đề kiểm tra toán 11 lần 1 năm 2019 – 2020 trường thanh miện – hải dương
Bạn đang xem tài liệu đề kiểm tra toán 11 lần 1 năm 2019 – 2020 trường thanh miện – hải dương được biên soạn theo
toán math mới nhất. Tài liệu này hệ thống hóa kiến thức một cách khoa học, phù hợp cho mọi lộ trình học từ cơ bản đến nâng cao. Hãy khai thác triệt để nội dung để bứt phá điểm số và tự tin chinh phục mọi kỳ thi nhé!
## Phân tích Đề Kiểm Tra Toán 11 (Lần 1, 2019-2020) – Thanh Miện, Hải Dương: Hàm Số Lượng Giác và Phương Trình Lượng Giác
Bài viết này sẽ đi sâu vào phân tích đề kiểm tra Toán 11 (lần 1, năm học 2019-2020) của trường Thanh Miện, Hải Dương, tập trung vào kiến thức về hàm số lượng giác và phương trình lượng giác. Đề thi có cấu trúc trắc nghiệm với 25 câu hỏi, thời gian làm bài 45 phút, thuộc chương 1 Đại số và Giải tích 11. Đề thi có đáp án đi kèm, hỗ trợ quá trình tự học và ôn luyện.
**Đánh giá chung về đề thi:**
Đề thi có độ khó tương đối, tập trung vào việc kiểm tra khả năng nắm vững kiến thức cơ bản, hiểu rõ tính chất của các hàm số lượng giác và kỹ năng giải phương trình lượng giác. Các câu hỏi được xây dựng theo hướng trắc nghiệm, đòi hỏi học sinh phải có sự chính xác cao trong tính toán và suy luận logic. Đề thi có tính phân loại học sinh rõ ràng, từ những câu hỏi dễ nhận biết đến những câu hỏi đòi hỏi vận dụng kiến thức nâng cao.
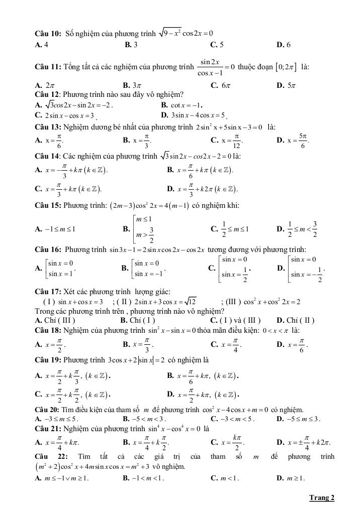
**Phân tích một số câu hỏi tiêu biểu:**
* **Câu 1: Tính chất của hàm số lượng giác**
Câu hỏi: *Chọn phát biểu đúng: A. Các hàm số y = sinx, y = cosx, y = cotx đều là hàm số chẵn. B. Các hàm số y = sinx, y = cosx, y = cotx đều là hàm số lẻ. C. Các hàm số y = sinx, y = cotx, y = tanx đều là hàm số chẵn. D. Các hàm số y = sinx, y = cotx, y = tanx đều là hàm số lẻ.*
**Phân tích:** Câu hỏi này kiểm tra kiến thức cơ bản về tính chẵn lẻ của hàm số lượng giác. Học sinh cần nhớ rõ định nghĩa về hàm số chẵn (f(-x) = f(x)) và hàm số lẻ (f(-x) = -f(x)). Hàm số sinx là hàm số lẻ, cosx là hàm số chẵn, tanx là hàm số lẻ và cotx là hàm số lẻ. Do đó, đáp án đúng là **D**.
* **Câu 2: Phương trình lượng giác vô nghiệm**
Câu hỏi: *Xét các phương trình lượng giác: (I) sinx + cosx = 3. (II) 2sinx + 3cosx = √12. (III) (cosx)^2 + (cos2x)^2 = 2. Trong các phương trình trên, phương trình nào vô nghiệm? A. Chỉ (III). B. Chỉ (I). C. (I) và (III). D. Chỉ (II).*
**Phân tích:** Câu hỏi này đòi hỏi học sinh phải vận dụng kiến thức về miền giá trị của hàm số lượng giác.
* Phương trình (I): sinx + cosx = 3. Ta biết rằng sinx ≤ 1 và cosx ≤ 1, do đó sinx + cosx ≤ 2. Vậy phương trình (I) vô nghiệm.
* Phương trình (II): 2sinx + 3cosx = √12. Ta có thể viết lại phương trình này dưới dạng Rsin(x + φ) = √12, với R = √(2² + 3²) = √13. Vì √13 > √12, phương trình (II) có nghiệm.
* Phương trình (III): (cosx)^2 + (cos2x)^2 = 2. Sử dụng công thức cos2x = 2(cosx)^2 - 1, ta có (cosx)^2 + (2(cosx)^2 - 1)^2 = 2. Giải phương trình này, ta thấy nó có nghiệm.
Vậy đáp án đúng là **B**.
* **Câu 3: Tìm giá trị lớn nhất và nhỏ nhất của hàm số lượng giác**
Câu hỏi: *Gọi M và m là giá trị lớn nhất và giá trị nhỏ nhất của hàm số y = 2sinx + 2cosx – 2sin2x. Khi đó M và m nhận giá trị nào sau đây?*
**Phân tích:** Câu hỏi này yêu cầu học sinh phải vận dụng các kỹ năng biến đổi lượng giác và tìm cực trị của hàm số. Để giải quyết bài toán này, cần đưa hàm số về dạng đơn giản hơn bằng cách sử dụng các công thức lượng giác và phương pháp đánh giá. Việc tìm M và m đòi hỏi sự hiểu biết về miền giá trị của sinx, cosx và sin2x.
**Kết luận:**
Đề kiểm tra Toán 11 (lần 1, 2019-2020) – Thanh Miện, Hải Dương là một đề thi tốt, có khả năng đánh giá kiến thức và kỹ năng của học sinh một cách toàn diện về chủ đề hàm số lượng giác và phương trình lượng giác. Việc phân tích kỹ lưỡng đề thi này sẽ giúp học sinh hiểu rõ hơn về cấu trúc đề thi, dạng bài tập thường gặp và từ đó có kế hoạch ôn luyện hiệu quả hơn.
**Tài liệu tham khảo:**
* File WORD đề thi (dành cho giáo viên): [TẢI XUỐNG]
Chinh phục đỉnh cao Toán 11 và đặt nền móng vững chắc cho cánh cửa Đại học với nội dung
đề kiểm tra toán 11 lần 1 năm 2019 – 2020 trường thanh miện – hải dương trong chuyên mục
Học tốt Toán lớp 11 trên nền tảng
toán math! Bộ bài tập
lý thuyết toán thpt, được biên soạn chuyên sâu, bám sát chặt chẽ chương trình Toán lớp 11 và định hướng các kỳ thi quan trọng, cam kết tối ưu hóa toàn diện quá trình ôn luyện. Qua đó, học sinh không chỉ làm chủ kiến thức phức tạp mà còn rèn luyện tư duy giải quyết vấn đề, sẵn sàng cho các kỳ thi và chương trình đại học, nhờ phương pháp tiếp cận trực quan, logic và mang lại hiệu quả học tập vượt trội.





File đề kiểm tra toán 11 lần 1 năm 2019 – 2020 trường thanh miện – hải dương PDF Chi Tiết