Phân tích Đề Kiểm Tra Đại Số 10 – Chương 4: Bất Đẳng Thức và Bất Phương Trình (Năm học 2018-2019, THPT Thị xã Quảng Trị)
Đề kiểm tra một tiết Đại số 10 chương 4 của trường THPT Thị xã Quảng Trị (năm học 2018-2019) tập trung đánh giá khả năng vận dụng các kiến thức cơ bản về bất đẳng thức và bất phương trình của học sinh. Đề thi có cấu trúc tự luận với 3 bài toán, được thiết kế với thời gian làm bài 45 phút, phù hợp với khối lượng kiến thức và yêu cầu rèn luyện kỹ năng giải quyết vấn đề trong giai đoạn này.
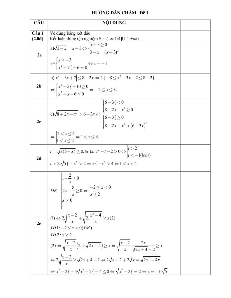
Đánh giá chung về đề thi:
Phân tích chi tiết các bài toán:
Đây là bài toán cơ bản về bất phương trình bậc hai. Học sinh cần xác định được nghiệm của phương trình tương ứng, sau đó sử dụng phương pháp xét dấu để xác định khoảng nghiệm của bất phương trình. Bài toán này kiểm tra khả năng hiểu và vận dụng thành thạo kiến thức về bất phương trình bậc hai và bảng xét dấu.
Bài toán này đòi hỏi học sinh phải nắm vững các phương pháp giải phương trình chứa căn thức (bình phương hai vế, kiểm tra điều kiện) và bất phương trình. Đặc biệt, bất phương trình thứ hai có dạng phức tạp hơn, đòi hỏi học sinh phải biến đổi khéo léo để đưa về dạng quen thuộc và giải quyết. Bài toán này đánh giá khả năng phân tích, biến đổi và giải quyết các bài toán phức tạp hơn.
Đây là bài toán về tham số, yêu cầu học sinh phải sử dụng các kiến thức về điều kiện có nghiệm của bất phương trình (thường liên quan đến dấu của hệ số hoặc delta). Bài toán này kiểm tra khả năng suy luận logic và vận dụng kiến thức vào giải quyết các bài toán tổng quát.
Tài liệu hỗ trợ:
File WORD (dành cho quý thầy, cô): TẢI XUỐNG
Nhìn chung, đề kiểm tra Đại số 10 chương 4 năm 2018-2019 trường THPT Thị xã Quảng Trị là một đề thi có chất lượng, phù hợp với mục tiêu đánh giá kiến thức và kỹ năng của học sinh về bất đẳng thức và bất phương trình.



