Logo Header
  1. Môn Toán
  2. đề kiểm tra 1 tiết hình học 12 chương 3 trường thpt trấn biên – đồng nai

đề kiểm tra 1 tiết hình học 12 chương 3 trường thpt trấn biên – đồng nai

Bạn đang xem tài liệu đề kiểm tra 1 tiết hình học 12 chương 3 trường thpt trấn biên – đồng nai được biên soạn theo học toán mới nhất. Tài liệu này hệ thống hóa kiến thức một cách khoa học, phù hợp cho mọi lộ trình học từ cơ bản đến nâng cao. Hãy khai thác triệt để nội dung để bứt phá điểm số và tự tin chinh phục mọi kỳ thi nhé!

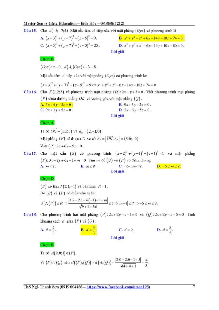
Đánh giá chi tiết đề kiểm tra 1 tiết Hình học 12 Chương 3 – Trường THPT Trấn Biên, Đồng Nai (Mã đề 209)

Đề kiểm tra 1 tiết Hình học 12 chương 3 của trường THPT Trấn Biên – Đồng Nai, mã đề 209, là một đề thi trắc nghiệm với cấu trúc quen thuộc: 25 câu hỏi, thời gian làm bài 45 phút. Nội dung đề tập trung vào chủ đề Phương pháp tọa độ trong không gian Oxyz – một trong những phần trọng tâm của chương trình Hình học 12. Điểm nổi bật của đề thi này là đầy đủ đáp án và lời giải chi tiết, tạo điều kiện thuận lợi cho học sinh tự ôn luyện và đánh giá năng lực.

Nhìn chung, đề thi có độ khó vừa phải, phân loại được học sinh khá – giỏi. Các câu hỏi không chỉ kiểm tra kiến thức về công thức, định nghĩa mà còn đòi hỏi học sinh phải vận dụng linh hoạt các kỹ năng giải toán không gian, đặc biệt là khả năng biểu diễn hình học bằng phương trình và ngược lại.

Dưới đây là phân tích chi tiết một số câu hỏi tiêu biểu trong đề:

  1. Câu 1: Tìm độ dài ngắn nhất của đoạn thẳng MN
  2. Câu hỏi này kiểm tra khả năng vận dụng kiến thức về phương trình mặt cầu và mặt phẳng, kết hợp với kỹ năng tìm khoảng cách từ một điểm đến một mặt phẳng. Để giải quyết bài toán này, học sinh cần:

    • Xác định tâm và bán kính của mặt cầu (S) bằng cách đưa phương trình về dạng chính tắc.
    • Tìm khoảng cách từ tâm mặt cầu đến mặt phẳng (P).
    • Sử dụng công thức tính độ dài ngắn nhất của đoạn thẳng nối một điểm trên mặt cầu với một điểm trên mặt phẳng: Độ dài ngắn nhất = Khoảng cách từ tâm mặt cầu đến mặt phẳng – Bán kính mặt cầu.

    Đây là một bài toán điển hình, thường xuất hiện trong các đề thi và đòi hỏi học sinh phải nắm vững lý thuyết và kỹ năng tính toán.

  3. Câu 2: Thể tích khối chóp giaibaitoan.com nhỏ nhất
  4. Bài toán này tập trung vào việc tìm điểm cực trị của hàm số. Học sinh cần:

    • Biểu diễn phương trình mặt phẳng (P) theo dạng đoạn chắn: x/a + y/b + z/c = 1.
    • Sử dụng điều kiện điểm M(4, 2, 4) thuộc mặt phẳng (P) để thiết lập mối quan hệ giữa a, b, c.
    • Tính thể tích khối chóp giaibaitoan.com theo a, b, c.
    • Áp dụng bất đẳng thức AM-GM để tìm giá trị nhỏ nhất của thể tích khối chóp.

    Bài toán này đòi hỏi học sinh có tư duy logic và khả năng vận dụng linh hoạt các kiến thức về bất đẳng thức và hình học không gian.

  5. Câu 3: Viết phương trình mặt cầu (S)
  6. Câu hỏi này kiểm tra kiến thức về phương trình mặt cầu và mối quan hệ giữa mặt cầu và mặt phẳng. Để giải bài toán này, học sinh cần:

    • Tính bán kính của đường tròn thiết diện bằng cách sử dụng diện tích hình tròn đã cho.
    • Tính khoảng cách từ tâm mặt cầu I đến mặt phẳng (P).
    • Sử dụng định lý Pitago để tính bán kính của mặt cầu (S).
    • Viết phương trình mặt cầu (S) theo công thức: (x - x0)2 + (y - y0)2 + (z - z0)2 = R2.

    Đây là một bài toán kết hợp nhiều kiến thức, đòi hỏi học sinh phải hiểu rõ bản chất của các khái niệm và mối liên hệ giữa chúng.

Kết luận:

Đề kiểm tra 1 tiết Hình học 12 chương 3 trường THPT Trấn Biên – Đồng Nai (mã đề 209) là một đề thi chất lượng, có tính phân loại cao. Việc nắm vững kiến thức lý thuyết, kỹ năng giải toán và luyện tập thường xuyên với các dạng bài tương tự là điều cần thiết để học sinh đạt kết quả tốt trong kỳ thi này.

Chinh phục điểm cao Kỳ thi Tốt nghiệp THPT Quốc gia môn Toán, rộng mở cánh cửa Đại học với nội dung đề kiểm tra 1 tiết hình học 12 chương 3 trường thpt trấn biên – đồng nai trong chuyên mục đề toán 12 trên nền tảng học toán! Bộ bài tập lý thuyết toán thpt, được biên soạn chuyên sâu, bám sát cấu trúc đề thi và chương trình Toán 12, cam kết tối ưu hóa toàn diện lộ trình ôn luyện. Qua đó, học sinh không chỉ làm chủ mọi dạng bài thi mà còn trang bị chiến thuật làm bài hiệu quả, tự tin đạt kết quả đột phá, tạo nền tảng vững chắc cho Kỳ thi Tốt nghiệp THPT Quốc gia và hành trang vững vàng vào đại học, nhờ phương pháp tiếp cận trực quan, khoa học và mang lại hiệu quả học tập vượt trội.
images-post/de-kiem-tra-1-tiet-hinh-hoc-12-chuong-3-truong-thpt-tran-bien-dong-nai-01.jpgimages-post/de-kiem-tra-1-tiet-hinh-hoc-12-chuong-3-truong-thpt-tran-bien-dong-nai-02.jpgimages-post/de-kiem-tra-1-tiet-hinh-hoc-12-chuong-3-truong-thpt-tran-bien-dong-nai-03.jpgimages-post/de-kiem-tra-1-tiet-hinh-hoc-12-chuong-3-truong-thpt-tran-bien-dong-nai-04.jpgimages-post/de-kiem-tra-1-tiet-hinh-hoc-12-chuong-3-truong-thpt-tran-bien-dong-nai-05.jpgimages-post/de-kiem-tra-1-tiet-hinh-hoc-12-chuong-3-truong-thpt-tran-bien-dong-nai-06.jpgimages-post/de-kiem-tra-1-tiet-hinh-hoc-12-chuong-3-truong-thpt-tran-bien-dong-nai-07.jpgimages-post/de-kiem-tra-1-tiet-hinh-hoc-12-chuong-3-truong-thpt-tran-bien-dong-nai-08.jpgimages-post/de-kiem-tra-1-tiet-hinh-hoc-12-chuong-3-truong-thpt-tran-bien-dong-nai-09.jpgimages-post/de-kiem-tra-1-tiet-hinh-hoc-12-chuong-3-truong-thpt-tran-bien-dong-nai-10.jpg

File đề kiểm tra 1 tiết hình học 12 chương 3 trường thpt trấn biên – đồng nai PDF Chi Tiết

TÌM KIẾM THEO TỪ KHÓA