Logo Header
  1. Môn Toán
  2. đề kiểm tra đại số 10 chương 4 (bđt – bpt) trường thpt trần nhân tông – đăk lăk

đề kiểm tra đại số 10 chương 4 (bđt – bpt) trường thpt trần nhân tông – đăk lăk

Bạn đang xem tài liệu đề kiểm tra đại số 10 chương 4 (bđt – bpt) trường thpt trần nhân tông – đăk lăk được biên soạn theo học toán mới nhất. Tài liệu này hệ thống hóa kiến thức một cách khoa học, phù hợp cho mọi lộ trình học từ cơ bản đến nâng cao. Hãy khai thác triệt để nội dung để bứt phá điểm số và tự tin chinh phục mọi kỳ thi nhé!

Phân tích Đề Kiểm Tra Đại Số 10 – Chương 4: Bất Đẳng Thức và Bất Phương Trình (Trường THPT Trần Nhân Tông – Đăk Lăk)

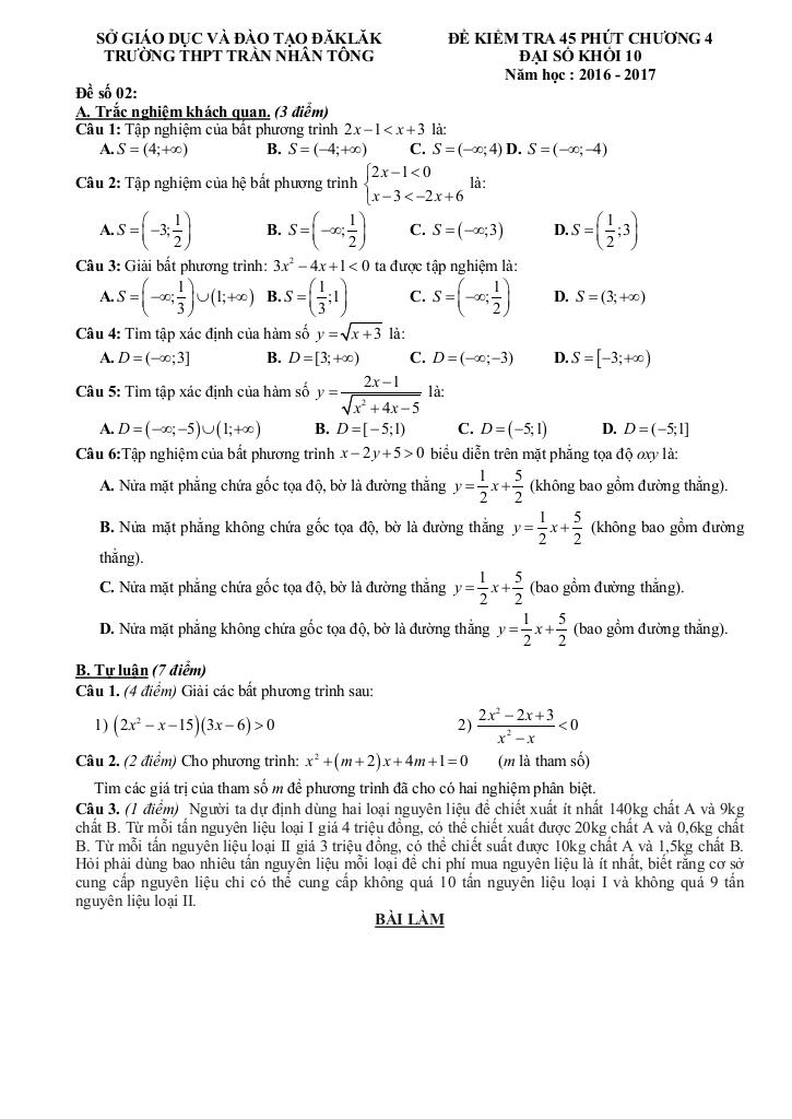
Đề kiểm tra Đại số 10 chương 4 của trường THPT Trần Nhân Tông – Đăk Lăk được cấu trúc với mục tiêu đánh giá mức độ nắm vững kiến thức về bất đẳng thức và bất phương trình của học sinh. Đề thi bao gồm hai phần chính:

  1. Phần A: Trắc nghiệm – 6 câu, tương đương 3 điểm.
  2. Phần B: Tự luận – 3 câu, tương đương 7 điểm.

Đánh giá chung về cấu trúc đề:

Cấu trúc đề thi này khá phổ biến và hợp lý cho một bài kiểm tra chương. Việc phân bổ điểm giữa trắc nghiệm và tự luận (3 điểm – 7 điểm) cho thấy sự cân bằng giữa việc kiểm tra khả năng nhận biết kiến thức cơ bản (trắc nghiệm) và khả năng vận dụng, giải quyết vấn đề (tự luận). Tỷ lệ này khuyến khích học sinh không chỉ học thuộc các định nghĩa, tính chất mà còn phải rèn luyện kỹ năng giải toán.

Phân tích chi tiết từng phần:

  • Phần A – Trắc nghiệm: Với 6 câu hỏi, phần này tập trung vào việc kiểm tra học sinh về các khái niệm cơ bản như:
    • Định nghĩa bất đẳng thức, bất phương trình.
    • Các tính chất của bất đẳng thức (tính chất bắc cầu, tính chất cộng, trừ, nhân, chia).
    • Các loại bất đẳng thức (bất đẳng thức đúng, bất đẳng thức sai).
    • Cách giải bất phương trình bậc nhất một ẩn.

    Việc lựa chọn dạng trắc nghiệm giúp giáo viên đánh giá nhanh chóng mức độ hiểu bài của học sinh và xác định những kiến thức còn yếu cần củng cố.

  • Phần B – Tự luận: 3 câu hỏi tự luận đòi hỏi học sinh phải trình bày chi tiết các bước giải, áp dụng các kiến thức đã học để giải quyết các bài toán cụ thể. Các dạng bài có thể xuất hiện trong phần này bao gồm:
    • Giải bất phương trình bậc nhất một ẩn.
    • Giải bất phương trình tích, bất phương trình chứa tham số.
    • Chứng minh bất đẳng thức đơn giản.
    • Tìm điều kiện của tham số để bất phương trình có nghiệm hoặc vô nghiệm.

    Phần tự luận là phần quan trọng để đánh giá khả năng tư duy logic, kỹ năng biến đổi đại số và khả năng trình bày bài toán một cách rõ ràng, mạch lạc của học sinh.

Nhận xét:

Đề kiểm tra này có cấu trúc rõ ràng, phân bổ điểm hợp lý và bao quát các kiến thức trọng tâm của chương Bất đẳng thức và Bất phương trình. Đề thi phù hợp với mục tiêu đánh giá năng lực của học sinh THPT trong giai đoạn đầu của chương trình Đại số 10. Để đạt kết quả tốt trong bài kiểm tra này, học sinh cần nắm vững lý thuyết, luyện tập thường xuyên các dạng bài tập và rèn luyện kỹ năng trình bày bài toán một cách khoa học.

Khởi đầu hành trình Toán THPT vững vàng với nội dung đề kiểm tra đại số 10 chương 4 (bđt – bpt) trường thpt trần nhân tông – đăk lăk trong chuyên mục sgk toán 10 trên nền tảng học toán! Bộ bài tập toán trung học phổ thông, được biên soạn chuyên sâu và bám sát chặt chẽ chương trình Toán lớp 10 hiện hành, cam kết tối ưu hóa toàn diện quá trình ôn luyện. Qua đó, học sinh không chỉ củng cố kiến thức cốt lõi mà còn xây dựng nền tảng vững chắc cho các năm học tiếp theo và định hướng đại học, nhờ phương pháp tiếp cận trực quan, logic và mang lại hiệu quả học tập vượt trội.
images-post/de-kiem-tra-dai-so-10-chuong-4-bdt-bpt-truong-thpt-tran-nhan-tong-dak-lak-1.jpgimages-post/de-kiem-tra-dai-so-10-chuong-4-bdt-bpt-truong-thpt-tran-nhan-tong-dak-lak-2.jpgimages-post/de-kiem-tra-dai-so-10-chuong-4-bdt-bpt-truong-thpt-tran-nhan-tong-dak-lak-3.jpgimages-post/de-kiem-tra-dai-so-10-chuong-4-bdt-bpt-truong-thpt-tran-nhan-tong-dak-lak-4.jpgimages-post/de-kiem-tra-dai-so-10-chuong-4-bdt-bpt-truong-thpt-tran-nhan-tong-dak-lak-5.jpgimages-post/de-kiem-tra-dai-so-10-chuong-4-bdt-bpt-truong-thpt-tran-nhan-tong-dak-lak-6.jpg

File đề kiểm tra đại số 10 chương 4 (bđt – bpt) trường thpt trần nhân tông – đăk lăk PDF Chi Tiết