đề kiểm tra 45 phút đại số và giải tích 11 chương 2 trường phan văn trị – cần thơ
Bạn đang xem tài liệu đề kiểm tra 45 phút đại số và giải tích 11 chương 2 trường phan văn trị – cần thơ được biên soạn theo
đề thi toán mới nhất. Tài liệu này hệ thống hóa kiến thức một cách khoa học, phù hợp cho mọi lộ trình học từ cơ bản đến nâng cao. Hãy khai thác triệt để nội dung để bứt phá điểm số và tự tin chinh phục mọi kỳ thi nhé!
## Phân tích Đề Kiểm Tra 45 Phút Đại Số và Giải Tích 11 – Chương 2: Tổ Hợp và Xác Suất (Trường Phan Văn Trị – Cần Thơ, Mã Đề 123)
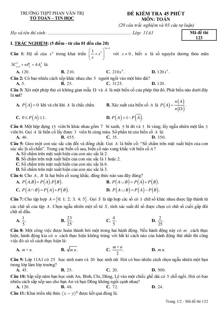
Đề kiểm tra 45 phút môn Đại Số và Giải Tích 11, chương 2 của trường Phan Văn Trị – Cần Thơ (mã đề 123) là một bài kiểm tra đánh giá kiến thức cơ bản về tổ hợp và xác suất. Đề thi có cấu trúc gồm 20 câu trắc nghiệm và 3 câu tự luận, cho thấy sự cân bằng giữa việc kiểm tra khả năng nhận biết khái niệm và vận dụng kiến thức vào giải quyết bài toán.
**Đánh giá chung:**
* **Tính bao quát:** Đề thi bao phủ các nội dung trọng tâm của chương 2, bao gồm: biến cố, phép thử, không gian mẫu, quy tắc cộng, quy tắc nhân, hoán vị, tổ hợp, xác suất của biến cố.
* **Độ khó:** Đề thi có độ khó vừa phải, phù hợp với thời gian làm bài 45 phút. Các câu hỏi trắc nghiệm chủ yếu kiểm tra kiến thức định nghĩa, công thức và khả năng hiểu bài. Các câu tự luận đòi hỏi học sinh phải vận dụng linh hoạt các kiến thức đã học để giải quyết vấn đề.
* **Tính thực tế:** Một số bài toán được đưa ra có tính ứng dụng thực tế, giúp học sinh thấy được tầm quan trọng của toán học trong đời sống.
**Phân tích chi tiết một số câu hỏi:**
* **Câu 1 (Trắc nghiệm):** Câu hỏi về biến cố xung khắc. Đây là một khái niệm cơ bản trong xác suất. Để trả lời đúng, học sinh cần hiểu rõ định nghĩa của biến cố xung khắc: hai biến cố không thể xảy ra đồng thời. Phân tích các đáp án, chỉ có đáp án D (Số chấm trên mặt xuất hiện của con súc sắc là 3) là xung khắc với biến cố A (Số chấm trên mặt xuất hiện của con súc sắc là số chẵn).
* **Câu 2 (Trắc nghiệm):** Câu hỏi về quy tắc cộng. Đây là một quy tắc cơ bản trong tổ hợp. Đề bài yêu cầu tính số cách thực hiện một công việc có thể được hoàn thành bằng một trong hai hành động. Đáp án đúng là *m + n*, thể hiện việc cộng số cách thực hiện của hai hành động độc lập.
* **Câu 3 (Tự luận):** Bài toán sắp xếp. Đây là một bài toán về hoán vị. Để giải bài toán này, học sinh có thể sử dụng phương pháp gián tiếp: tính tổng số cách sắp xếp 5 bạn học sinh, sau đó trừ đi số cách sắp xếp mà An và Dũng ngồi cạnh nhau.
* **Câu 4 (Tự luận):** Bài toán mô tả không gian mẫu. Học sinh cần hiểu rõ không gian mẫu là tập hợp tất cả các kết quả có thể xảy ra của một phép thử. Trong trường hợp này, không gian mẫu là tập hợp tất cả các hoán vị của 3 chữ cái K, Y, S. Có 3! = 6 kết quả có thể xảy ra.
* **Câu 5 (Tự luận):** Bài toán tính xác suất. Đây là một bài toán về tổ hợp và xác suất. Để giải bài toán này, học sinh cần tính số cách chọn 4 viên bi từ tổng số 12 viên bi, sau đó tính số cách chọn 4 viên bi không có bi đỏ (tức là chọn 4 viên bi từ 7 viên bi xanh và vàng). Cuối cùng, tính xác suất bằng cách chia số cách chọn 4 viên bi không có bi đỏ cho tổng số cách chọn 4 viên bi.
**Nhận xét:**
Đề thi này là một công cụ đánh giá hiệu quả kiến thức của học sinh về tổ hợp và xác suất. Đề thi có cấu trúc rõ ràng, độ khó phù hợp và bao phủ các nội dung trọng tâm của chương học. Việc cung cấp file WORD cho giáo viên là một điểm cộng, giúp giáo viên dễ dàng sử dụng đề thi trong quá trình giảng dạy và kiểm tra.
**Gợi ý cho học sinh:**
* Nắm vững các định nghĩa, công thức và quy tắc cơ bản về tổ hợp và xác suất.
* Luyện tập giải nhiều bài tập khác nhau để rèn luyện kỹ năng vận dụng kiến thức vào giải quyết vấn đề.
* Đọc kỹ đề bài và xác định rõ yêu cầu của bài toán trước khi bắt đầu giải.
* Sử dụng các phương pháp giải toán phù hợp, chẳng hạn như phương pháp trực tiếp, phương pháp gián tiếp, phương pháp liệt kê.
* Kiểm tra lại kết quả sau khi giải xong bài toán.
Chinh phục đỉnh cao Toán 11 và đặt nền móng vững chắc cho cánh cửa Đại học với nội dung
đề kiểm tra 45 phút đại số và giải tích 11 chương 2 trường phan văn trị – cần thơ trong chuyên mục
Sách giáo khoa Toán 11 trên nền tảng
đề thi toán! Bộ bài tập
toán trung học phổ thông, được biên soạn chuyên sâu, bám sát chặt chẽ chương trình Toán lớp 11 và định hướng các kỳ thi quan trọng, cam kết tối ưu hóa toàn diện quá trình ôn luyện. Qua đó, học sinh không chỉ làm chủ kiến thức phức tạp mà còn rèn luyện tư duy giải quyết vấn đề, sẵn sàng cho các kỳ thi và chương trình đại học, nhờ phương pháp tiếp cận trực quan, logic và mang lại hiệu quả học tập vượt trội.


File đề kiểm tra 45 phút đại số và giải tích 11 chương 2 trường phan văn trị – cần thơ PDF Chi Tiết