Chào mừng các em học sinh lớp 3 đến với đề kiểm tra học kì 2 môn Toán chương trình Chân trời sáng tạo - Đề số 9.
Đề thi này được thiết kế để giúp các em ôn luyện và củng cố kiến thức đã học trong học kì, chuẩn bị tốt nhất cho kỳ kiểm tra chính thức.
Một hình vuông có chu vi là 28 cm thì cạnh của hình vuông. Mai vào cửa hàng mua 2 thanh sô-cô-la và 1 gói bánh ....
I. TRẮC NGHIỆM
(Khoanh vào chữ đặt trước câu trả lời đúng)
Câu 1. Số liền trước của số bé nhất có 5 chữ số là:
A. 9 999
B. 10 000
C. 10 001
D. 99 999
Câu 2. Một hình vuông có chu vi là 28 cm thì cạnh của hình vuông có độ dài là:
A. 6 cm
B. 49 cm
C. 14 cm
D. 7 cm
Câu 3. Cho 6 m = ..... mm. Số thích hợp điền vào chỗ chấm là:
A. 60
B. 600
C. 6 000
D. 60 000
Câu 4. Khẳng định nào dưới đây là sai?
A. 1 năm có 12 tháng
B. Tháng 6 có 31 ngày
C. 8 m = 80 dm
D. 7 phút = 420 giây
Câu 5. Dấu (>, <, =) thích hợp để điền vào chỗ chấm là: 58 956 ...... 68 832 – 9 867
A. >,
B. <
C. =
Câu 6. Mai vào cửa hàng mua 2 thanh sô-cô-la và 1 gói bánh. Biết 1 thanh sô-cô-la có giá 26 000 đồng và 1 gói bánh có giá 34 000 đồng. Hỏi Mai mua hết bao nhiêu tiền?
A. 86 000 đồng
B. 60 000 đồng
C. 78 000 đồng
D. 65 000 đồng
II. TỰ LUẬN
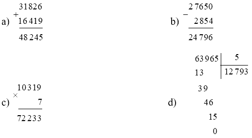
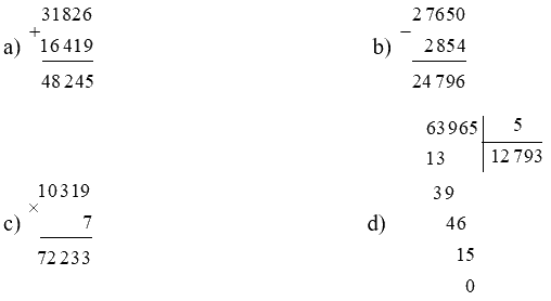
Câu 1. Đặt tính rồi tính:
a) 31 826 + 16 419
b) 27 650 – 2 854
c) 10 319 x 7
d) 63 965 : 5
Câu 2. Tìm x, biết:
a) x : 8 = 7386
b) $4 \times x = 80{\mkern 1mu} 084$
Câu 3. Gia đình bác Minh đã mua 2 xe ô tô gạch, mỗi xe chở 4 500 viên gạch. Sau 2 ngày, những người thợ xây đã xây hết 2 383 viên gạch. Hỏi còn bao nhiêu viên gạch chưa xây?
Câu 4. Một hình chữ nhật có chu vi bằng 164 m, chiều dài là 52 m. Chiều rộng hình chữ nhật là bao nhiêu?
HƯỚNG DẪN GIẢI CHI TIẾT
I. TRẮC NGHIỆM
Câu 1. Số liền trước của số bé nhất có 5 chữ số là:
A. 9 999
B. 10 000
C. 10 001
D. 99 999
Phương pháp
- Xác định số bé nhất có 5 chữ số.
- Để tìm số liền trước của một số ta lấy số đó trừ đi 1
Cách giải
Số bé nhất có 5 chữ số là 10 000.
Số liền trước của 10 000 là 9 999.
Chọn A
Câu 2. Một hình vuông có chu vi là 28 cm thì cạnh của hình vuông có độ dài là:
A. 6 cm
B. 49 cm
C. 14 cm
D. 7 cm
Phương pháp
Độ dài cạnh hình vuông = Chu vi hình vuông : 4
Cách giải
Độ dài cạnh hình vuông là 28 : 4 = 7 (cm)
Chọn D.
Câu 3. Cho 6 m = ..... mm. Số thích hợp điền vào chỗ chấm là:
A. 60
B. 600
C. 6 000
D. 60 000
Phương pháp
Áp dụng cách đổi: 1m = 1 000mm
Cách giải
6 m = 6 000 mm
Chọn C
Câu 4. Khẳng định nào dưới đây là sai?
A. 1 năm có 12 tháng
B. Tháng 6 có 31 ngày
C. 8 m = 80 dm
D. 7 phút = 420 giây
Phương pháp
Đọc mỗi câu rồi chọn câu sai.
Cách giải
Khẳng định sai là: Tháng 6 có 31 ngày
Chọn B
Câu 5. Dấu (>, <, =) thích hợp để điền vào chỗ chấm là: 58 956 ...... 68 832 – 9 867
A. >,
B. <
C. =
Phương pháp
Tính giá trị vế phải rồi so sánh hai vế.
Cách giải
68 832 – 9 867 = 58 965
Ta có 58 956 < 58 965
Vậy 58 956 < 68 832 – 9 867
Câu 6. Mai vào cửa hàng mua 2 thanh sô-cô-la và 1 gói bánh. Biết 1 thanh sô-cô-la có giá 26 000 đồng và 1 gói bánh có giá 34 000 đồng. Hỏi Mai mua hết bao nhiêu tiền?
A. 86 000 đồng
B. 60 000 đồng
C. 78 000 đồng
D. 65 000 đồng
Phương pháp
- Tìm giá tiền mua 2 thanh sô-cô-la = giá tiền mua một thanh sô-cô-la x 2
- Tìm giá tiền Mai đã mua sô-cô-la và gói bánh
Cách giải
Giá tiền mua 2 thanh sô-cô-la là
26 000 x 2= 52 000 (đồng)
Mai mua sô-cô-la và gói bánh hết số tiền là
52 000 + 26 000 = 78 000 (đồng)
Đáp số: 78 000 đồng
II. TỰ LUẬN
Câu 1. Đặt tính rồi tính:
a) 31 826 + 16 419
b) 27 650 – 2 854
c) 10 319 x 7
d) 63 965 : 5
Phương pháp
- Đặt tính
- Với phép cộng, trừ: Thực hiện cộng hoặc trừ các chữ số thẳng cột lần lượt từ phải sang trái
- Với phép nhân: Thực hiện nhân lần lượt từ phải sang trái
- Với phép chia: Thực hiện chia từ trái sang phải
Cách giải

Câu 2. Tìm x, biết:
a) x : 8 = 7 386
b) $4 \times x = 80\,084$
Phương pháp
- Muốn tìm số bị chia ta lấy thương nhân với số chia
- Muốn tìm thừa số chưa biết ta lấy tích chia cho thừa số kia
Cách giải
a) x : 8 = 7 386
x = 7 386 x 8
x = 59 088
b) $4 \times x = 80\,084$
$x = 80084:4$
$x = 20\,021$
Câu 3. Gia đình bác Minh đã mua 2 xe ô tô gạch, mỗi xe chở 4 500 viên gạch. Sau 2 ngày, những người thợ xây đã xây hết 2 383 viên gạch. Hỏi còn bao nhiêu viên gạch chưa xây?
Phương pháp
- Tìm số viên gạch 2 xe chở được = Số viên gạch mỗi xe chở được x 2
- Tìm số viên gạch còn lại = Số viên gạch 2 xe chở - số viên gạch đã xây
Cách giải
Tóm tắt
Đã mua: 2 xe
Mỗi xe: 4500 viên gạch
Đã xây: 2 383 viên gạch
Còn lại? viên gạch
Bài giải
Số viên gạch bác Minh đã mua là
4 500 x 2 = 9 000 (viên)
Số viên gạch còn lại là
9 000 - 2 383 = 6 617 (viên)
Đáp số: 6 617 viên gạch
Câu 4. Một hình chữ nhật có chu vi bằng 164 m, chiều dài là 52 m. Chiều rộng hình chữ nhật là bao nhiêu?
Phương pháp
- Tìm nửa chu vi hình chữ nhật = Chu vi hình chữ nhật : 2
- Chiều rộng hình chữ nhật = Nửa chu vi hình chữ nhật – chiều dài
Cách giải
Nửa chu vi hình chữ nhật là
164 : 2 = 82 (m)
Chiều rộng hình chữ nhật là
82 – 52 = 30 (m)
Đáp số: 30 m
I. TRẮC NGHIỆM
(Khoanh vào chữ đặt trước câu trả lời đúng)
Câu 1. Số liền trước của số bé nhất có 5 chữ số là:
A. 9 999
B. 10 000
C. 10 001
D. 99 999
Câu 2. Một hình vuông có chu vi là 28 cm thì cạnh của hình vuông có độ dài là:
A. 6 cm
B. 49 cm
C. 14 cm
D. 7 cm
Câu 3. Cho 6 m = ..... mm. Số thích hợp điền vào chỗ chấm là:
A. 60
B. 600
C. 6 000
D. 60 000
Câu 4. Khẳng định nào dưới đây là sai?
A. 1 năm có 12 tháng
B. Tháng 6 có 31 ngày
C. 8 m = 80 dm
D. 7 phút = 420 giây
Câu 5. Dấu (>, <, =) thích hợp để điền vào chỗ chấm là: 58 956 ...... 68 832 – 9 867
A. >,
B. <
C. =
Câu 6. Mai vào cửa hàng mua 2 thanh sô-cô-la và 1 gói bánh. Biết 1 thanh sô-cô-la có giá 26 000 đồng và 1 gói bánh có giá 34 000 đồng. Hỏi Mai mua hết bao nhiêu tiền?
A. 86 000 đồng
B. 60 000 đồng
C. 78 000 đồng
D. 65 000 đồng
II. TỰ LUẬN
Câu 1. Đặt tính rồi tính:
a) 31 826 + 16 419
b) 27 650 – 2 854
c) 10 319 x 7
d) 63 965 : 5
Câu 2. Tìm x, biết:
a) x : 8 = 7386
b) $4 \times x = 80{\mkern 1mu} 084$
Câu 3. Gia đình bác Minh đã mua 2 xe ô tô gạch, mỗi xe chở 4 500 viên gạch. Sau 2 ngày, những người thợ xây đã xây hết 2 383 viên gạch. Hỏi còn bao nhiêu viên gạch chưa xây?
Câu 4. Một hình chữ nhật có chu vi bằng 164 m, chiều dài là 52 m. Chiều rộng hình chữ nhật là bao nhiêu?
HƯỚNG DẪN GIẢI CHI TIẾT
I. TRẮC NGHIỆM
Câu 1. Số liền trước của số bé nhất có 5 chữ số là:
A. 9 999
B. 10 000
C. 10 001
D. 99 999
Phương pháp
- Xác định số bé nhất có 5 chữ số.
- Để tìm số liền trước của một số ta lấy số đó trừ đi 1
Cách giải
Số bé nhất có 5 chữ số là 10 000.
Số liền trước của 10 000 là 9 999.
Chọn A
Câu 2. Một hình vuông có chu vi là 28 cm thì cạnh của hình vuông có độ dài là:
A. 6 cm
B. 49 cm
C. 14 cm
D. 7 cm
Phương pháp
Độ dài cạnh hình vuông = Chu vi hình vuông : 4
Cách giải
Độ dài cạnh hình vuông là 28 : 4 = 7 (cm)
Chọn D.
Câu 3. Cho 6 m = ..... mm. Số thích hợp điền vào chỗ chấm là:
A. 60
B. 600
C. 6 000
D. 60 000
Phương pháp
Áp dụng cách đổi: 1m = 1 000mm
Cách giải
6 m = 6 000 mm
Chọn C
Câu 4. Khẳng định nào dưới đây là sai?
A. 1 năm có 12 tháng
B. Tháng 6 có 31 ngày
C. 8 m = 80 dm
D. 7 phút = 420 giây
Phương pháp
Đọc mỗi câu rồi chọn câu sai.
Cách giải
Khẳng định sai là: Tháng 6 có 31 ngày
Chọn B
Câu 5. Dấu (>, <, =) thích hợp để điền vào chỗ chấm là: 58 956 ...... 68 832 – 9 867
A. >,
B. <
C. =
Phương pháp
Tính giá trị vế phải rồi so sánh hai vế.
Cách giải
68 832 – 9 867 = 58 965
Ta có 58 956 < 58 965
Vậy 58 956 < 68 832 – 9 867
Câu 6. Mai vào cửa hàng mua 2 thanh sô-cô-la và 1 gói bánh. Biết 1 thanh sô-cô-la có giá 26 000 đồng và 1 gói bánh có giá 34 000 đồng. Hỏi Mai mua hết bao nhiêu tiền?
A. 86 000 đồng
B. 60 000 đồng
C. 78 000 đồng
D. 65 000 đồng
Phương pháp
- Tìm giá tiền mua 2 thanh sô-cô-la = giá tiền mua một thanh sô-cô-la x 2
- Tìm giá tiền Mai đã mua sô-cô-la và gói bánh
Cách giải
Giá tiền mua 2 thanh sô-cô-la là
26 000 x 2= 52 000 (đồng)
Mai mua sô-cô-la và gói bánh hết số tiền là
52 000 + 26 000 = 78 000 (đồng)
Đáp số: 78 000 đồng
II. TỰ LUẬN
Câu 1. Đặt tính rồi tính:
a) 31 826 + 16 419
b) 27 650 – 2 854
c) 10 319 x 7
d) 63 965 : 5
Phương pháp
- Đặt tính
- Với phép cộng, trừ: Thực hiện cộng hoặc trừ các chữ số thẳng cột lần lượt từ phải sang trái
- Với phép nhân: Thực hiện nhân lần lượt từ phải sang trái
- Với phép chia: Thực hiện chia từ trái sang phải
Cách giải

Câu 2. Tìm x, biết:
a) x : 8 = 7 386
b) $4 \times x = 80\,084$
Phương pháp
- Muốn tìm số bị chia ta lấy thương nhân với số chia
- Muốn tìm thừa số chưa biết ta lấy tích chia cho thừa số kia
Cách giải
a) x : 8 = 7 386
x = 7 386 x 8
x = 59 088
b) $4 \times x = 80\,084$
$x = 80084:4$
$x = 20\,021$
Câu 3. Gia đình bác Minh đã mua 2 xe ô tô gạch, mỗi xe chở 4 500 viên gạch. Sau 2 ngày, những người thợ xây đã xây hết 2 383 viên gạch. Hỏi còn bao nhiêu viên gạch chưa xây?
Phương pháp
- Tìm số viên gạch 2 xe chở được = Số viên gạch mỗi xe chở được x 2
- Tìm số viên gạch còn lại = Số viên gạch 2 xe chở - số viên gạch đã xây
Cách giải
Tóm tắt
Đã mua: 2 xe
Mỗi xe: 4500 viên gạch
Đã xây: 2 383 viên gạch
Còn lại? viên gạch
Bài giải
Số viên gạch bác Minh đã mua là
4 500 x 2 = 9 000 (viên)
Số viên gạch còn lại là
9 000 - 2 383 = 6 617 (viên)
Đáp số: 6 617 viên gạch
Câu 4. Một hình chữ nhật có chu vi bằng 164 m, chiều dài là 52 m. Chiều rộng hình chữ nhật là bao nhiêu?
Phương pháp
- Tìm nửa chu vi hình chữ nhật = Chu vi hình chữ nhật : 2
- Chiều rộng hình chữ nhật = Nửa chu vi hình chữ nhật – chiều dài
Cách giải
Nửa chu vi hình chữ nhật là
164 : 2 = 82 (m)
Chiều rộng hình chữ nhật là
82 – 52 = 30 (m)
Đáp số: 30 m
Đề kiểm tra học kì 2 Toán 3 Chân trời sáng tạo - Đề số 9 là một công cụ đánh giá quan trọng giúp học sinh lớp 3 kiểm tra mức độ nắm vững kiến thức và kỹ năng đã học trong suốt học kì. Đề thi bao gồm các dạng bài tập khác nhau, tập trung vào các chủ đề chính của chương trình Toán 3 Chân trời sáng tạo.
Đề thi thường bao gồm các phần sau:
Các chủ đề thường xuất hiện trong đề thi bao gồm:
Để đạt kết quả tốt trong bài kiểm tra, học sinh cần:
Bài 1: Tính 3456 + 1234
Lời giải:
3456 + 1234 = 4690
Bài 2: Một cửa hàng có 256 kg gạo. Buổi sáng bán được 128 kg gạo, buổi chiều bán được 87 kg gạo. Hỏi cửa hàng còn lại bao nhiêu kg gạo?
Lời giải:
Số gạo đã bán là: 128 + 87 = 215 (kg)
Số gạo còn lại là: 256 - 215 = 41 (kg)
Đáp số: 41 kg
Việc luyện tập thường xuyên với các đề thi thử, đặc biệt là Đề kiểm tra học kì 2 Toán 3 Chân trời sáng tạo - Đề số 9, sẽ giúp học sinh:
Ngoài việc tự luyện tập, học sinh có thể tìm kiếm sự hỗ trợ từ:
Hãy dành thời gian ôn tập và luyện tập đều đặn. Đừng ngần ngại hỏi giáo viên hoặc bạn bè nếu gặp khó khăn. Chúc các em học sinh đạt kết quả tốt trong kỳ kiểm tra học kì 2!
| Chủ đề | Mức độ quan trọng |
|---|---|
| Các phép tính cộng, trừ, nhân, chia | Rất quan trọng |
| Bài toán có lời văn | Quan trọng |
| Hình học | Trung bình |
| Đo lường | Trung bình |
| Nguồn: giaibaitoan.com | |