Logo Header
  1. Môn Toán
  2. đề kiểm tra đs và gt 11 chương 4 năm 2019 – 2020 trường đoàn thượng – hải dương

đề kiểm tra đs và gt 11 chương 4 năm 2019 – 2020 trường đoàn thượng – hải dương

Bạn đang xem tài liệu đề kiểm tra đs và gt 11 chương 4 năm 2019 – 2020 trường đoàn thượng – hải dương được biên soạn theo soạn toán mới nhất. Tài liệu này hệ thống hóa kiến thức một cách khoa học, phù hợp cho mọi lộ trình học từ cơ bản đến nâng cao. Hãy khai thác triệt để nội dung để bứt phá điểm số và tự tin chinh phục mọi kỳ thi nhé!

Phân tích Đề Kiểm Tra Đại Số và Giải Tích 11 – Chương 4 (Năm học 2019-2020) – Trường THPT Đoàn Thượng, Hải Dương (Mã đề 132)

Đề kiểm tra Đại số và Giải tích 11 chương 4 của trường THPT Đoàn Thượng, Hải Dương (năm học 2019-2020, mã đề 132) là một đề thi đánh giá mức độ nắm vững kiến thức về giới hạn dãy số, giới hạn hàm số và tính liên tục của hàm số. Đề thi có cấu trúc gồm 10 câu trắc nghiệm và 4 câu tự luận, với thời gian làm bài 45 phút. Đây là một cấu trúc phổ biến, giúp kiểm tra cả khả năng hiểu biết lý thuyết và kỹ năng vận dụng kiến thức vào giải quyết bài toán.

Đánh giá chung về nội dung đề thi:

Đề thi tập trung vào các nội dung cốt lõi của chương 4, bao gồm:

  • Giới hạn dãy số: Mặc dù không có câu hỏi trực tiếp về giới hạn dãy số, nhưng kiến thức về giới hạn dãy số là nền tảng để hiểu và tính giới hạn hàm số.
  • Giới hạn hàm số: Đề thi yêu cầu thí sinh tính giới hạn hàm số, đòi hỏi việc nắm vững các quy tắc tính giới hạn và các dạng giới hạn cơ bản.
  • Tính liên tục của hàm số: Đây là phần trọng tâm của đề thi, với yêu cầu xác định tham số để hàm số liên tục tại một điểm.

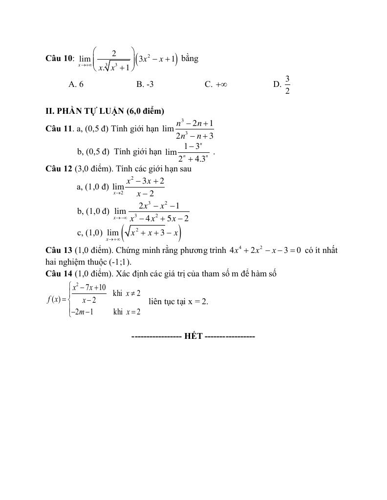
Phân tích chi tiết các câu tự luận:

  1. Chứng minh sự tồn tại nghiệm của phương trình: Câu hỏi yêu cầu chứng minh phương trình 4x4 + 2x2 – x – 3 = 0 có ít nhất hai nghiệm thuộc khoảng (-1;1). Đây là một bài toán ứng dụng của định lý về giá trị trung gian (Intermediate Value Theorem). Để giải quyết bài toán này, thí sinh cần:
    • Xác định hàm số f(x) = 4x4 + 2x2 – x – 3.
    • Tính f(-1) và f(1).
    • Chứng minh rằng f(-1) và f(1) trái dấu.
    • Kết luận về sự tồn tại ít nhất một nghiệm trong khoảng (-1;1).
    • Để chứng minh có hai nghiệm, cần phân tích thêm hoặc sử dụng đạo hàm để xét tính đơn điệu của hàm số.
  2. Xác định tham số m để hàm số liên tục: Câu hỏi yêu cầu xác định giá trị của tham số m để hàm số f(x) = (x2 – 7x + 10)/(x – 2) khi x ≠ 2 và f(x) = -2m – 1 khi x = 2 liên tục tại x = 2. Để giải quyết bài toán này, thí sinh cần:
    • Tính giới hạn của f(x) khi x tiến tới 2.
    • Rút gọn biểu thức f(x) khi x ≠ 2 để dễ dàng tính giới hạn.
    • Áp dụng điều kiện liên tục của hàm số tại x = 2: limx→2 f(x) = f(2).
    • Giải phương trình để tìm giá trị của m.
  3. Tính giới hạn hàm số: Câu hỏi yêu cầu tính giới hạn lim (n3 – 2n + 1)/(2n3 – n + 3). Đây là một bài toán tính giới hạn của hàm số tại vô cùng. Để giải quyết bài toán này, thí sinh cần:
    • Chia cả tử và mẫu cho n3 (lũy thừa cao nhất của n).
    • Sử dụng các quy tắc tính giới hạn để tính giới hạn của từng thành phần.
    • Kết luận về giá trị của giới hạn.

Nhận xét:

Đề thi có độ khó vừa phải, phù hợp với trình độ học sinh lớp 11. Các câu hỏi tự luận đòi hỏi thí sinh phải nắm vững lý thuyết và có kỹ năng giải toán tốt. Việc cung cấp đáp án đi kèm là một điểm cộng, giúp học sinh tự đánh giá kết quả và rút kinh nghiệm.

File WORD (dành cho quý thầy, cô): TẢI XUỐNG

Chinh phục đỉnh cao Toán 11 và đặt nền móng vững chắc cho cánh cửa Đại học với nội dung đề kiểm tra đs và gt 11 chương 4 năm 2019 – 2020 trường đoàn thượng – hải dương trong chuyên mục toán lớp 11 trên nền tảng soạn toán! Bộ bài tập toán trung học phổ thông, được biên soạn chuyên sâu, bám sát chặt chẽ chương trình Toán lớp 11 và định hướng các kỳ thi quan trọng, cam kết tối ưu hóa toàn diện quá trình ôn luyện. Qua đó, học sinh không chỉ làm chủ kiến thức phức tạp mà còn rèn luyện tư duy giải quyết vấn đề, sẵn sàng cho các kỳ thi và chương trình đại học, nhờ phương pháp tiếp cận trực quan, logic và mang lại hiệu quả học tập vượt trội.
images-post/de-kiem-tra-ds-va-gt-11-chuong-4-nam-2019-2020-truong-doan-thuong-hai-duong-1.jpgimages-post/de-kiem-tra-ds-va-gt-11-chuong-4-nam-2019-2020-truong-doan-thuong-hai-duong-2.jpgimages-post/de-kiem-tra-ds-va-gt-11-chuong-4-nam-2019-2020-truong-doan-thuong-hai-duong-3.jpgimages-post/de-kiem-tra-ds-va-gt-11-chuong-4-nam-2019-2020-truong-doan-thuong-hai-duong-4.jpgimages-post/de-kiem-tra-ds-va-gt-11-chuong-4-nam-2019-2020-truong-doan-thuong-hai-duong-5.jpgimages-post/de-kiem-tra-ds-va-gt-11-chuong-4-nam-2019-2020-truong-doan-thuong-hai-duong-6.jpgimages-post/de-kiem-tra-ds-va-gt-11-chuong-4-nam-2019-2020-truong-doan-thuong-hai-duong-7.jpg

File đề kiểm tra đs và gt 11 chương 4 năm 2019 – 2020 trường đoàn thượng – hải dương PDF Chi Tiết

TÌM KIẾM THEO TỪ KHÓA