đề kiểm tra đại số 10 chương 2 năm 2018 – 2019 trường lê quý đôn – bình phước
Bạn đang xem tài liệu đề kiểm tra đại số 10 chương 2 năm 2018 – 2019 trường lê quý đôn – bình phước được biên soạn theo
môn toán mới nhất. Tài liệu này hệ thống hóa kiến thức một cách khoa học, phù hợp cho mọi lộ trình học từ cơ bản đến nâng cao. Hãy khai thác triệt để nội dung để bứt phá điểm số và tự tin chinh phục mọi kỳ thi nhé!
## Phân tích Đề Kiểm Tra Đại Số 10 – Chương Hàm Số Bậc Nhất và Bậc Hai (Năm học 2018-2019, THPT Lê Quý Đôn, Bình Phước)
Bài viết này sẽ đi sâu vào phân tích một đề kiểm tra 1 tiết Đại số 10, chương 2, được thực hiện tại trường THPT Lê Quý Đôn, tỉnh Bình Phước năm học 2018-2019. Đề kiểm tra tập trung vào kiến thức về hàm số bậc nhất và bậc hai, bao gồm tính đơn điệu, xét giao điểm với trục hoành. Đi kèm với đề là đáp án và lời giải chi tiết, hỗ trợ quá trình ôn tập và tự học của học sinh.
**Đánh giá chung về đề kiểm tra:**
Đề kiểm tra có cấu trúc khá điển hình cho một bài kiểm tra 1 tiết, tập trung đánh giá khả năng vận dụng các kiến thức cơ bản về hàm số bậc nhất và bậc hai. Các câu hỏi được trình bày rõ ràng, yêu cầu học sinh nắm vững định nghĩa, tính chất và phương pháp giải quyết các bài toán liên quan. Mức độ khó của đề ở mức độ trung bình, phù hợp với mục tiêu đánh giá kiến thức sau khi học xong chương.
**Phân tích chi tiết các câu hỏi:**
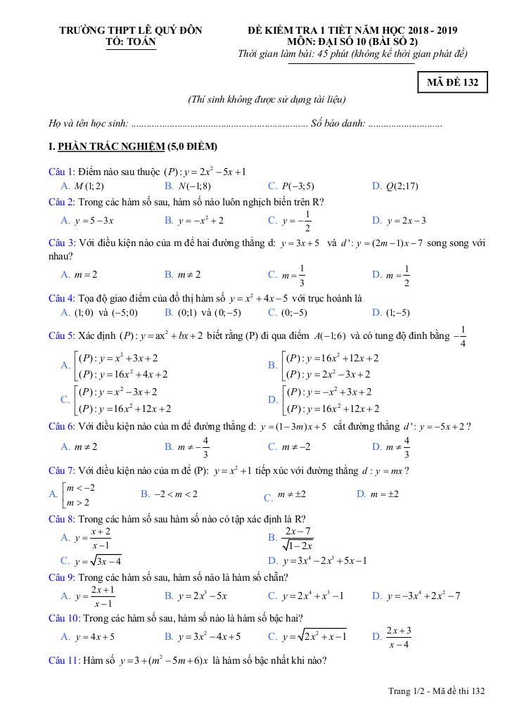
1. **Câu hỏi về tính nghịch biến của hàm số bậc hai:**
* **Đề bài:** Hàm số y = -x^2 + 4x – 5 nghịch biến trên khoảng nào?
* **Các lựa chọn:**
* A. Hàm số nghịch biến trên khoảng (-1;-∞).
* B. Hàm số nghịch biến trên (-∞;-1).
* C. Hàm số nghịch biến trên khoảng (2;+∞).
* D. Hàm số nghịch biến trên khoảng (-∞;2).
* **Phân tích:** Câu hỏi này kiểm tra khả năng xác định khoảng nghịch biến của hàm số bậc hai. Để giải quyết, học sinh cần xác định hoành độ đỉnh của parabol (x = -b/2a) và sử dụng quy tắc: Hàm số bậc hai y = ax^2 + bx + c nghịch biến trên khoảng (-∞; -b/2a) nếu a < 0. Trong trường hợp này, a = -1 < 0 và -b/2a = -4/(2*(-1)) = 2. Do đó, hàm số nghịch biến trên khoảng (-∞; 2).
* **Đáp án:** D.
2. **Câu hỏi về tính đồng biến của hàm số bậc hai:**
* **Đề bài:** Cho hàm số y = x^2 – 2x + 1. Trong các khẳng định sau, khẳng định nào đúng?
* **Các lựa chọn:**
* A. Hàm số đồng biến trên khoảng (0;+∞).
* B. Hàm số đồng biến trên khoảng (-∞;1).
* C. Hàm số đồng biến trong khoảng (+∞;0).
* D. Hàm số đồng biến trong khoảng (1;+∞).
* **Phân tích:** Tương tự như câu hỏi trên, học sinh cần xác định hoành độ đỉnh của parabol (x = -b/2a). Trong trường hợp này, a = 1 > 0 và -b/2a = -(-2)/(2*1) = 1. Do đó, hàm số đồng biến trên khoảng (1;+∞).
* **Đáp án:** D.
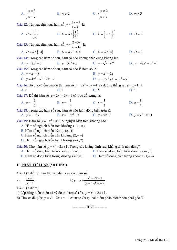
3. **Câu hỏi về điều kiện để parabol cắt trục Ox tại hai điểm phân biệt ở bên phải gốc O:**
* **Đề bài:** Tìm m để (P): y = x^2 – 2x + m – 1 cắt trục Ox tại hai điểm phân biệt ở bên phải gốc O.
* **Phân tích:** Để parabol cắt trục Ox tại hai điểm phân biệt, phương trình x^2 – 2x + m – 1 = 0 phải có hai nghiệm phân biệt x1 và x2. Điều kiện này tương đương với delta > 0, tức là (-2)^2 - 4(1)(m-1) > 0, suy ra m < 3.
* Để hai nghiệm đều dương (tức là nằm bên phải gốc O), cần thêm điều kiện tổng hai nghiệm (x1 + x2) > 0 và tích hai nghiệm (x1*x2) > 0. Theo định lý Viète, x1 + x2 = 2 > 0 (luôn đúng) và x1*x2 = m - 1 > 0, suy ra m > 1.
* Kết hợp hai điều kiện m < 3 và m > 1, ta được 1 < m < 3.
* **Đáp án:** (Cần lời giải chi tiết để xác định đáp án chính xác).
**Kết luận:**
Đề kiểm tra Đại số 10 chương 2 năm học 2018-2019 trường THPT Lê Quý Đôn – Bình Phước là một đề kiểm tra có chất lượng, giúp đánh giá kiến thức cơ bản về hàm số bậc nhất và bậc hai của học sinh. Việc phân tích chi tiết các câu hỏi trong đề giúp học sinh hiểu rõ hơn về các khái niệm, tính chất và phương pháp giải quyết các bài toán liên quan. Học sinh nên luyện tập thêm nhiều bài tập tương tự để củng cố kiến thức và nâng cao kỹ năng giải toán.
Khởi đầu hành trình Toán THPT vững vàng với nội dung
đề kiểm tra đại số 10 chương 2 năm 2018 – 2019 trường lê quý đôn – bình phước trong chuyên mục
học toán 10 trên nền tảng
môn toán! Bộ bài tập
toán trung học phổ thông, được biên soạn chuyên sâu và bám sát chặt chẽ chương trình Toán lớp 10 hiện hành, cam kết tối ưu hóa toàn diện quá trình ôn luyện. Qua đó, học sinh không chỉ củng cố kiến thức cốt lõi mà còn xây dựng nền tảng vững chắc cho các năm học tiếp theo và định hướng đại học, nhờ phương pháp tiếp cận trực quan, logic và mang lại hiệu quả học tập vượt trội.




File đề kiểm tra đại số 10 chương 2 năm 2018 – 2019 trường lê quý đôn – bình phước PDF Chi Tiết