Logo Header
  1. Môn Toán
  2. đề kiểm tra chương 2 đại số 10 (hàm số bậc 1 – 2) trường thpt thực hành sư phạm – cần thơ

đề kiểm tra chương 2 đại số 10 (hàm số bậc 1 – 2) trường thpt thực hành sư phạm – cần thơ

Bạn đang xem tài liệu đề kiểm tra chương 2 đại số 10 (hàm số bậc 1 – 2) trường thpt thực hành sư phạm – cần thơ được biên soạn theo môn toán mới nhất. Tài liệu này hệ thống hóa kiến thức một cách khoa học, phù hợp cho mọi lộ trình học từ cơ bản đến nâng cao. Hãy khai thác triệt để nội dung để bứt phá điểm số và tự tin chinh phục mọi kỳ thi nhé!

Phân tích Đề Kiểm Tra Chương 2 Đại Số 10: Hàm Số Bậc Nhất và Bậc Hai – THPT Thực Hành Sư Phạm Cần Thơ (Mã A11)

Đề kiểm tra chương 2 môn Đại số 10 của trường THPT Thực hành Sư phạm – Cần Thơ (mã đề A11) được thiết kế để đánh giá mức độ nắm vững kiến thức về hàm số bậc nhất và hàm số bậc hai của học sinh lớp 10A1, với hệ số 1. Đề thi có cấu trúc gồm 12 câu trắc nghiệm và 1 câu tự luận, trải dài các khía cạnh quan trọng của chủ đề hàm số.

Đánh giá chung về cấu trúc đề:

Cấu trúc đề thi khá cân đối, kết hợp giữa việc kiểm tra kiến thức lý thuyết thông qua các câu trắc nghiệm và khả năng vận dụng, phân tích thông qua câu tự luận. Việc sử dụng đồ thị hàm số trong các câu trắc nghiệm là một điểm cộng, giúp đánh giá khả năng đọc hiểu và liên hệ giữa biểu diễn hình học và đại số của hàm số.

Phân tích chi tiết các câu hỏi:

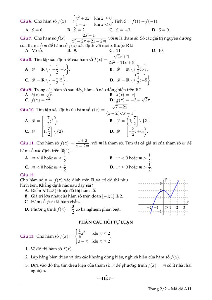
  1. Câu trắc nghiệm 1: Đề bài yêu cầu xác định khẳng định sai về hàm số dựa trên đồ thị. Câu hỏi này kiểm tra khả năng đọc và phân tích đồ thị hàm số, cũng như hiểu rõ các khái niệm về thuộc đồ thị, giá trị lớn nhất, tính chẵn lẻ và số nghiệm của phương trình. Đây là một câu hỏi đánh giá mức độ hiểu biết sâu sắc về hàm số.
  2. Câu trắc nghiệm 2: Tương tự câu 1, câu hỏi này cũng tập trung vào khả năng đọc và phân tích đồ thị hàm số để xác định tính đơn điệu của hàm số trên các khoảng khác nhau. Việc lựa chọn đáp án đúng đòi hỏi học sinh phải nắm vững định nghĩa về hàm số đồng biến, nghịch biến và khả năng xác định chiều biến thiên của hàm số qua đồ thị.
  3. Câu tự luận: Câu tự luận là một bài toán tổng hợp, yêu cầu học sinh:
    • Vẽ đồ thị hàm số: Kiểm tra khả năng biểu diễn hàm số theo định nghĩa từng đoạn.
    • Lập bảng biến thiên: Đánh giá khả năng phân tích hàm số, xác định các điểm đặc biệt (đỉnh, giao điểm) và chiều biến thiên trên các khoảng xác định.
    • Tìm điều kiện của tham số m: Kiểm tra khả năng vận dụng kiến thức về số nghiệm của phương trình dựa trên đồ thị hàm số. Đây là một câu hỏi đòi hỏi sự kết hợp giữa kiến thức hình học và đại số.

Nhận xét và gợi ý:

Đề thi này có độ khó vừa phải, phù hợp với trình độ của học sinh lớp 10. Các câu hỏi được xây dựng dựa trên các kiến thức cơ bản và quan trọng của chương trình. Để làm tốt bài thi này, học sinh cần:

  • Nắm vững định nghĩa, tính chất của hàm số bậc nhất và hàm số bậc hai.
  • Rèn luyện kỹ năng vẽ đồ thị hàm số và phân tích các yếu tố của đồ thị (đỉnh, trục đối xứng, giao điểm).
  • Làm quen với các dạng bài tập về tính đơn điệu, giá trị lớn nhất, giá trị nhỏ nhất và số nghiệm của phương trình.
  • Thực hành giải nhiều bài tập tương tự để củng cố kiến thức và kỹ năng.

Kết luận:

Đề kiểm tra chương 2 Đại số 10 của trường THPT Thực hành Sư phạm – Cần Thơ là một đề thi tốt, có khả năng đánh giá một cách toàn diện kiến thức và kỹ năng của học sinh về chủ đề hàm số bậc nhất và bậc hai. Việc phân tích kỹ đề thi này sẽ giúp học sinh có định hướng ôn tập hiệu quả và đạt kết quả tốt trong kỳ kiểm tra.

Khởi đầu hành trình Toán THPT vững vàng với nội dung đề kiểm tra chương 2 đại số 10 (hàm số bậc 1 – 2) trường thpt thực hành sư phạm – cần thơ trong chuyên mục toán lớp 10 trên nền tảng môn toán! Bộ bài tập lý thuyết toán thpt, được biên soạn chuyên sâu và bám sát chặt chẽ chương trình Toán lớp 10 hiện hành, cam kết tối ưu hóa toàn diện quá trình ôn luyện. Qua đó, học sinh không chỉ củng cố kiến thức cốt lõi mà còn xây dựng nền tảng vững chắc cho các năm học tiếp theo và định hướng đại học, nhờ phương pháp tiếp cận trực quan, logic và mang lại hiệu quả học tập vượt trội.
images-post/de-kiem-tra-chuong-2-dai-so-10-ham-so-bac-1-2-truong-thpt-thuc-hanh-su-pham-can-tho-1.jpgimages-post/de-kiem-tra-chuong-2-dai-so-10-ham-so-bac-1-2-truong-thpt-thuc-hanh-su-pham-can-tho-2.jpg

File đề kiểm tra chương 2 đại số 10 (hàm số bậc 1 – 2) trường thpt thực hành sư phạm – cần thơ PDF Chi Tiết

TÌM KIẾM THEO TỪ KHÓA