toán, Lý, Hoá. Hỏi số học sinh giỏi ít nhất một môn (Toán, Lý, Hoá ) của lớp 10C là?
(Đánh giá: Đây là bài toán ứng dụng của tập hợp, cụ thể là sử dụng công thức bao hàm – loại trừ để tính số phần tử của hợp các tập hợp. Bài toán đòi hỏi học sinh phải phân tích thông tin, xác định các tập hợp liên quan, và áp dụng công thức một cách chính xác.)
Câu 3: Trong các câu sau, có bao nhiêu câu là mệnh đề?
(Đánh giá: Câu hỏi này kiểm tra khả năng phân biệt mệnh đề và không phải là mệnh đề. Mệnh đề phải là một câu khẳng định có thể xác định được tính đúng sai. Các câu (II) và (III) là mệnh đề đúng, câu (IV) là mệnh đề sai, còn câu (I) là một câu cảm thán, không phải là mệnh đề.)
Tài liệu hỗ trợ:
File WORD (dành cho quý thầy, cô): TẢI XUỐNG
Nhận xét chung: Đề kiểm tra có cấu trúc rõ ràng, bao phủ các kiến thức trọng tâm của chương 1 và chương 2 Đại số 10. Các câu hỏi có tính phân loại, từ câu hỏi kiểm tra kiến thức cơ bản đến câu hỏi vận dụng và giải quyết vấn đề. Đề thi phù hợp để đánh giá chất lượng học tập của học sinh và cung cấp thông tin hữu ích cho việc điều chỉnh phương pháp giảng dạy.


