Logo Header
  1. Môn Toán
  2. đề kiểm tra 1 tiết giải tích 12 chương 3 trường thpt nguyễn văn cừ – hà nội

đề kiểm tra 1 tiết giải tích 12 chương 3 trường thpt nguyễn văn cừ – hà nội

Bạn đang xem tài liệu đề kiểm tra 1 tiết giải tích 12 chương 3 trường thpt nguyễn văn cừ – hà nội được biên soạn theo môn toán mới nhất. Tài liệu này hệ thống hóa kiến thức một cách khoa học, phù hợp cho mọi lộ trình học từ cơ bản đến nâng cao. Hãy khai thác triệt để nội dung để bứt phá điểm số và tự tin chinh phục mọi kỳ thi nhé!

Phân tích Đề Kiểm Tra 1 Tiết Giải Tích 12 – Chương 3 (Nguyên Hàm, Tích Phân và Ứng Dụng) – Trường THPT Nguyễn Văn Cừ, Hà Nội

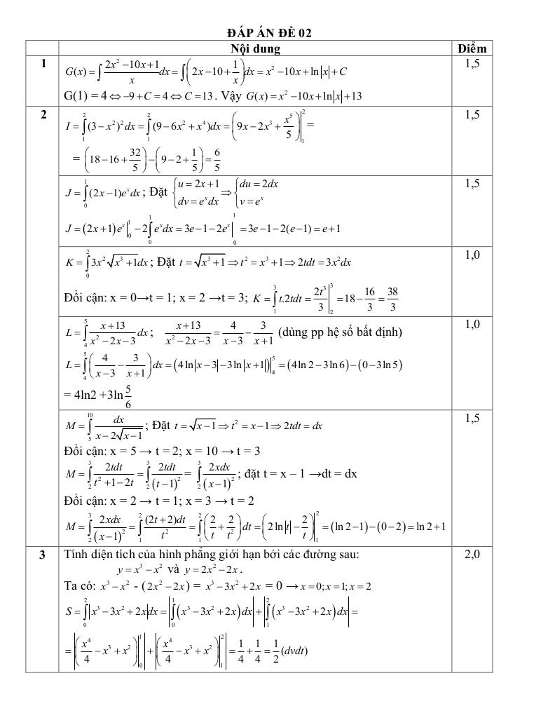
Đề kiểm tra 1 tiết Giải tích 12 chương 3 của trường THPT Nguyễn Văn Cừ, Hà Nội là một công cụ đánh giá quan trọng, tập trung vào kiến thức và kỹ năng của học sinh liên quan đến nguyên hàm, tích phân và các ứng dụng cơ bản của chúng. Đề thi được thiết kế với cấu trúc gồm hai mã đề riêng biệt, mỗi mã đề bao gồm ba bài toán tự luận. Điều này cho thấy ban biên soạn đề thi chú trọng đến việc kiểm tra khả năng vận dụng kiến thức một cách linh hoạt và độc lập của học sinh, đồng thời giảm thiểu tối đa tình trạng gian lận.

Đánh giá chung về cấu trúc và nội dung:

  • Thời lượng: 45 phút là khoảng thời gian hợp lý để học sinh có thể hoàn thành đề thi, đòi hỏi các em phải có tốc độ giải quyết bài toán nhanh chóng và chính xác.
  • Hình thức: Việc lựa chọn hình thức tự luận giúp giáo viên đánh giá sâu sắc quá trình suy luận, lập luận và trình bày lời giải của học sinh, thay vì chỉ kiểm tra kết quả cuối cùng như các bài trắc nghiệm.
  • Phạm vi kiến thức: Đề thi bao phủ các nội dung cốt lõi của chương 3, bao gồm:
    • Nguyên hàm: Khái niệm, tính chất, các phương pháp tìm nguyên hàm cơ bản.
    • Tích phân: Khái niệm, tính chất, các phương pháp tính tích phân (đổi biến, tích phân từng phần).
    • Ứng dụng: Tính diện tích hình phẳng, thể tích vật thể.

Nhận xét về mức độ khó:

Với ba bài toán tự luận trong thời gian 45 phút, đề thi có thể được đánh giá ở mức độ trung bình đến khá. Để hoàn thành tốt bài thi, học sinh cần nắm vững định nghĩa, định lý, công thức và các kỹ năng tính toán cơ bản. Đồng thời, các em cũng cần rèn luyện khả năng phân tích đề bài, lựa chọn phương pháp giải phù hợp và trình bày lời giải một cách logic, rõ ràng.

Giá trị của lời giải chi tiết:

Việc đề thi được cung cấp kèm theo lời giải chi tiết là một điểm cộng lớn. Lời giải chi tiết không chỉ giúp học sinh tự kiểm tra, đánh giá kết quả làm bài của mình mà còn là một nguồn tài liệu học tập quý giá. Học sinh có thể tham khảo lời giải để hiểu rõ hơn về các bước giải, các kỹ thuật tính toán và cách trình bày bài toán một cách khoa học.

Lời khuyên cho học sinh:

  1. Nắm vững lý thuyết: Hiểu rõ các khái niệm, định lý, công thức liên quan đến nguyên hàm, tích phân và ứng dụng.
  2. Luyện tập thường xuyên: Giải nhiều bài tập khác nhau để rèn luyện kỹ năng và làm quen với các dạng bài thường gặp.
  3. Rèn luyện tốc độ: Tập giải bài tập trong thời gian giới hạn để nâng cao tốc độ làm bài.
  4. Kiểm tra lại bài làm: Sau khi làm xong bài, hãy dành thời gian kiểm tra lại để phát hiện và sửa lỗi sai.

Tóm lại, đề kiểm tra 1 tiết Giải tích 12 chương 3 của trường THPT Nguyễn Văn Cừ, Hà Nội là một đề thi chất lượng, có cấu trúc hợp lý và nội dung bám sát chương trình học. Việc học sinh ôn tập kỹ lưỡng kiến thức và rèn luyện kỹ năng giải bài tập sẽ giúp các em đạt kết quả tốt trong kỳ kiểm tra này.

Chinh phục điểm cao Kỳ thi Tốt nghiệp THPT Quốc gia môn Toán, rộng mở cánh cửa Đại học với nội dung đề kiểm tra 1 tiết giải tích 12 chương 3 trường thpt nguyễn văn cừ – hà nội trong chuyên mục bài tập toán 12 trên nền tảng môn toán! Bộ bài tập lý thuyết toán thpt, được biên soạn chuyên sâu, bám sát cấu trúc đề thi và chương trình Toán 12, cam kết tối ưu hóa toàn diện lộ trình ôn luyện. Qua đó, học sinh không chỉ làm chủ mọi dạng bài thi mà còn trang bị chiến thuật làm bài hiệu quả, tự tin đạt kết quả đột phá, tạo nền tảng vững chắc cho Kỳ thi Tốt nghiệp THPT Quốc gia và hành trang vững vàng vào đại học, nhờ phương pháp tiếp cận trực quan, khoa học và mang lại hiệu quả học tập vượt trội.
images-post/de-kiem-tra-1-tiet-giai-tich-12-chuong-3-truong-thpt-nguyen-van-cu-ha-noi-1.jpgimages-post/de-kiem-tra-1-tiet-giai-tich-12-chuong-3-truong-thpt-nguyen-van-cu-ha-noi-2.jpgimages-post/de-kiem-tra-1-tiet-giai-tich-12-chuong-3-truong-thpt-nguyen-van-cu-ha-noi-3.jpgimages-post/de-kiem-tra-1-tiet-giai-tich-12-chuong-3-truong-thpt-nguyen-van-cu-ha-noi-4.jpg

File đề kiểm tra 1 tiết giải tích 12 chương 3 trường thpt nguyễn văn cừ – hà nội PDF Chi Tiết

TÌM KIẾM THEO TỪ KHÓA