Logo Header
  1. Môn Toán
  2. đề kiểm tra số 2 hk2 toán 12 năm 2018 – 2019 trường phước vĩnh – bình dương

đề kiểm tra số 2 hk2 toán 12 năm 2018 – 2019 trường phước vĩnh – bình dương

Bạn đang xem tài liệu đề kiểm tra số 2 hk2 toán 12 năm 2018 – 2019 trường phước vĩnh – bình dương được biên soạn theo học toán mới nhất. Tài liệu này hệ thống hóa kiến thức một cách khoa học, phù hợp cho mọi lộ trình học từ cơ bản đến nâng cao. Hãy khai thác triệt để nội dung để bứt phá điểm số và tự tin chinh phục mọi kỳ thi nhé!

Phân tích Đề Kiểm Tra Số 2 HK2 Toán 12 Năm 2018 – 2019 Trường Phước Vĩnh – Bình Dương: Chuyên đề Phương Pháp Tọa Độ trong Không Gian Oxyz

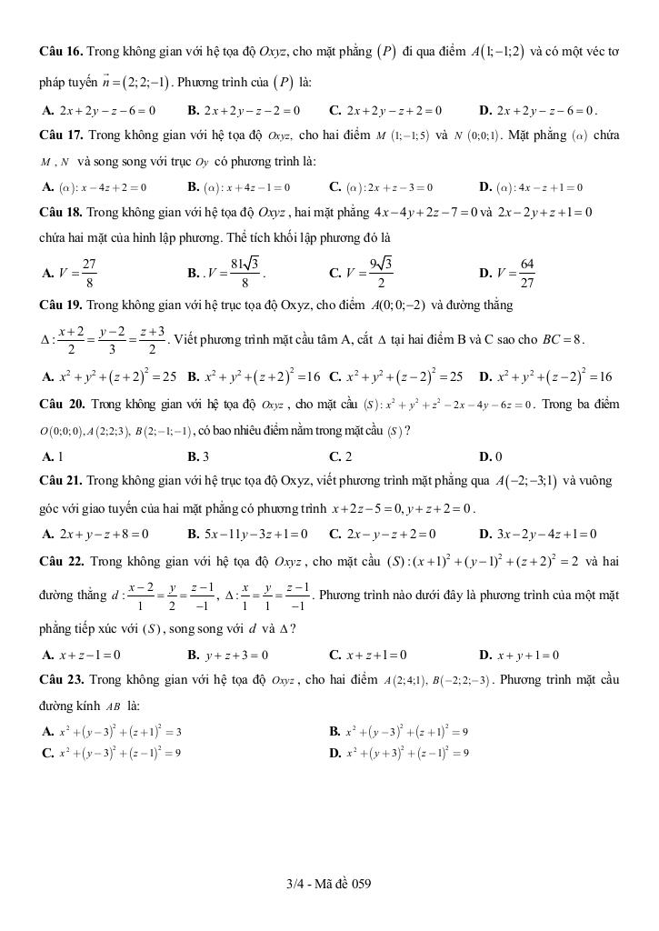
Đề kiểm tra số 2 học kỳ 2 môn Toán 12 năm học 2018 – 2019 của trường Phước Vĩnh, Bình Dương là một đề kiểm tra một tiết, tập trung đánh giá kiến thức và kỹ năng của học sinh về chủ đề phương pháp tọa độ trong không gian Oxyz, thuộc chương trình Hình học 12, cụ thể là chương 3.

Đề thi có mã đề 059, với cấu trúc gồm 25 câu trắc nghiệm, được thiết kế để học sinh hoàn thành trong thời gian 45 phút. Điểm đáng chú ý là đề thi có kèm đáp án, tạo điều kiện thuận lợi cho việc tự học và ôn tập của học sinh, cũng như công tác chấm và đánh giá của giáo viên.

Đánh giá chung về nội dung đề thi:

Đề thi bao gồm các dạng bài tập điển hình của chương phương pháp tọa độ trong không gian, bao gồm:

  • Bài toán về quan hệ vuông góc giữa hai mặt phẳng: Câu hỏi về mặt phẳng (ABC) vuông góc với mặt phẳng (P) đòi hỏi học sinh nắm vững điều kiện vuông góc giữa hai mặt phẳng, sử dụng vector pháp tuyến để kiểm tra mối quan hệ này. Đồng thời, học sinh cần vận dụng kiến thức về khoảng cách từ một điểm đến một mặt phẳng để giải quyết bài toán.
  • Bài toán về phương trình mặt phẳng: Câu hỏi về phương trình mặt phẳng chứa trục Oz và đi qua điểm P kiểm tra khả năng vận dụng các phương pháp xác định phương trình mặt phẳng, đặc biệt là việc sử dụng vector chỉ phương của trục Oz và điểm thuộc mặt phẳng.
  • Bài toán về hình học không gian: Câu hỏi về tìm tọa độ điểm D để ABCD là hình bình hành yêu cầu học sinh nắm vững tính chất của hình bình hành và sử dụng vector để xác định tọa độ điểm cần tìm.

Nhận xét chi tiết về các câu hỏi trích dẫn:

  1. Câu 1: Đây là một câu hỏi kết hợp nhiều kiến thức, đòi hỏi học sinh phải hiểu rõ về vector pháp tuyến của mặt phẳng, điều kiện vuông góc giữa hai mặt phẳng và công thức tính khoảng cách từ một điểm đến một mặt phẳng. Độ khó của câu hỏi được đánh giá là trung bình đến khá.
  2. Câu 2: Câu hỏi này tập trung vào việc tìm phương trình mặt phẳng. Học sinh cần xác định được các yếu tố cần thiết để viết phương trình mặt phẳng, bao gồm một điểm thuộc mặt phẳng và vector pháp tuyến của mặt phẳng.
  3. Câu 3: Bài toán này thuộc dạng bài tập cơ bản về hình học không gian, kiểm tra khả năng vận dụng các tính chất của hình bình hành và sử dụng vector để giải quyết bài toán.

Tổng kết:

Đề kiểm tra số 2 HK2 Toán 12 năm 2018 – 2019 trường Phước Vĩnh – Bình Dương là một đề thi có cấu trúc hợp lý, nội dung bám sát chương trình học và có độ phân hóa phù hợp. Đề thi có thể được sử dụng làm tài liệu tham khảo hữu ích cho học sinh và giáo viên trong quá trình ôn tập và giảng dạy chương phương pháp tọa độ trong không gian Oxyz.

File WORD (dành cho quý thầy, cô): TẢI XUỐNG

Chinh phục điểm cao Kỳ thi Tốt nghiệp THPT Quốc gia môn Toán, rộng mở cánh cửa Đại học với nội dung đề kiểm tra số 2 hk2 toán 12 năm 2018 – 2019 trường phước vĩnh – bình dương trong chuyên mục giải bài tập toán 12 trên nền tảng học toán! Bộ bài tập toán thpt, được biên soạn chuyên sâu, bám sát cấu trúc đề thi và chương trình Toán 12, cam kết tối ưu hóa toàn diện lộ trình ôn luyện. Qua đó, học sinh không chỉ làm chủ mọi dạng bài thi mà còn trang bị chiến thuật làm bài hiệu quả, tự tin đạt kết quả đột phá, tạo nền tảng vững chắc cho Kỳ thi Tốt nghiệp THPT Quốc gia và hành trang vững vàng vào đại học, nhờ phương pháp tiếp cận trực quan, khoa học và mang lại hiệu quả học tập vượt trội.
images-post/de-kiem-tra-so-2-hk2-toan-12-nam-2018-2019-truong-phuoc-vinh-binh-duong-1.jpgimages-post/de-kiem-tra-so-2-hk2-toan-12-nam-2018-2019-truong-phuoc-vinh-binh-duong-2.jpgimages-post/de-kiem-tra-so-2-hk2-toan-12-nam-2018-2019-truong-phuoc-vinh-binh-duong-3.jpgimages-post/de-kiem-tra-so-2-hk2-toan-12-nam-2018-2019-truong-phuoc-vinh-binh-duong-4.jpgimages-post/de-kiem-tra-so-2-hk2-toan-12-nam-2018-2019-truong-phuoc-vinh-binh-duong-5.jpgimages-post/de-kiem-tra-so-2-hk2-toan-12-nam-2018-2019-truong-phuoc-vinh-binh-duong-6.jpg

File đề kiểm tra số 2 hk2 toán 12 năm 2018 – 2019 trường phước vĩnh – bình dương PDF Chi Tiết

TÌM KIẾM THEO TỪ KHÓA