Tuyển tập 16 Đề Trắc Nghiệm Hình Học 12 Chương 3: Phương Pháp Tọa Độ Trong Không Gian Oxyz – Đánh Giá Chi Tiết và Phân Tích
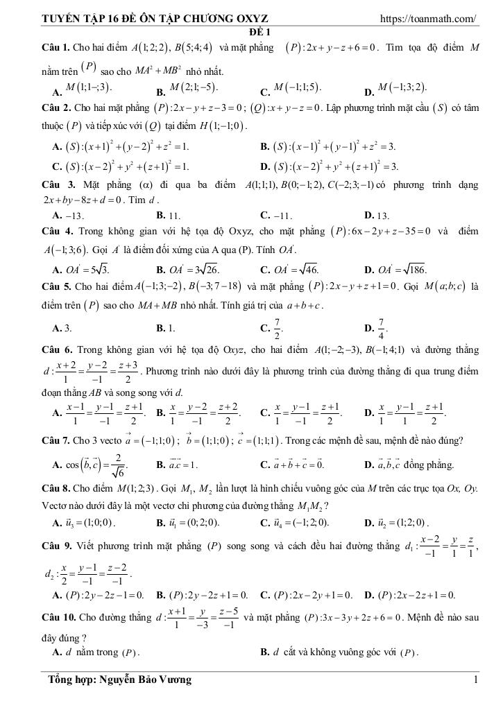
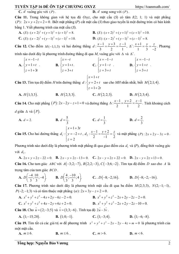
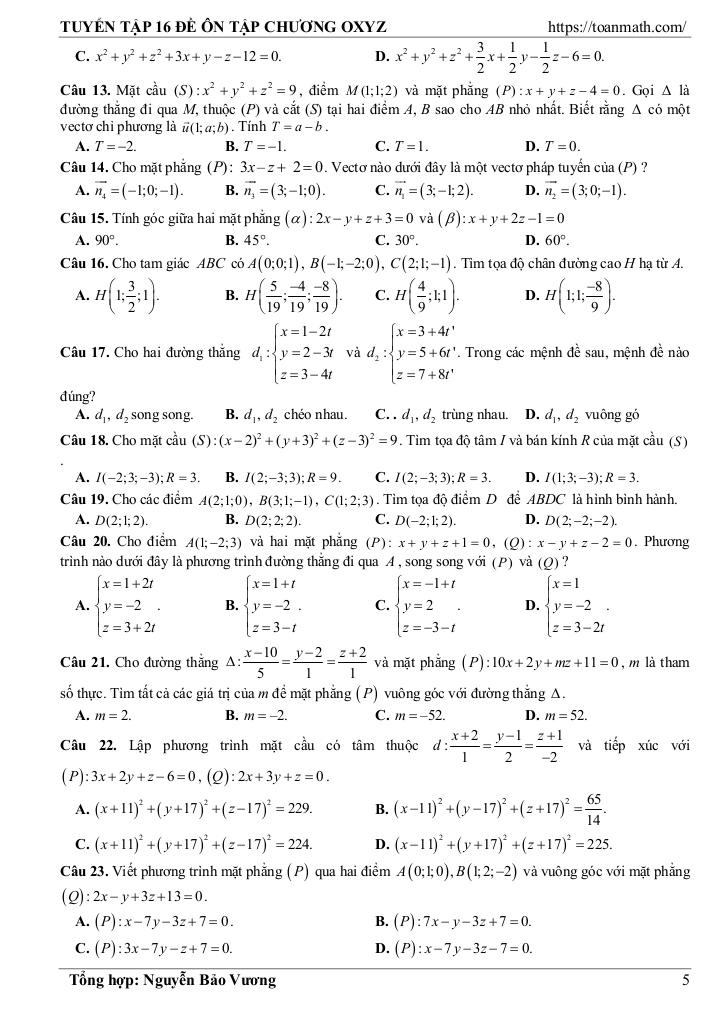
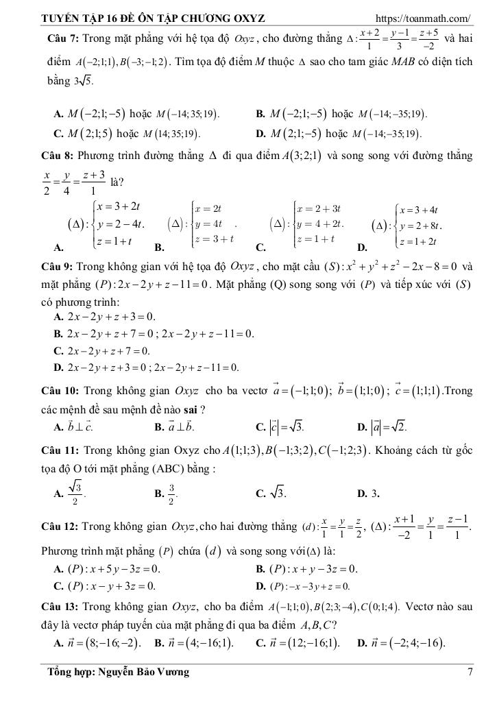
Bộ tài liệu ôn tập Hình học 12 chương 3, do thầy Nguyễn Bảo Vương biên soạn và tổng hợp, là một nguồn tài liệu hữu ích dành cho học sinh đang chuẩn bị cho các kỳ kiểm tra định kỳ, kiểm tra một tiết. Tài liệu bao gồm 51 trang, tập trung vào chủ đề “Phương pháp tọa độ trong không gian Oxyz” với 16 đề trắc nghiệm, mỗi đề gồm 25 câu hỏi và bài toán trắc nghiệm khách quan, kèm đáp án chi tiết.
Điểm mạnh của tài liệu:
Phân tích một số câu hỏi tiêu biểu:
Ví dụ 1: “Trong không gian Oxyz, cho mặt phẳng (P): x + 2y + 2z + 6 = 0 và mặt cầu (S): (x – 1)^2 + (y – 2)^2 + (z – 2)^2 = 25. Hãy xác định vị trí tương đối giữa chúng.”
Câu hỏi này đòi hỏi học sinh phải nắm vững phương pháp xác định vị trí tương đối giữa mặt phẳng và mặt cầu thông qua việc tính khoảng cách từ tâm mặt cầu đến mặt phẳng và so sánh với bán kính của mặt cầu. Đây là một dạng bài toán điển hình thường xuất hiện trong các đề thi.
Ví dụ 2: “Trong không gian với hệ tọa độ Oxyz, cho hai đường thẳng Δ: (x – 1)/1 = (y – 1)/-2 = (z + 1)/2 và d: x = 1 + 2t, y = -1 + 2t, z = 1 + t, t ∈ R. Khẳng định nào sau đây là khẳng định đúng?”
Bài toán này yêu cầu học sinh phải biết cách xác định mối quan hệ giữa hai đường thẳng trong không gian (cắt nhau, song song, chéo nhau) thông qua việc xét hệ phương trình tham số của hai đường thẳng. Đồng thời, học sinh cần kiểm tra điều kiện vuông góc giữa hai đường thẳng dựa trên tích vô hướng của hai vector chỉ phương.
Ví dụ 3: “Trong không gian với hệ tọa độ Oxyz, cho điểm A(1;1;0) và hai mặt phẳng (P): 2x + y – z – 3 = 0, (Q): 4x – 2y + 2z + 2 = 0. Chọn mệnh đề đúng?”
Câu hỏi này kiểm tra khả năng của học sinh trong việc xác định xem một điểm có thuộc mặt phẳng hay không, cũng như xác định mối quan hệ song song giữa hai mặt phẳng dựa trên vector pháp tuyến của chúng.
Đánh giá chung:
Bộ đề trắc nghiệm này là một tài liệu bổ ích, cung cấp cho học sinh một lượng lớn bài tập đa dạng và phong phú để luyện tập và củng cố kiến thức về phương pháp tọa độ trong không gian Oxyz. Tuy nhiên, để đạt hiệu quả cao nhất, học sinh nên kết hợp việc giải đề trắc nghiệm với việc ôn tập lý thuyết và làm các bài tập tự luận để hiểu sâu sắc hơn về bản chất của các khái niệm và phương pháp.









