Logo Header
  1. Môn Toán
  2. đề thi thử vào lớp 10 môn toán lần 3 năm 2025 trường thcs cầu giấy – hà nội

đề thi thử vào lớp 10 môn toán lần 3 năm 2025 trường thcs cầu giấy – hà nội

Bạn đang xem tài liệu đề thi thử vào lớp 10 môn toán lần 3 năm 2025 trường thcs cầu giấy – hà nội được biên soạn theo học toán mới nhất. Tài liệu này hệ thống hóa kiến thức một cách khoa học, phù hợp cho mọi lộ trình học từ cơ bản đến nâng cao. Hãy khai thác triệt để nội dung để bứt phá điểm số và tự tin chinh phục mọi kỳ thi nhé!

giaibaitoan.com xin giới thiệu đến quý thầy cô giáo và các em học sinh lớp 9 đề thi thử tuyển sinh vào lớp 10 THPT môn Toán lần 3 năm 2025 của trường THCS Cầu Giấy, quận Cầu Giấy, thành phố Hà Nội. Đề thi này là một tài liệu luyện tập vô cùng hữu ích, giúp học sinh làm quen với cấu trúc đề thi và rèn luyện kỹ năng giải quyết các dạng bài tập thường gặp trong kỳ thi tuyển sinh.

Đặc biệt, đề thi được giaibaitoan.com cung cấp kèm theo đáp án, lời giải chi tiếthướng dẫn chấm điểm, giúp học sinh tự học hiệu quả và đánh giá chính xác năng lực của bản thân.

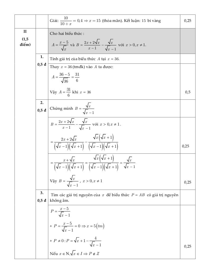
Dưới đây là nội dung chi tiết một số câu hỏi tiêu biểu trong đề thi:

  1. Câu 1: Thống kê và Xác suất

    Câu hỏi này tập trung vào việc xử lý và phân tích dữ liệu thống kê được trình bày dưới dạng biểu đồ tần số ghép nhóm. Học sinh cần:

    • Lập bảng tần số tương đối ghép nhóm từ biểu đồ đã cho. Đây là kỹ năng cơ bản để biểu diễn dữ liệu một cách chuẩn hóa, giúp so sánh và đánh giá các nhóm dữ liệu dễ dàng hơn.
    • Đánh giá tính đúng đắn của một nhận định về tỷ lệ khách hàng mua hàng trong một khoảng giá nhất định. Câu hỏi này đòi hỏi học sinh phải hiểu rõ ý nghĩa của tần số tương đối và khả năng vận dụng vào thực tế.

    Nhận xét: Đây là một câu hỏi quen thuộc trong các đề thi tuyển sinh, giúp kiểm tra khả năng đọc hiểu biểu đồ và vận dụng kiến thức về thống kê cơ bản của học sinh.

  2. Câu 2: Bài toán về lãi suất tiết kiệm

    Bài toán này liên quan đến kiến thức về lãi suất đơn và lãi kép. Học sinh cần:

    • Xây dựng phương trình hoặc sử dụng công thức tính lãi kép để mô tả quá trình gửi tiết kiệm của bác An.
    • Giải phương trình để tìm ra lãi suất gửi tiết kiệm cho kỳ hạn 6 tháng.
    • Làm tròn kết quả đến hàng phần trăm theo yêu cầu của đề bài.

    Nhận xét: Bài toán này đòi hỏi học sinh phải nắm vững kiến thức về lãi suất và khả năng áp dụng vào giải quyết các bài toán thực tế. Việc làm tròn kết quả cũng là một kỹ năng quan trọng cần rèn luyện.

  3. Câu 3: Giải bài toán bằng phương trình hoặc hệ phương trình

    Đây là một bài toán về công việc, thường gặp trong các đề thi tuyển sinh. Học sinh cần:

    • Đặt ẩn số cho thời gian làm việc riêng của mỗi công nhân.
    • Biểu diễn các đại lượng liên quan đến công việc (khối lượng công việc, năng suất làm việc) thông qua các ẩn số.
    • Lập phương trình hoặc hệ phương trình dựa trên các thông tin đã cho trong đề bài.
    • Giải phương trình hoặc hệ phương trình để tìm ra giá trị của các ẩn số.

    Nhận xét: Bài toán này kiểm tra khả năng phân tích bài toán, xây dựng mô hình toán học và giải quyết bằng phương pháp đại số. Đây là một kỹ năng quan trọng không chỉ trong môn Toán mà còn trong nhiều lĩnh vực khác.

Đánh giá chung: Đề thi thử vào lớp 10 môn Toán lần 3 năm 2025 trường THCS Cầu Giấy – Hà Nội có độ khó tương đối, bao gồm các dạng bài tập cơ bản và nâng cao, phù hợp với trình độ của học sinh lớp 9. Đề thi tập trung vào các chủ đề quan trọng như thống kê, lãi suất, phương trình và hệ phương trình, giúp học sinh củng cố kiến thức và rèn luyện kỹ năng giải quyết bài toán.

Chinh phục các kỳ thi Toán lớp 9 quan trọng với nội dung đề thi thử vào lớp 10 môn toán lần 3 năm 2025 trường thcs cầu giấy – hà nội trong chuyên mục toán 9 trên nền tảng học toán! Bộ bài tập toán thcs, được biên soạn chuyên sâu, bám sát cấu trúc đề thi và chương trình sách giáo khoa hiện hành, cam kết tối ưu hóa toàn diện lộ trình ôn luyện. Qua đó, học sinh không chỉ củng cố vững chắc kiến thức mà còn thuần thục các dạng bài thi, tự tin đạt điểm cao, nhờ phương pháp tiếp cận trực quan, khoa học và mang lại hiệu quả học tập vượt trội.
images-post/de-thi-thu-vao-lop-10-mon-toan-lan-3-nam-2025-truong-thcs-cau-giay-ha-noi-01.jpgimages-post/de-thi-thu-vao-lop-10-mon-toan-lan-3-nam-2025-truong-thcs-cau-giay-ha-noi-02.jpgimages-post/de-thi-thu-vao-lop-10-mon-toan-lan-3-nam-2025-truong-thcs-cau-giay-ha-noi-03.jpgimages-post/de-thi-thu-vao-lop-10-mon-toan-lan-3-nam-2025-truong-thcs-cau-giay-ha-noi-04.jpgimages-post/de-thi-thu-vao-lop-10-mon-toan-lan-3-nam-2025-truong-thcs-cau-giay-ha-noi-05.jpgimages-post/de-thi-thu-vao-lop-10-mon-toan-lan-3-nam-2025-truong-thcs-cau-giay-ha-noi-06.jpgimages-post/de-thi-thu-vao-lop-10-mon-toan-lan-3-nam-2025-truong-thcs-cau-giay-ha-noi-07.jpgimages-post/de-thi-thu-vao-lop-10-mon-toan-lan-3-nam-2025-truong-thcs-cau-giay-ha-noi-08.jpgimages-post/de-thi-thu-vao-lop-10-mon-toan-lan-3-nam-2025-truong-thcs-cau-giay-ha-noi-09.jpgimages-post/de-thi-thu-vao-lop-10-mon-toan-lan-3-nam-2025-truong-thcs-cau-giay-ha-noi-10.jpg

File đề thi thử vào lớp 10 môn toán lần 3 năm 2025 trường thcs cầu giấy – hà nội PDF Chi Tiết