Chào mừng các em học sinh đến với đề thi học kì 1 môn Toán 10 chương trình Chân trời sáng tạo - Đề số 12. Đề thi này được thiết kế để giúp các em ôn luyện và đánh giá kiến thức đã học trong học kì.
Giaibaitoan.com cung cấp đề thi chính thức, có đáp án chi tiết và lời giải dễ hiểu, giúp các em tự tin làm bài và đạt kết quả tốt nhất.
Có bao nhiêu phát biểu dưới đây là mệnh đề?
1) “17 là số nguyên tố”.
2) “Tam giác vuông có một đường trung tuyến bằng một nửa cạnh huyền".3) "Các em hãy cố gắng học tập thật tốt nhé"!4) "Mọi hình chữ nhật đều nội tiếp được đường tròn".
4
3
2
1
Cho \(a,b \in \mathbb{R}\), a < b. Cách viết nào đúng?
\(a \subset [a;b]\)
\(\left\{ a \right\} \subset [a;b]\)
\(\left\{ a \right\} \in [a;b]\)
\(a \in (a;b]\)
Điểm O(0;0) không thuộc miền nghiệm của hệ bất phương trình nào dưới đây?
\(\left\{ \begin{array}{l}x + 3y < 0\\2x + y + 4 > 0\end{array} \right.\)
\(\left\{ \begin{array}{l}x + 3y \ge 0\\2x + y - 4 < 0\end{array} \right.\)
\(\left\{ \begin{array}{l}x + 3y - 6 < 0\\2x + y + 4 > 0\end{array} \right.\)
\(\left\{ \begin{array}{l}x + 3y - 6 < 0\\2x + y + 4 \ge 0\end{array} \right.\)
Trong các hệ sau, hệ nào không phải là hệ bất phương trình bậc nhất hai ẩn?
\(\left\{ \begin{array}{l}x - 3y > 4\\2x + y \le 12\\y \ge 1\end{array} \right.\)
\(\left\{ \begin{array}{l}x - 1 > 3\\y + 3 \le \pi \end{array} \right.\)
\(\left\{ \begin{array}{l}x + y \le 14\\ - 3 < x \le 5\end{array} \right.\)
\(\left\{ \begin{array}{l}x - y < 4\\{x^2} + 2y \le 15\end{array} \right.\)
Trong các hệ thức sau, hệ thức nào đúng?
\(\sin {150^o} = \frac{1}{2}\)
\(\cos {150^o} = - \frac{1}{2}\)
\(\tan {150^o} = \sqrt 3 \)
\(\cot {150^o} = \frac{1}{{\sqrt 3 }}\)
Cho tam giác ABC có AB = c, AC = b, CB = a, R là bán kính đường tròn ngoại tiếp. Hệ thức nào sau đây là sai?
\(\frac{a}{{\sin A}} = 2R\)
\(\sin A = \frac{a}{{2R}}\)
\(b\sin B = 2R\)
\(\sin C = \frac{{c\sin A}}{a}\)
Cho các vecto \(\overrightarrow a ,\overrightarrow b ,\overrightarrow c ,\overrightarrow u \) và \(\overrightarrow v \) như trong hình dưới. Hỏi có bao nhiêu vecto cùng hướng với \(\overrightarrow u \)?

4
2
3
1
Tập xác định của hàm số \(y = \frac{x}{{x + 2}}\) là
\(D = \mathbb{R}\backslash \{ - 2\} \)
\(D = ( - 2; + \infty )\)
\(D = \mathbb{R}\)
\(D = ( - \infty ; - 2)\)
Cho hàm số \(y = {x^2} - 2x - 3\). Khẳng định nào sau đây là đúng?
Đồ thị hàm số là một đường thẳng
Đồ thị hàm số là một parabol
Hàm số đồng biến trên \(\mathbb{R}\)
Hàm số nghịch biến trên \(\mathbb{R}\)
Cho tam giác ABC đều cạnh bằng a. Tính \(\overrightarrow {AB} .\overrightarrow {BC} \).
\(\overrightarrow {AB} .\overrightarrow {BC} = \frac{{{a^2}\sqrt 3 }}{2}\)
\(\overrightarrow {AB} .\overrightarrow {BC} = - \frac{{{a^2}\sqrt 3 }}{2}\)
\(\overrightarrow {AB} .\overrightarrow {BC} = \frac{{{a^2}}}{2}\)
\(\overrightarrow {AB} .\overrightarrow {BC} = - \frac{{{a^2}}}{2}\)
Chiều cao của một ngòn đồi là \(\overline h = 347,13m \pm 0,2m\). Độ chính xác d của phép đo trên là
d = 347,13 m
d = 347,33 m
d = 0,2 m
d = 346,93 m
Tìm khoảng biến thiên của mẫu số liệu sau:
22, 24, 33, 17, 11, 4, 18, 87, 72, 30.
33
83
89
82
Cho đồ thị hàm số bậc hai \(y = f(x) = a{x^2} + bx + c\) như hình dưới.

a) a > 0.
b) Tọa độ đỉnh I(2;-1), trục đối xứng x = 2.
c) Hàm số đồng biến trên khoảng \(( - \infty ;2)\), nghịch biến trên khoảng \((2; + \infty )\).
d) x thuộc các khoảng \(( - \infty ;1)\) và \((3; + \infty )\) thì f(x) > 0.
Cho \(\cos \alpha = \frac{1}{2}\) với \({0^o} < \alpha < {90^o}\).
a) \(\alpha = {60^o}\).
b) \(\sin \alpha < 0\).
c) \({\tan ^2}\alpha = 3\).
d) Giá trị biểu thức \(P = 3{\sin ^2}\alpha + 4{\cos ^2}\alpha = \frac{{13}}{4}\).
Cho ABCD là hình vuông tâm O.
a) \(\overrightarrow {AB} + \overrightarrow {AD} = \overrightarrow {AC} \).
b) \(\left| {\overrightarrow {AB} + \overrightarrow {OD} } \right| = AO\).
c) \(\left| {\overrightarrow {AB} - \overrightarrow {OC} + \overrightarrow {OD} } \right| = 0\).
d) Tập hợp điểm M thỏa mãn đẳng thức \(\left| {\overrightarrow {MA} - \overrightarrow {MB} - \overrightarrow {MC} + \overrightarrow {MD} } \right| = MO\) là một điểm.
Cho mẫu số liệu thống kê về sản lượng chè thu được trong một năm (kg/sào) của 10 hộ gia đình.

a) Sản lượng chè trung bình thu được trong một năm của mỗi gia đình là 113,6.
b) Khoảng biến thiên của mẫu số liệu là 5.
c) Số trung vị là 113.
d) Khoảng tứ phân vị của mẫu số liệu đã cho là 3.
Cho hai tập hợp khác rỗng A = (m – 1; 4], B = (-2; 2m + 2) với \(m \in \mathbb{R}\). Có bao nhiêu giá trị nguyên m để \(A \cap B \ne \emptyset \)?
Đáp án:
Có ba nhóm máy A, B, C dùng để sản xuất ra hai loại sản phẩm I và II. Để sản xuất một đơn vị sản phẩm mỗi loại lần lượt dùng các máy thuộc các nhóm khác nhau. Số máy trong một nhóm của từng nhóm cần thiết để sản xuất ra một đơn vị sản phẩm thuộc mỗi loại được cho trong bảng sau:

Một đơn vị sản phẩm I lãi 30 nghìn đồng, một đơn vị sản phẩm II lãi 50 nghìn đồng. Để thu được lãi cao nhất, nhà máy cần sản xuất x sản phẩm I và y sản phẩm II. Tính x – y.
Đáp án:
Một người quan sát đỉnh của một ngọn núi nhân tạo từ hai vị trí khác nhau của tòa nhà. Lần đầu tiên người đó quan sát đỉnh núi từ tầng trệt với phương nhìn tạo với phương nằm ngang \({35^o}\) và lần thứ hai người này quan sát tại sân thượng của cùng tòa nhà đó với phương nằm ngang \({15^o}\) (như hình vẽ). Tính chiều cao ngọn núi biết rằng tòa nhà cao 60 m (kết quả làm tròn đến hàng phần mười).

Đáp án:
Một vật đang ở vị trí O chịu hai lực tác dụng ngược chiều nhau là \(\overrightarrow {{F_1}} \) và \(\overrightarrow {{F_2}} \), trong đó độ lớn lực \(\overrightarrow {{F_2}} \) lớn gấp đôi độ lớn lực \(\overrightarrow {{F_1}} \). Người ta muốn vật dừng nên cần tác dụng vào vật hai lực \(\overrightarrow {{F_3}} \) và \(\overrightarrow {{F_4}} \) có phương hợp với lực \(\overrightarrow {{F_1}} \) các góc \({45^o}\) như hình vẽ, chúng có độ lớn bằng nhau và bằng 20 N. Tính tổng độ lớn của hai lực \(\overrightarrow {{F_1}} \) và \(\overrightarrow {{F_2}} \) (làm tròn kết quả đến hàng phần mười).

Đáp án:
Cổng Arch tại thành phố St Louis của Mỹ có hình dạng một parabol. Biết khoảng cách giữa hai chân cổng là 162 m. Trên thành cổng, tại vị trí có độ cao 43 m so với mặt đất, người ta thả một sợi dây chạm đất và vị trí chạm đất này cách chân cổng (điểm A) một khoảng 10 m. Hãy tính gần đúng độ cao (m) của cổng Arch (làm tròn kết quả đến hàng phần mười).

Đáp án:
Cho bảng phân bố tần số như sau:

Tìm n để \({M_0} = {x_2};{M_0} = {x_4}\) là hai mốt của bảng số liệu trên.
Đáp án:
Có bao nhiêu phát biểu dưới đây là mệnh đề?
1) “17 là số nguyên tố”.
2) “Tam giác vuông có một đường trung tuyến bằng một nửa cạnh huyền".3) "Các em hãy cố gắng học tập thật tốt nhé"!4) "Mọi hình chữ nhật đều nội tiếp được đường tròn".
4
3
2
1
Đáp án : B
Mệnh đề là một khẳng định có tính đúng sai.
Chỉ có câu 3. không phải mệnh đề.
Cho \(a,b \in \mathbb{R}\), a < b. Cách viết nào đúng?
\(a \subset [a;b]\)
\(\left\{ a \right\} \subset [a;b]\)
\(\left\{ a \right\} \in [a;b]\)
\(a \in (a;b]\)
Đáp án : B
Áp dụng quy tắc viết kí hiệu bao hàm giữa phần tử và tập hợp, giữa tập hợp và tập hợp.
A sai vì a là phần tử, không dùng kí hiệu \( \subset \).
B đúng.
C sai vì {a} là tập hợp chứa 1 phần tử a, không dùng kí hiệu \( \in \).
D sai vì (a;b] là tập hợp không chứa phần tử a.
Điểm O(0;0) không thuộc miền nghiệm của hệ bất phương trình nào dưới đây?
\(\left\{ \begin{array}{l}x + 3y < 0\\2x + y + 4 > 0\end{array} \right.\)
\(\left\{ \begin{array}{l}x + 3y \ge 0\\2x + y - 4 < 0\end{array} \right.\)
\(\left\{ \begin{array}{l}x + 3y - 6 < 0\\2x + y + 4 > 0\end{array} \right.\)
\(\left\{ \begin{array}{l}x + 3y - 6 < 0\\2x + y + 4 \ge 0\end{array} \right.\)
Đáp án : A
Thay cặp số vào từng hệ bất phương trình, nếu thỏa mãn thì là nghiệm của hệ bất phương trình đó.
Thay tọa độ của O(0;0) vào tất cả các bất phương trình trên, chỉ thấy \(0 + 3.0 < 0\) là sai.
Vậy O(0;0) không phải là nghiệm của hệ \(\left\{ \begin{array}{l}x + 3y < 0\\2x + y + 4 > 0\end{array} \right.\).
Trong các hệ sau, hệ nào không phải là hệ bất phương trình bậc nhất hai ẩn?
\(\left\{ \begin{array}{l}x - 3y > 4\\2x + y \le 12\\y \ge 1\end{array} \right.\)
\(\left\{ \begin{array}{l}x - 1 > 3\\y + 3 \le \pi \end{array} \right.\)
\(\left\{ \begin{array}{l}x + y \le 14\\ - 3 < x \le 5\end{array} \right.\)
\(\left\{ \begin{array}{l}x - y < 4\\{x^2} + 2y \le 15\end{array} \right.\)
Đáp án : D
Hệ bất phương trình bậc nhất hai ẩn là hệ gồm các bất phương trình bậc nhất hai ẩn.
Hệ ở đáp án D không là hệ bất phương trình bậc nhất hai ẩn vì hệ này chứa một bất phươngtrình bậc hai \({x^2} + 2y \le 15\).
Trong các hệ thức sau, hệ thức nào đúng?
\(\sin {150^o} = \frac{1}{2}\)
\(\cos {150^o} = - \frac{1}{2}\)
\(\tan {150^o} = \sqrt 3 \)
\(\cot {150^o} = \frac{1}{{\sqrt 3 }}\)
Đáp án : A
Tra bảng giá trị lượng giác của các góc có số đo đặc biệt hoặc sử dụng máy tính cá nhân.
\(\sin {150^o} = \frac{1}{2}\); \(\cos {150^o} = - \frac{{\sqrt 3 }}{2}\); \(\tan {150^o} = - \frac{{\sqrt 3 }}{3}\); \(\cot {150^o} = - \sqrt 3 \).
Cho tam giác ABC có AB = c, AC = b, CB = a, R là bán kính đường tròn ngoại tiếp. Hệ thức nào sau đây là sai?
\(\frac{a}{{\sin A}} = 2R\)
\(\sin A = \frac{a}{{2R}}\)
\(b\sin B = 2R\)
\(\sin C = \frac{{c\sin A}}{a}\)
Đáp án : C
Sử dụng định lí Sin trong tam giác ABC.
Theo định lí Sin: \(\frac{a}{{\sin A}} = \frac{b}{{\sin B}} = \frac{c}{{\sin C}} = 2R\).
Cho các vecto \(\overrightarrow a ,\overrightarrow b ,\overrightarrow c ,\overrightarrow u \) và \(\overrightarrow v \) như trong hình dưới. Hỏi có bao nhiêu vecto cùng hướng với \(\overrightarrow u \)?

4
2
3
1
Đáp án : B
Quan sát hình vẽ. Các vecto cùng hướng có giá song song và cùng chiều nhau.
Các vecto cùng hướng với \(\overrightarrow u \) là \(\overrightarrow a \) và \(\overrightarrow v \).
Tập xác định của hàm số \(y = \frac{x}{{x + 2}}\) là
\(D = \mathbb{R}\backslash \{ - 2\} \)
\(D = ( - 2; + \infty )\)
\(D = \mathbb{R}\)
\(D = ( - \infty ; - 2)\)
Đáp án : A
Hàm phân thức xác định khi mẫu thức khác 0.
Điều kiện xác định của hàm số \(y = \frac{x}{{x + 2}}\) là \(x + 2 \ne 0\) hay \(x \ne 2\).
Vậy tập xác định là \(D = \mathbb{R}\backslash \{ - 2\} \).
Cho hàm số \(y = {x^2} - 2x - 3\). Khẳng định nào sau đây là đúng?
Đồ thị hàm số là một đường thẳng
Đồ thị hàm số là một parabol
Hàm số đồng biến trên \(\mathbb{R}\)
Hàm số nghịch biến trên \(\mathbb{R}\)
Đáp án : B
Áp dụng kiến thức về đồ thị, sự biến thiên của hàm số bậc hai.
Đồ thị hàm số bậc hai là một parabol. A sai.
Khi đó, hàm số không thể chỉ đồng biến (đồ thị đi lên từ trái sang) hay nghịch biến (đồ thị đi xuống từ trái sang) nên C, D sai.
Cho tam giác ABC đều cạnh bằng a. Tính \(\overrightarrow {AB} .\overrightarrow {BC} \).
\(\overrightarrow {AB} .\overrightarrow {BC} = \frac{{{a^2}\sqrt 3 }}{2}\)
\(\overrightarrow {AB} .\overrightarrow {BC} = - \frac{{{a^2}\sqrt 3 }}{2}\)
\(\overrightarrow {AB} .\overrightarrow {BC} = \frac{{{a^2}}}{2}\)
\(\overrightarrow {AB} .\overrightarrow {BC} = - \frac{{{a^2}}}{2}\)
Đáp án : D
Công thức tính tích vô hướng: \(\overrightarrow a .\overrightarrow b = \left| {\overrightarrow a } \right|.\left| {\overrightarrow b } \right|\cos \left( {\overrightarrow a ,\overrightarrow b } \right)\).
Ta có: \(\overrightarrow {BA} .\overrightarrow {BC} = \left| {\overrightarrow {BA} } \right|.\left| {\overrightarrow {BC} } \right|\cos \left( {\overrightarrow {BA} ,\overrightarrow {BC} } \right) = BA.BC\cos \widehat {ABC} = a.a\cos {60^o} = \frac{{{a^2}}}{2}\).
Suy ra \(\overrightarrow {AB} .\overrightarrow {BC} = - \overrightarrow {BA} .\overrightarrow {BC} = - \frac{{{a^2}}}{2}\).
Chiều cao của một ngòn đồi là \(\overline h = 347,13m \pm 0,2m\). Độ chính xác d của phép đo trên là
d = 347,13 m
d = 347,33 m
d = 0,2 m
d = 346,93 m
Đáp án : C
a là số gần đúng của \(\overline a \) với độ chính xác d, quy ước viết gọn là \(\overline a = a \pm d\).
Độ chính xác của phép đo trên là d = 0,2 m.
Tìm khoảng biến thiên của mẫu số liệu sau:
22, 24, 33, 17, 11, 4, 18, 87, 72, 30.
33
83
89
82
Đáp án : B
Xác định khoảng biến thiên bằng cách lấy giá trị lớn nhất trừ đi giá trị nhỏ nhất.
Giá trị nhỏ nhất của mẫu số liệu là 4. Giá trị lớn nhất của mẫu số liệu là 87.
Khoảng biến thiên của mẫu số liệu là R = 87 – 4 = 83.
Cho đồ thị hàm số bậc hai \(y = f(x) = a{x^2} + bx + c\) như hình dưới.

a) a > 0.
b) Tọa độ đỉnh I(2;-1), trục đối xứng x = 2.
c) Hàm số đồng biến trên khoảng \(( - \infty ;2)\), nghịch biến trên khoảng \((2; + \infty )\).
d) x thuộc các khoảng \(( - \infty ;1)\) và \((3; + \infty )\) thì f(x) > 0.
a) a > 0.
b) Tọa độ đỉnh I(2;-1), trục đối xứng x = 2.
c) Hàm số đồng biến trên khoảng \(( - \infty ;2)\), nghịch biến trên khoảng \((2; + \infty )\).
d) x thuộc các khoảng \(( - \infty ;1)\) và \((3; + \infty )\) thì f(x) > 0.
Quan sát đồ thị và nhận xét.
a) Đúng. Vì đồ thị hướng bề lõm lên trên nên a > 0.
b) Đúng. Quan sát đồ thị thấy đỉnh là I(2;-1), trục đối xứng x = 2.
c) Sai. Hàm số nghịch biến (đồ thị đi xuống từ trái sang) trên khoảng \(( - \infty ;2)\) và đồng biến (đồ thị đi lên từ trái sang) trên khoảng \((2; + \infty )\).
d) Đúng. Quan sát đồ thị, thấy trên các khoảng \(( - \infty ;1)\) và \((3; + \infty )\) thì đồ thị nằm phía trên trục hoành, tức f(x) > 0.
Cho \(\cos \alpha = \frac{1}{2}\) với \({0^o} < \alpha < {90^o}\).
a) \(\alpha = {60^o}\).
b) \(\sin \alpha < 0\).
c) \({\tan ^2}\alpha = 3\).
d) Giá trị biểu thức \(P = 3{\sin ^2}\alpha + 4{\cos ^2}\alpha = \frac{{13}}{4}\).
a) \(\alpha = {60^o}\).
b) \(\sin \alpha < 0\).
c) \({\tan ^2}\alpha = 3\).
d) Giá trị biểu thức \(P = 3{\sin ^2}\alpha + 4{\cos ^2}\alpha = \frac{{13}}{4}\).
Sử dụng các đẳng thức lượng giác \(1 + {\tan ^2}\alpha = \frac{1}{{{{\cos }^2}\alpha }}\), \({\sin ^2}\alpha + {\cos ^2}\alpha = 1\).
a) Đúng. \(\cos \alpha = \frac{1}{2} \Rightarrow \alpha = {60^o}\).
b) Sai. Các góc \({0^o} < \alpha < {180^o}\) có giá trị sin dương nên với \({0^o} < \alpha < {90^o}\) thì \(\sin \alpha > 0\).
c) Đúng. \({\tan ^2}\alpha = \frac{1}{{{{\cos }^2}\alpha }} - 1 = \frac{1}{{{{\left( {\frac{1}{2}} \right)}^2}}} - 1 = 3\).
d) Sai. Ta có:
\(P = 3{\sin ^2}\alpha + 4{\cos ^2}\alpha = 3(1 - {\cos ^2}\alpha ) + 4{\cos ^2}\alpha = 3 + {\cos ^2}\alpha = 3 + {\left( {\frac{1}{2}} \right)^2} = \frac{{13}}{4}\).
Cho ABCD là hình vuông tâm O.
a) \(\overrightarrow {AB} + \overrightarrow {AD} = \overrightarrow {AC} \).
b) \(\left| {\overrightarrow {AB} + \overrightarrow {OD} } \right| = AO\).
c) \(\left| {\overrightarrow {AB} - \overrightarrow {OC} + \overrightarrow {OD} } \right| = 0\).
d) Tập hợp điểm M thỏa mãn đẳng thức \(\left| {\overrightarrow {MA} - \overrightarrow {MB} - \overrightarrow {MC} + \overrightarrow {MD} } \right| = MO\) là một điểm.
a) \(\overrightarrow {AB} + \overrightarrow {AD} = \overrightarrow {AC} \).
b) \(\left| {\overrightarrow {AB} + \overrightarrow {OD} } \right| = AO\).
c) \(\left| {\overrightarrow {AB} - \overrightarrow {OC} + \overrightarrow {OD} } \right| = 0\).
d) Tập hợp điểm M thỏa mãn đẳng thức \(\left| {\overrightarrow {MA} - \overrightarrow {MB} - \overrightarrow {MC} + \overrightarrow {MD} } \right| = MO\) là một điểm.
Áp dụng quy tắc ba điểm, quy tắc hình bình hành, tính chất trung điểm đối với vecto, quy tắc cộng, trừ hai vecto.

a) Đúng. Vì ABCD là hình vuông nên áp dụng quy tắc hình bình hành, ta có: \(\overrightarrow {AB} + \overrightarrow {AD} = \overrightarrow {AC} \).
b) Đúng. O là trung điểm của BD nên \(\overrightarrow {OD} = \overrightarrow {BO} \).
Ta có \(\left| {\overrightarrow {AB} + \overrightarrow {OD} } \right| = \left| {\overrightarrow {AB} + \overrightarrow {BO} } \right| = \left| {\overrightarrow {AO} } \right| = AO\).
c) Đúng. O là trung điểm của AC nên \(\overrightarrow {OC} = \overrightarrow {AO} \).
Ta có \(\left| {\overrightarrow {AB} - \overrightarrow {OC} + \overrightarrow {OD} } \right| = \left| {\overrightarrow {AB} - \overrightarrow {AO} + \overrightarrow {OD} } \right| = \left| {\overrightarrow {AB} + \overrightarrow {OA} + \overrightarrow {OD} } \right| = \left| {\overrightarrow {OB} + \overrightarrow {OD} } \right| = \left| {\overrightarrow 0 } \right| = 0\).
d) Sai. Gọi B’ là điểm đối xứng với B qua A. Khi đó B’ cố định và \(\overrightarrow {BB'} = 2\overrightarrow {BA} \).
\(\left| {\overrightarrow {MA} - \overrightarrow {MB} - \overrightarrow {MC} + \overrightarrow {MD} } \right| = \left| {\left( {\overrightarrow {MA} - \overrightarrow {MB} } \right) - \left( {\overrightarrow {MC} + \overrightarrow {MD} } \right)} \right| = \left| {\overrightarrow {BA} - \overrightarrow {DC} } \right| = \left| {\overrightarrow {BA} + \overrightarrow {BA} } \right| = \left| {\overrightarrow {BB'} } \right| = BB'\).
Suy ra \(BB' = MO\). Vậy tập hợp điểm M là đường tròn tâm O bán kính R = BB’.
Cho mẫu số liệu thống kê về sản lượng chè thu được trong một năm (kg/sào) của 10 hộ gia đình.

a) Sản lượng chè trung bình thu được trong một năm của mỗi gia đình là 113,6.
b) Khoảng biến thiên của mẫu số liệu là 5.
c) Số trung vị là 113.
d) Khoảng tứ phân vị của mẫu số liệu đã cho là 3.
a) Sản lượng chè trung bình thu được trong một năm của mỗi gia đình là 113,6.
b) Khoảng biến thiên của mẫu số liệu là 5.
c) Số trung vị là 113.
d) Khoảng tứ phân vị của mẫu số liệu đã cho là 3.
Sử dụng công thức tính số trung bình, khoảng biến thiên.
Số trung vị là giá trị ở chính giữa khi sắp xếp dãy số liệu theo thứ tự không giảm.
Khoảng tứ phân vị là hiệu của tứ phân vị thứ ba và tứ phân vị thứ nhất.

a) Đúng. Sản lượng chè trung bình một năm của mỗi hộ gia đình là:
\(\overline x = \frac{{111.1 + 112.2 + 113.1 + 114.3 + 115.2 + 116.1}}{{1 + 2 + 1 + 3 + 2 + 1}} = 113,6\).
b) Đúng. Khoảng biến thiên của mẫu số liệu là R = 116 – 111 = 5.
c) Sai. Sắp xếp mẫu số liệu gốc theo thứ tự không giảm. Gọi các giá trị đó lần lượt là \({x_1};{x_2};...;{x_{10}}\).
Trung vị của mẫu số liệu là \(\frac{{{x_5} + {x_6}}}{2} = \frac{{114 + 114}}{2} = 114\).
d) Đúng. Bên trái trung vị có 5 giá trị nên tứ phân vị thứ nhất là \({Q_1} = {x_3} = 112\).
Bên phải trung vị có 5 giá trị nên tứ phân vị thứ ba là \({Q_3} = {x_8} = 115\).
Vậy khoảng tứ phân vị là \({\Delta _Q} = {Q_3} - {Q_1} = 115 - 112 = 3\).
Cho hai tập hợp khác rỗng A = (m – 1; 4], B = (-2; 2m + 2) với \(m \in \mathbb{R}\). Có bao nhiêu giá trị nguyên m để \(A \cap B \ne \emptyset \)?
Đáp án:
Đáp án:
Tìm điều kiện để \(A \cap B = \emptyset \), từ đó suy ra điều kiện để \(A \cap B \ne \emptyset \) bằng cách lấy phần bù.
Điều kiện: \(\left\{ \begin{array}{l}m - 1 < 4\\ - 2 < 2m + 2\end{array} \right. \Leftrightarrow - 2 < m < 5\).
Ta có \(A \cap B = \emptyset \Leftrightarrow \left[ \begin{array}{l}2m + 2 \le m - 1\\4 \le - 2\end{array} \right. \Leftrightarrow m \le - 3\).
Suy ra \(A \cap B \ne \emptyset \Leftrightarrow \left\{ \begin{array}{l} - 2 < m < 5\\m > - 3\end{array} \right. \Leftrightarrow - 2 < m < 5\).
Các giá trị nguyên m thỏa mãn là -1; 0; 1; 2; 3; 4.
Vậy có 6 giá trị nguyên m thỏa mãn yêu cầu đề bài.
Có ba nhóm máy A, B, C dùng để sản xuất ra hai loại sản phẩm I và II. Để sản xuất một đơn vị sản phẩm mỗi loại lần lượt dùng các máy thuộc các nhóm khác nhau. Số máy trong một nhóm của từng nhóm cần thiết để sản xuất ra một đơn vị sản phẩm thuộc mỗi loại được cho trong bảng sau:

Một đơn vị sản phẩm I lãi 30 nghìn đồng, một đơn vị sản phẩm II lãi 50 nghìn đồng. Để thu được lãi cao nhất, nhà máy cần sản xuất x sản phẩm I và y sản phẩm II. Tính x – y.
Đáp án:
Đáp án:
Ứng dụng hệ bất phương trình bậc nhất hai ẩn.
Ta có điều kiện \(x,y \ge 0\).
Để sản xuất x sản phẩm I cần 2x máy nhóm A.
Để sản xuất ra y sản phẩm II cần 2y máy nhóm A.
Mà chỉ có 10 máy nhóm A nên \(2x + 2y \le 10\).
Tương tự với các máy nhóm B, C và kết hợp điều kiện, ta được hệ bất phương trình:
\(\left\{ \begin{array}{l}2x + 2y \le 10\\2y \le 4\\2x + 4y \le 12\\x,y \ge 0\end{array} \right.\) hay \(\left\{ \begin{array}{l}x + y \le 5\\y \le 2\\x + 2y \le 6\\x,y \ge 0\end{array} \right.\) (*).
Lợi nhuận thu được là f(x;y) = 30x + 50y (nghìn đồng).
Bài toán trở thành tìm giá trị lớn nhất của f(x;y) trên miền nghiệm của hệ (*).

Miền nghiệm của hệ (*) là miền ngũ giác OABCD (kể cả biên) với \(O(0;0)\), \(B(4;1)\), \(C(2;2)\), \(D(0;2)\).
Thay tọa độ các điểm trên vào f(x;y) thấy f(4;1) = 170 là giá trị lớn nhất.
Do đó, cần sản xuất 4 sản phẩm I và 1 sản phẩm II để thu về lợi nhuận cao nhất.
Vậy x – y = 4 – 1 = 3.
Một người quan sát đỉnh của một ngọn núi nhân tạo từ hai vị trí khác nhau của tòa nhà. Lần đầu tiên người đó quan sát đỉnh núi từ tầng trệt với phương nhìn tạo với phương nằm ngang \({35^o}\) và lần thứ hai người này quan sát tại sân thượng của cùng tòa nhà đó với phương nằm ngang \({15^o}\) (như hình vẽ). Tính chiều cao ngọn núi biết rằng tòa nhà cao 60 m (kết quả làm tròn đến hàng phần mười).

Đáp án:
Đáp án:
B1: Tính các góc của tam giác ABC.
B2: Tính AC bằng định lí Sin cho tam giác ABC.
B3: Sử dụng hệ thức lượng trong tam giác vuông CAD để tính CD.
+) \(\widehat {BAC} + \widehat {DAC} = {90^o}\)
\(\widehat {BAC} = {90^o} - \widehat {DAC} = {90^o} - {35^o} = {55^o}\).
+) \(\widehat {CBA} = \widehat {CBE} + \widehat {ABE} = {15^o} + {90^o} = {105^o}\).
+) Xét tam giác ABC có \(\widehat C = {180^o} - \widehat A - \widehat B = {180^o} - {55^o} - {105^o} = {20^o}\).
Áp dụng định lí Sin cho tam giác ABC: \(\frac{{AB}}{{\sin \widehat {BCA}}} = \frac{{AC}}{{\sin \widehat {ABC}}}\).
Suy ra \(AC = \frac{{AB\sin \widehat {ABC}}}{{\sin \widehat {ACB}}} = \frac{{60\sin {{105}^o}}}{{\sin {{20}^o}}}\).
Xét tam giác ACD vuông tại D: \(\sin \widehat {CAD} = \frac{{CD}}{{AC}}\).
Suy ra \(CD = AC\sin \widehat {CAD} = \frac{{60\sin {{105}^o}}}{{\sin {{20}^o}}}\sin {35^o} \approx 97,2\).
Một vật đang ở vị trí O chịu hai lực tác dụng ngược chiều nhau là \(\overrightarrow {{F_1}} \) và \(\overrightarrow {{F_2}} \), trong đó độ lớn lực \(\overrightarrow {{F_2}} \) lớn gấp đôi độ lớn lực \(\overrightarrow {{F_1}} \). Người ta muốn vật dừng nên cần tác dụng vào vật hai lực \(\overrightarrow {{F_3}} \) và \(\overrightarrow {{F_4}} \) có phương hợp với lực \(\overrightarrow {{F_1}} \) các góc \({45^o}\) như hình vẽ, chúng có độ lớn bằng nhau và bằng 20 N. Tính tổng độ lớn của hai lực \(\overrightarrow {{F_1}} \) và \(\overrightarrow {{F_2}} \) (làm tròn kết quả đến hàng phần mười).

Đáp án:
Đáp án:
Sử dụng quy tắc tổng hợp lực, quy tắc hình bình hành.

Dựng hình bình hành OACB sao cho OA = OB = 20, \(\widehat {AOC} = \widehat {BOC} = {45^o}\) và \(\overrightarrow {OC} \)cùng hướng với \(\overrightarrow {{F_1}} \).
Khi đó \(\left| {\overrightarrow {{F_3}} } \right| = \left| {\overrightarrow {OA} } \right| = OA = 20\), \(\left| {\overrightarrow {{F_4}} } \right| = \left| {\overrightarrow {OB} } \right| = OB = 20\), \(\overrightarrow {{F_3}} + \overrightarrow {{F_4}} = \overrightarrow {{F_{34}}} = \overrightarrow {OC} \) và \(\left| {\overrightarrow {{F_{34}}} } \right| = \left| {\overrightarrow {OC} } \right|\).
Vì OA = OB nên OACB là hình thoi.
Mà \(\widehat {AOB} = \widehat {AOC} + \widehat {COB} = {45^o} + {45^o} = {90^o}\) nên OACB là hình vuông.
Khi đó \(OC = \sqrt 2 OA = 20\sqrt 2 \).
Vì độ lớn lực \(\overrightarrow {{F_2}} \) gấp đôi độ lớn lực \(\overrightarrow {{F_1}} \) và hai lực này ngược chiều nên \(\overrightarrow {{F_2}} = - 2\overrightarrow {{F_1}} \).
Dưới tác động của 4 lực, vật ở vị trí cân bằng nên ta có:
\(\overrightarrow {{F_1}} + \overrightarrow {{F_2}} + \overrightarrow {{F_3}} + \overrightarrow {{F_4}} = \overrightarrow 0 \Rightarrow \overrightarrow {{F_1}} - 2\overrightarrow {{F_1}} + \overrightarrow {{F_{34}}} = \overrightarrow 0 \Rightarrow \overrightarrow {{F_{34}}} = \overrightarrow {{F_1}} \Rightarrow \left| {\overrightarrow {{F_{34}}} } \right| = \left| {\overrightarrow {{F_1}} } \right| = 20\sqrt 2 \).
\( \Rightarrow \left| {\overrightarrow {{F_2}} } \right| = 2\left| {\overrightarrow {{F_1}} } \right| = 2.20\sqrt 2 = 40\sqrt 2 \).
Vậy \(\left| {\overrightarrow {{F_1}} } \right| + \left| {\overrightarrow {{F_2}} } \right| = 20\sqrt 2 + 40\sqrt 2 = 60\sqrt 2 \approx 84,9\) (N).
Cổng Arch tại thành phố St Louis của Mỹ có hình dạng một parabol. Biết khoảng cách giữa hai chân cổng là 162 m. Trên thành cổng, tại vị trí có độ cao 43 m so với mặt đất, người ta thả một sợi dây chạm đất và vị trí chạm đất này cách chân cổng (điểm A) một khoảng 10 m. Hãy tính gần đúng độ cao (m) của cổng Arch (làm tròn kết quả đến hàng phần mười).

Đáp án:
Đáp án:
Dựng hệ trục tọa độ Oxy một cách phù hợp. Tìm các điểm thuộc parabol, thay tọa độ vào hàm số và tìm hàm số của parabol. Từ đó tìm tọa độ đỉnh của parabol.
Dựng hệ trục Oxy như hình vẽ và gọi hàm số tương ứng với cổng Arch là \(y = a{x^2} + bx + c\) \((a \ne 0)\).

Vì parabol đi qua ba điểm A(0;0), B(162;0), M(10;43) nên ta thay tọa độ các điểm trên vào hàm số:
\(\left\{ \begin{array}{l}{0^2}a + 0b + c = 0\\{162^2}a + 162b + c = 0\\{10^2}a + 10b + c = 43\end{array} \right. \Leftrightarrow \left\{ \begin{array}{l}a = - \frac{{43}}{{1520}}\\b = \frac{{3483}}{{760}}\\c=0\end{array} \right.\)
Từ đó ta xác định được hàm số \(y = - \frac{{43}}{{1520}}{x^2} + \frac{{3483}}{{760}}x\).
Đỉnh I của parabol có tọa độ \({x_I} = - \frac{b}{{2a}} = 81\), \({y_I} = - \frac{{43}}{{1520}}{.81^2} + \frac{{3483}}{{760}}.81 \approx 185,6\) (m).
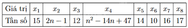
Cho bảng phân bố tần số như sau:

Tìm n để \({M_0} = {x_2};{M_0} = {x_4}\) là hai mốt của bảng số liệu trên.
Đáp án:
Đáp án:
Mốt là giá trị có tần số lớn nhất trong bảng. Nếu có nhiều hơn 1 giá trị có cùng tần số và là tần số lớn nhất thì các giá trị đó đều là mốt.
Giải hệ \(\left\{ \begin{array}{l}2n - 1 = {n^2} - 14n + 47\\2n - 1 > 17\\{n^2} - 14n + 47 > 17\end{array} \right.\) tìm n.
Để \({x_2}\) và \({x_4}\) là hai mốt của mẫu số liệu thì tần số của chúng phải bằng nhau và lớn hơn các tần số còn lại.
Khi đó \(\left\{ \begin{array}{l}2n - 1 = {n^2} - 14n + 47\\2n - 1 > 17\\{n^2} - 14n + 47 > 17\end{array} \right.\)\(\begin{array}{l}(1)\\(2)\\(3)\end{array}\)
Giải (1) được hai nghiệm n = 12 và n = 4.
Vì n = 4 không thỏa mãn (2) nên loại.
Thấy n = 12 thỏa mãn cả (2) và (3) nên n = 12 là giá trị cần tìm.
Đề thi học kì 1 Toán 10 chương trình Chân trời sáng tạo - Đề số 12 là một bài kiểm tra quan trọng, đánh giá mức độ nắm vững kiến thức và kỹ năng giải toán của học sinh sau nửa học kì đầu tiên. Đề thi bao gồm các dạng bài tập thuộc các chủ đề chính như: Mệnh đề – Tập hợp, Bất đẳng thức và hệ bất đẳng thức, Hàm số bậc nhất và bậc hai, Phương trình và hệ phương trình, và các ứng dụng thực tế của toán học.
Cấu trúc đề thi thường bao gồm các phần sau:
Các dạng bài tập thường gặp trong đề thi:
Lời giải:
| Bất phương trình | Lời giải |
|---|---|
| x + 2 > 3 | x > 1 |
| 2x - 1 < 5 | 2x < 6 => x < 3 |
Vậy tập nghiệm của hệ bất phương trình là: 1 < x < 3
Để ôn tập và nâng cao kiến thức môn Toán 10, các em có thể tham khảo các tài liệu sau:
Đề thi học kì 1 Toán 10 Chân trời sáng tạo - Đề số 12 là một cơ hội tốt để các em học sinh kiểm tra và đánh giá kiến thức của mình. Hy vọng với những hướng dẫn và lời giải chi tiết trên đây, các em sẽ tự tin làm bài và đạt kết quả tốt nhất. Chúc các em thành công!