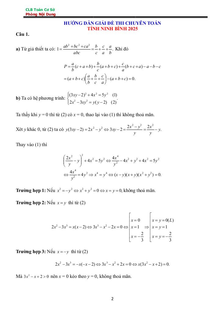
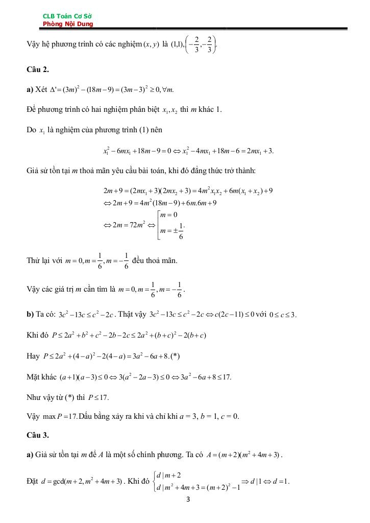
giaibaitoan.com xin giới thiệu đến quý thầy cô giáo và các em học sinh đề thi tuyển sinh lớp 10 chuyên Toán năm học 2025 – 2026 của Sở Giáo dục và Đào tạo tỉnh Ninh Bình. Đề thi được cung cấp kèm theo đáp án và lời giải chi tiết, hứa hẹn sẽ là tài liệu ôn tập hữu ích cho các em học sinh đang chuẩn bị cho kỳ thi quan trọng này.
Đề thi năm nay bao gồm hai bài toán lớn, đòi hỏi thí sinh phải có kiến thức vững chắc và kỹ năng giải quyết vấn đề tốt. Dưới đây là nội dung chi tiết của từng bài:
Cho tam giác ABC nhọn, không cân (AB < AC) với các đường cao AD, BE, CF cắt nhau tại trực tâm H. Gọi M, N, I lần lượt là trung điểm của BC, EF, AH. Đường thẳng AH và BC cắt EF tại J và S. Yêu cầu:
Nhận xét: Bài toán này tập trung vào kiến thức về đường cao, trực tâm, tính chất đối xứng trong tam giác. Phần a yêu cầu thí sinh vận dụng kiến dụng về tích đường thẳng và sử dụng các tính chất của đường tròn. Phần b đòi hỏi sự hiểu biết về trực tâm và các tính chất liên quan. Phần c là một bài toán chứng minh đẳng thức góc, đòi hỏi thí sinh phải khéo léo sử dụng các tính chất đối xứng và các tam giác đồng dạng.
Cho đa giác đều (H) có 2026 đỉnh.
Nhận xét: Bài toán này kết hợp kiến thức về đa giác đều, tổ hợp và số học. Phần a yêu cầu thí sinh nắm vững cách chọn đỉnh của tam giác và điều kiện để tam giác vuông. Phần b là một bài toán chứng minh sự tồn tại, đòi hỏi thí sinh phải sử dụng nguyên lý Dirichlet (hay còn gọi là hộp) một cách hiệu quả. Việc giới hạn giá trị của các số nguyên dương được viết tại các đỉnh đóng vai trò quan trọng trong việc áp dụng nguyên lý này.
Đánh giá chung: Đề thi có độ khó tương đối cao, phù hợp với yêu cầu của một kỳ thi tuyển sinh vào lớp 10 chuyên Toán. Các bài toán đòi hỏi thí sinh phải có kiến thức nền tảng vững chắc, kỹ năng giải quyết vấn đề linh hoạt và khả năng tư duy logic tốt. Việc làm quen với các dạng bài tập tương tự và luyện tập thường xuyên sẽ giúp các em học sinh tự tin hơn khi đối mặt với kỳ thi.






