Logo Header
  1. Môn Toán
  2. đề kiểm tra giải tích 12 chương 3 năm 2018 – 2019 trường cây dương – kiên giang

đề kiểm tra giải tích 12 chương 3 năm 2018 – 2019 trường cây dương – kiên giang

Bạn đang xem tài liệu đề kiểm tra giải tích 12 chương 3 năm 2018 – 2019 trường cây dương – kiên giang được biên soạn theo môn toán mới nhất. Tài liệu này hệ thống hóa kiến thức một cách khoa học, phù hợp cho mọi lộ trình học từ cơ bản đến nâng cao. Hãy khai thác triệt để nội dung để bứt phá điểm số và tự tin chinh phục mọi kỳ thi nhé!

giaibaitoan.com xin giới thiệu đến quý thầy cô và các em học sinh lớp 12 đề kiểm tra Giải tích 12 chương 3, năm học 2018 – 2019 của trường THPT Cây Dương, tỉnh Kiên Giang. Đề thi này được thiết kế nhằm đánh giá mức độ nắm vững kiến thức trọng tâm của học sinh về nguyên hàm, tích phân và các ứng dụng của chúng – một trong những chủ đề quan trọng bậc nhất của chương trình Giải tích lớp 12.

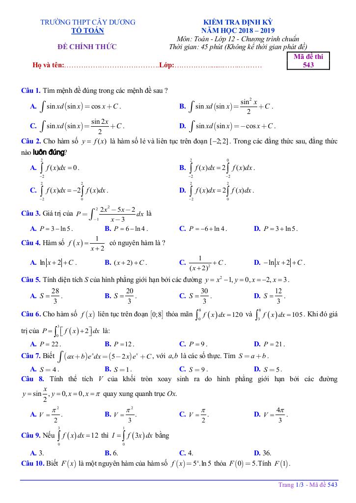
Đề kiểm tra có cấu trúc dạng trắc nghiệm với 25 câu hỏi, được trình bày trên 03 trang giấy. Thời gian làm bài được quy định là 45 phút, đòi hỏi học sinh phải có sự tập trung cao và vận dụng linh hoạt các kiến thức đã học để giải quyết các bài toán một cách nhanh chóng và chính xác. Điểm đặc biệt của đề thi là có cung cấp đáp án, tạo điều kiện thuận lợi cho quá trình tự học và ôn luyện của học sinh, cũng như công tác chấm và đánh giá của giáo viên.

Đánh giá chung về nội dung đề thi:

Đề thi có độ khó tương đối, bao gồm các câu hỏi từ mức độ nhận biết đến mức độ vận dụng. Các câu hỏi được xây dựng dựa trên các kiến thức cơ bản của chương, đồng thời có sự liên hệ với thực tế, giúp học sinh hiểu rõ hơn về ý nghĩa và ứng dụng của nguyên hàm, tích phân trong đời sống.

Một số ví dụ về dạng bài tập trong đề thi:

  • Bài toán ứng dụng của tích phân: Đề bài đưa ra một tình huống thực tế về chuyển động của ô tô, yêu cầu học sinh sử dụng kiến thức về tích phân để tính quãng đường đi được của ô tô kể từ khi đạp phanh đến khi dừng hẳn. Đây là một dạng bài tập điển hình, thường xuyên xuất hiện trong các đề thi Giải tích, đòi hỏi học sinh phải nắm vững mối liên hệ giữa vận tốc, gia tốc và quãng đường.
  • Kiến thức về nguyên hàm: Đề bài kiểm tra khả năng nhận biết nguyên hàm của một hàm số cho trước. Dạng bài này giúp học sinh củng cố kiến thức về các quy tắc tính nguyên hàm và hiểu rõ mối quan hệ giữa đạo hàm và nguyên hàm.
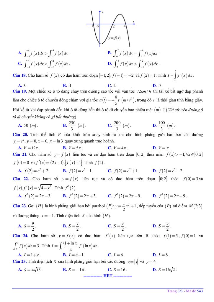
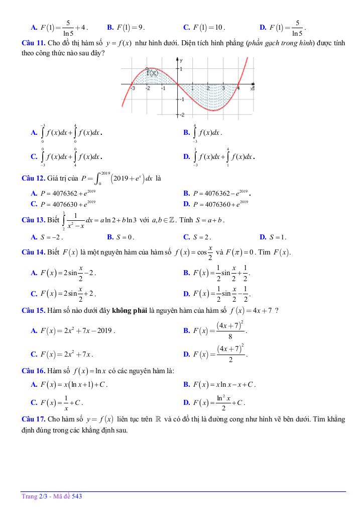
  • Ứng dụng của tích phân để tính diện tích: Đề bài cung cấp đồ thị hàm số và yêu cầu tính diện tích hình phẳng giới hạn bởi đồ thị hàm số và trục hoành. Đây là một ứng dụng quan trọng của tích phân, giúp học sinh hiểu rõ hơn về ý nghĩa hình học của tích phân.

Lưu ý:

Đề thi này là một tài liệu tham khảo hữu ích cho học sinh lớp 12 trong quá trình ôn tập và chuẩn bị cho các kỳ thi quan trọng. Quý thầy cô có thể sử dụng đề thi này để đánh giá năng lực của học sinh và điều chỉnh phương pháp giảng dạy cho phù hợp. Học sinh nên tự giải đề thi và đối chiếu với đáp án để tự đánh giá kết quả học tập của mình và tìm ra những kiến thức còn yếu để bổ sung.

File WORD (dành cho quý thầy, cô): TẢI XUỐNG

Chinh phục điểm cao Kỳ thi Tốt nghiệp THPT Quốc gia môn Toán, rộng mở cánh cửa Đại học với nội dung đề kiểm tra giải tích 12 chương 3 năm 2018 – 2019 trường cây dương – kiên giang trong chuyên mục bài toán lớp 12 trên nền tảng môn toán! Bộ bài tập toán thpt, được biên soạn chuyên sâu, bám sát cấu trúc đề thi và chương trình Toán 12, cam kết tối ưu hóa toàn diện lộ trình ôn luyện. Qua đó, học sinh không chỉ làm chủ mọi dạng bài thi mà còn trang bị chiến thuật làm bài hiệu quả, tự tin đạt kết quả đột phá, tạo nền tảng vững chắc cho Kỳ thi Tốt nghiệp THPT Quốc gia và hành trang vững vàng vào đại học, nhờ phương pháp tiếp cận trực quan, khoa học và mang lại hiệu quả học tập vượt trội.
images-post/de-kiem-tra-giai-tich-12-chuong-3-nam-2018-2019-truong-cay-duong-kien-giang-1.jpgimages-post/de-kiem-tra-giai-tich-12-chuong-3-nam-2018-2019-truong-cay-duong-kien-giang-2.jpgimages-post/de-kiem-tra-giai-tich-12-chuong-3-nam-2018-2019-truong-cay-duong-kien-giang-3.jpgimages-post/de-kiem-tra-giai-tich-12-chuong-3-nam-2018-2019-truong-cay-duong-kien-giang-4.jpgimages-post/de-kiem-tra-giai-tich-12-chuong-3-nam-2018-2019-truong-cay-duong-kien-giang-5.jpgimages-post/de-kiem-tra-giai-tich-12-chuong-3-nam-2018-2019-truong-cay-duong-kien-giang-6.jpg

File đề kiểm tra giải tích 12 chương 3 năm 2018 – 2019 trường cây dương – kiên giang PDF Chi Tiết

TÌM KIẾM THEO TỪ KHÓA