Chào mừng các em học sinh lớp 3 đến với đề kiểm tra học kì 2 môn Toán chương trình Kết nối tri thức - Đề số 9.
Đề thi này được thiết kế dựa trên cấu trúc đề thi chính thức, bao gồm các dạng bài tập khác nhau giúp các em ôn luyện và củng cố kiến thức đã học trong học kì.
Một hình vuông có chu vi là 28 cm thì cạnh của hình vuông có độ dài là .... Mai vào cửa hàng mua 2 thanh sô-cô-la và 1 gói bánh. Biết 1 thanh sô-cô-la có giá 26 000 đồng
I. TRẮC NGHIỆM
(Khoanh vào chữ đặt trước câu trả lời đúng)
Câu 1. Số liền trước của số bé nhất có 5 chữ số là:
A. 9 999
B. 10 000
C. 10 001
D. 99 999
Câu 2. Một hình vuông có chu vi là 28 cm thì cạnh của hình vuông có độ dài là:
A. 6 cm
B. 49 cm
C. 14 cm
D. 7 cm
Câu 3. Cho 6 m = ..... mm. Số thích hợp điền vào chỗ chấm là:
A. 60
B. 600
C. 6 000
D. 60 000
Câu 4. Khẳng định nào dưới đây là sai?
A. 1 năm có 12 tháng
B. Tháng 6 có 31 ngày
C. 8 m = 80 dm
D. 7 phút = 420 giây
Câu 5. Dấu (>, <, =) thích hợp để điền vào chỗ chấm là: 58 956 ...... 68 832 – 9 867
A. >,
B. <
C. =
Câu 6. Mai vào cửa hàng mua 2 thanh sô-cô-la và 1 gói bánh. Biết 1 thanh sô-cô-la có giá 26 000 đồng và 1 gói bánh có giá 34 000 đồng. Hỏi Mai mua hết bao nhiêu tiền?
A. 86 000 đồng
B. 60 000 đồng
C. 78 000 đồng
D. 65 000 đồng
II. TỰ LUẬN
Câu 1. Đặt tính rồi tính:
a) 31 826 + 16 419
b) 27 650 – 2 854
c) 10 319 x 7
d) 63 965 : 5
Câu 2. Tìm x, biết:
a) x : 8 = 7386
b) $4 \times x = 80\,084$
Câu 3. Gia đình bác Minh đã mua 2 xe ô tô gạch, mỗi xe chở 4 500 viên gạch. Sau 2 ngày, những người thợ xây đã xây hết 2 383 viên gạch. Hỏi còn bao nhiêu viên gạch chưa xây?
Câu 4. Một hình chữ nhật có chu vi bằng 164 m, chiều dài là 52 m. Chiều rộng hình chữ nhật là bao nhiêu?
HƯỚNG DẪN GIẢI CHI TIẾT
I. TRẮC NGHIỆM
(Khoanh vào chữ đặt trước câu trả lời đúng)
Câu 1. Số liền trước của số bé nhất có 5 chữ số là:
A. 9 999
B. 10 000
C. 10 001
D. 99 999
Phương pháp
- Xác định số bé nhất có 5 chữ số.
- Để tìm số liền trước của một số ta lấy số đó trừ đi 1
Cách giải
Số bé nhất có 5 chữ số là 10 000.
Số liền trước của 10 000 là 9 999.
Chọn A
Câu 2. Một hình vuông có chu vi là 28 cm thì cạnh của hình vuông có độ dài là:
A. 6 cm
B. 49 cm
C. 14 cm
D. 7 cm
Phương pháp
Độ dài cạnh hình vuông = Chu vi hình vuông : 4
Cách giải
Độ dài cạnh hình vuông là 28 : 4 = 7 (cm)
Chọn D.
Câu 3. Cho 6 m = ..... mm. Số thích hợp điền vào chỗ chấm là:
A. 60
B. 600
C. 6 000
D. 60 000
Phương pháp
Áp dụng cách đổi: 1m = 1 000mm
Cách giải
6 m = 6 000 mm
Chọn C
Câu 4. Khẳng định nào dưới đây là sai?
A. 1 năm có 12 tháng
B. Tháng 6 có 31 ngày
C. 8 m = 80 dm
D. 7 phút = 420 giây
Phương pháp
Đọc mỗi câu rồi chọn câu sai.
Cách giải
Khẳng định sai là: Tháng 6 có 31 ngày
Chọn B
Câu 5. Dấu (>, <, =) thích hợp để điền vào chỗ chấm là: 58 956 ...... 68 832 – 9 867
A. >,
B. <
C. =
Phương pháp
Tính giá trị vế phải rồi so sánh hai vế.
Cách giải
68 832 – 9 867 = 58 965
Ta có 58 956 < 58 965
Vậy 58 956 < 68 832 – 9 867
Câu 6. Mai vào cửa hàng mua 2 thanh sô-cô-la và 1 gói bánh. Biết 1 thanh sô-cô-la có giá 26 000 đồng và 1 gói bánh có giá 34 000 đồng. Hỏi Mai mua hết bao nhiêu tiền?
A. 86 000 đồng
B. 60 000 đồng
C. 78 000 đồng
D. 65 000 đồng
Phương pháp
- Tìm giá tiền mua 2 thanh sô-cô-la = giá tiền mua một thanh sô-cô-la x 2
- Tìm giá tiền Mai đã mua sô-cô-la và gói bánh
Cách giải
Giá tiền mua 2 thanh sô-cô-la là
26 000 x 2= 52 000 (đồng)
Mai mua sô-cô-la và gói bánh hết số tiền là
52 000 + 26 000 = 78 000 (đồng)
Đáp số: 78 000 đồng
II. TỰ LUẬN
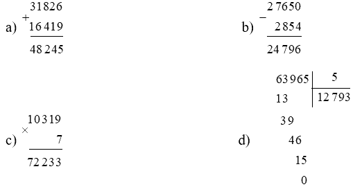
Câu 1. Đặt tính rồi tính:
a) 31 826 + 16 419
b) 27 650 – 2 854
c) 10 319 x 7
d) 63 965 : 5
Phương pháp
- Đặt tính
- Với phép cộng, trừ: Thực hiện cộng hoặc trừ các chữ số thẳng cột lần lượt từ phải sang trái
- Với phép nhân: Thực hiện nhân lần lượt từ phải sang trái
- Với phép chia: Thực hiện chia từ trái sang phải
Cách giải

Câu 2. Tìm x, biết:
a) x : 8 = 7 386
b) $4 \times x = 80\,084$
Phương pháp
- Muốn tìm số bị chia ta lấy thương nhân với số chia
- Muốn tìm thừa số chưa biết ta lấy tích chia cho thừa số kia
Cách giải
a) x : 8 = 7 386
x = 7 386 x 8
x = 59 088
b) $4 \times x = 80\,084$
$x = 80084:4$
$x = 20\,021$
Câu 3. Gia đình bác Minh đã mua 2 xe ô tô gạch, mỗi xe chở 4 500 viên gạch. Sau 2 ngày, những người thợ xây đã xây hết 2 383 viên gạch. Hỏi còn bao nhiêu viên gạch chưa xây?
Phương pháp
- Tìm số viên gạch 2 xe chở được = Số viên gạch mỗi xe chở được x 2
- Tìm số viên gạch còn lại = Số viên gạch 2 xe chở - số viên gạch đã xây
Cách giải
Tóm tắt
Đã mua: 2 xe
Mỗi xe: 4500 viên gạch
Đã xây: 2 383 viên gạch
Còn lại? viên gạch
Bài giải
Số viên gạch bác Minh đã mua là
4 500 x 2 = 9 000 (viên)
Số viên gạch còn lại là
9 000 - 2 383 = 6 617 (viên)
Đáp số: 6 617 viên gạch
Câu 4. Một hình chữ nhật có chu vi bằng 164 m, chiều dài là 52 m. Chiều rộng hình chữ nhật là bao nhiêu?
Phương pháp
- Tìm nửa chu vi hình chữ nhật = Chu vi hình chữ nhật : 2
- Chiều rộng hình chữ nhật = Nửa chu vi hình chữ nhật – chiều dài
Cách giải
Nửa chu vi hình chữ nhật là
164 : 2 = 82 (m)
Chiều rộng hình chữ nhật là
82 – 52 = 30 (m)
Đáp số: 30 m
Tải về
I. TRẮC NGHIỆM
(Khoanh vào chữ đặt trước câu trả lời đúng)
Câu 1. Số liền trước của số bé nhất có 5 chữ số là:
A. 9 999
B. 10 000
C. 10 001
D. 99 999
Câu 2. Một hình vuông có chu vi là 28 cm thì cạnh của hình vuông có độ dài là:
A. 6 cm
B. 49 cm
C. 14 cm
D. 7 cm
Câu 3. Cho 6 m = ..... mm. Số thích hợp điền vào chỗ chấm là:
A. 60
B. 600
C. 6 000
D. 60 000
Câu 4. Khẳng định nào dưới đây là sai?
A. 1 năm có 12 tháng
B. Tháng 6 có 31 ngày
C. 8 m = 80 dm
D. 7 phút = 420 giây
Câu 5. Dấu (>, <, =) thích hợp để điền vào chỗ chấm là: 58 956 ...... 68 832 – 9 867
A. >,
B. <
C. =
Câu 6. Mai vào cửa hàng mua 2 thanh sô-cô-la và 1 gói bánh. Biết 1 thanh sô-cô-la có giá 26 000 đồng và 1 gói bánh có giá 34 000 đồng. Hỏi Mai mua hết bao nhiêu tiền?
A. 86 000 đồng
B. 60 000 đồng
C. 78 000 đồng
D. 65 000 đồng
II. TỰ LUẬN
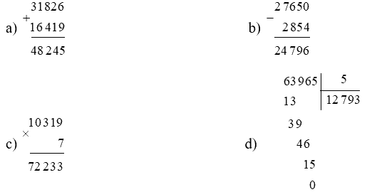
Câu 1. Đặt tính rồi tính:
a) 31 826 + 16 419
b) 27 650 – 2 854
c) 10 319 x 7
d) 63 965 : 5
Câu 2. Tìm x, biết:
a) x : 8 = 7386
b) $4 \times x = 80\,084$
Câu 3. Gia đình bác Minh đã mua 2 xe ô tô gạch, mỗi xe chở 4 500 viên gạch. Sau 2 ngày, những người thợ xây đã xây hết 2 383 viên gạch. Hỏi còn bao nhiêu viên gạch chưa xây?
Câu 4. Một hình chữ nhật có chu vi bằng 164 m, chiều dài là 52 m. Chiều rộng hình chữ nhật là bao nhiêu?
HƯỚNG DẪN GIẢI CHI TIẾT
I. TRẮC NGHIỆM
(Khoanh vào chữ đặt trước câu trả lời đúng)
Câu 1. Số liền trước của số bé nhất có 5 chữ số là:
A. 9 999
B. 10 000
C. 10 001
D. 99 999
Phương pháp
- Xác định số bé nhất có 5 chữ số.
- Để tìm số liền trước của một số ta lấy số đó trừ đi 1
Cách giải
Số bé nhất có 5 chữ số là 10 000.
Số liền trước của 10 000 là 9 999.
Chọn A
Câu 2. Một hình vuông có chu vi là 28 cm thì cạnh của hình vuông có độ dài là:
A. 6 cm
B. 49 cm
C. 14 cm
D. 7 cm
Phương pháp
Độ dài cạnh hình vuông = Chu vi hình vuông : 4
Cách giải
Độ dài cạnh hình vuông là 28 : 4 = 7 (cm)
Chọn D.
Câu 3. Cho 6 m = ..... mm. Số thích hợp điền vào chỗ chấm là:
A. 60
B. 600
C. 6 000
D. 60 000
Phương pháp
Áp dụng cách đổi: 1m = 1 000mm
Cách giải
6 m = 6 000 mm
Chọn C
Câu 4. Khẳng định nào dưới đây là sai?
A. 1 năm có 12 tháng
B. Tháng 6 có 31 ngày
C. 8 m = 80 dm
D. 7 phút = 420 giây
Phương pháp
Đọc mỗi câu rồi chọn câu sai.
Cách giải
Khẳng định sai là: Tháng 6 có 31 ngày
Chọn B
Câu 5. Dấu (>, <, =) thích hợp để điền vào chỗ chấm là: 58 956 ...... 68 832 – 9 867
A. >,
B. <
C. =
Phương pháp
Tính giá trị vế phải rồi so sánh hai vế.
Cách giải
68 832 – 9 867 = 58 965
Ta có 58 956 < 58 965
Vậy 58 956 < 68 832 – 9 867
Câu 6. Mai vào cửa hàng mua 2 thanh sô-cô-la và 1 gói bánh. Biết 1 thanh sô-cô-la có giá 26 000 đồng và 1 gói bánh có giá 34 000 đồng. Hỏi Mai mua hết bao nhiêu tiền?
A. 86 000 đồng
B. 60 000 đồng
C. 78 000 đồng
D. 65 000 đồng
Phương pháp
- Tìm giá tiền mua 2 thanh sô-cô-la = giá tiền mua một thanh sô-cô-la x 2
- Tìm giá tiền Mai đã mua sô-cô-la và gói bánh
Cách giải
Giá tiền mua 2 thanh sô-cô-la là
26 000 x 2= 52 000 (đồng)
Mai mua sô-cô-la và gói bánh hết số tiền là
52 000 + 26 000 = 78 000 (đồng)
Đáp số: 78 000 đồng
II. TỰ LUẬN
Câu 1. Đặt tính rồi tính:
a) 31 826 + 16 419
b) 27 650 – 2 854
c) 10 319 x 7
d) 63 965 : 5
Phương pháp
- Đặt tính
- Với phép cộng, trừ: Thực hiện cộng hoặc trừ các chữ số thẳng cột lần lượt từ phải sang trái
- Với phép nhân: Thực hiện nhân lần lượt từ phải sang trái
- Với phép chia: Thực hiện chia từ trái sang phải
Cách giải

Câu 2. Tìm x, biết:
a) x : 8 = 7 386
b) $4 \times x = 80\,084$
Phương pháp
- Muốn tìm số bị chia ta lấy thương nhân với số chia
- Muốn tìm thừa số chưa biết ta lấy tích chia cho thừa số kia
Cách giải
a) x : 8 = 7 386
x = 7 386 x 8
x = 59 088
b) $4 \times x = 80\,084$
$x = 80084:4$
$x = 20\,021$
Câu 3. Gia đình bác Minh đã mua 2 xe ô tô gạch, mỗi xe chở 4 500 viên gạch. Sau 2 ngày, những người thợ xây đã xây hết 2 383 viên gạch. Hỏi còn bao nhiêu viên gạch chưa xây?
Phương pháp
- Tìm số viên gạch 2 xe chở được = Số viên gạch mỗi xe chở được x 2
- Tìm số viên gạch còn lại = Số viên gạch 2 xe chở - số viên gạch đã xây
Cách giải
Tóm tắt
Đã mua: 2 xe
Mỗi xe: 4500 viên gạch
Đã xây: 2 383 viên gạch
Còn lại? viên gạch
Bài giải
Số viên gạch bác Minh đã mua là
4 500 x 2 = 9 000 (viên)
Số viên gạch còn lại là
9 000 - 2 383 = 6 617 (viên)
Đáp số: 6 617 viên gạch
Câu 4. Một hình chữ nhật có chu vi bằng 164 m, chiều dài là 52 m. Chiều rộng hình chữ nhật là bao nhiêu?
Phương pháp
- Tìm nửa chu vi hình chữ nhật = Chu vi hình chữ nhật : 2
- Chiều rộng hình chữ nhật = Nửa chu vi hình chữ nhật – chiều dài
Cách giải
Nửa chu vi hình chữ nhật là
164 : 2 = 82 (m)
Chiều rộng hình chữ nhật là
82 – 52 = 30 (m)
Đáp số: 30 m
Đề kiểm tra học kì 2 Toán 3 Kết nối tri thức - Đề số 9 là một công cụ quan trọng giúp học sinh lớp 3 đánh giá năng lực và kiến thức đã học trong suốt học kì. Đề thi bao gồm nhiều dạng bài tập khác nhau, từ các bài toán cơ bản về cộng, trừ, nhân, chia đến các bài toán phức tạp hơn về hình học, đo lường và giải toán có lời văn.
Đề thi thường được chia thành các phần chính sau:
Đề thi tập trung vào các nội dung chính sau:
Dưới đây là hướng dẫn giải chi tiết một số bài toán thường gặp trong đề thi:
Ví dụ: 234 + 156 = ?
Hướng dẫn: Đặt các số theo cột dọc, cộng các chữ số ở từng hàng từ phải sang trái. Nếu tổng của một hàng lớn hơn 9, nhớ 1 sang hàng tiếp theo.
Ví dụ: Một cửa hàng có 350 kg gạo. Buổi sáng cửa hàng bán được 120 kg gạo, buổi chiều bán được 110 kg gạo. Hỏi cửa hàng còn lại bao nhiêu kg gạo?
Hướng dẫn: Xác định yêu cầu của bài toán, tìm các số liệu đã cho, chọn phép tính phù hợp (cộng, trừ, nhân, chia) và thực hiện phép tính để tìm ra kết quả.
Ví dụ: Một hình vuông có cạnh dài 5cm. Tính chu vi của hình vuông đó.
Hướng dẫn: Chu vi hình vuông bằng bốn lần độ dài một cạnh. Vậy chu vi của hình vuông là 5 x 4 = 20cm.
Việc luyện tập thường xuyên với các đề thi thử như Đề kiểm tra học kì 2 Toán 3 Kết nối tri thức - Đề số 9 sẽ giúp học sinh làm quen với cấu trúc đề thi, rèn luyện kỹ năng giải toán và tự tin hơn khi bước vào kỳ thi chính thức. Ngoài ra, việc giải các bài tập cũng giúp học sinh củng cố kiến thức đã học và phát hiện ra những lỗ hổng kiến thức để khắc phục kịp thời.
Đề kiểm tra học kì 2 Toán 3 Kết nối tri thức - Đề số 9 là một tài liệu học tập hữu ích cho học sinh lớp 3. Chúc các em học sinh ôn tập tốt và đạt kết quả cao trong kỳ thi sắp tới!