Phân tích Đề Kiểm Tra Toán 12 – Trường THPT Trần Phú (2017-2018): Chuyên đề Ứng dụng Đạo hàm Khảo sát Hàm số
Đề kiểm tra một tiết môn Toán lớp 12 của trường THPT Trần Phú – Hoàn Kiếm, Hà Nội, năm học 2017-2018, tập trung vào chuyên đề “Ứng dụng của đạo hàm để khảo sát và vẽ đồ thị hàm số” – một nội dung trọng tâm của chương 1 Giải tích 12. Đề thi có cấu trúc 25 câu hỏi trắc nghiệm, với thời gian làm bài 45 phút, cho thấy yêu cầu thí sinh cần nắm vững kiến thức lý thuyết và kỹ năng giải quyết bài tập một cách nhanh chóng, chính xác.
Dưới đây là phân tích chi tiết một số câu hỏi trích dẫn từ đề thi, cùng với nhận xét về mức độ và phương pháp tiếp cận:
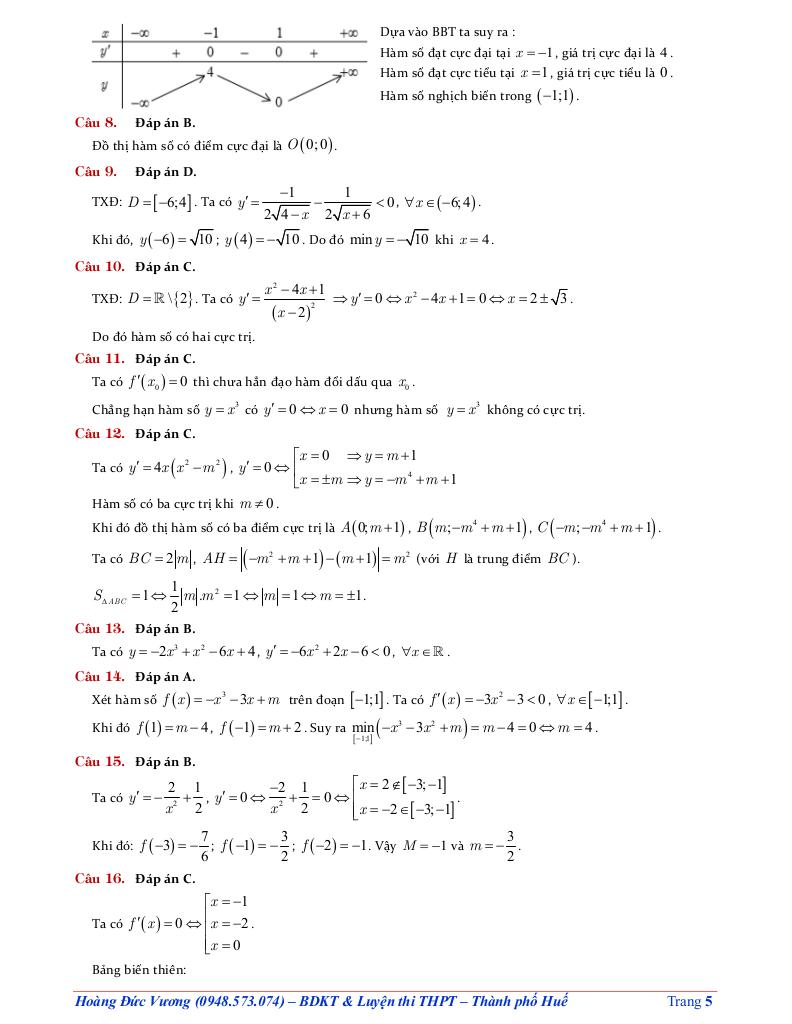
Nhận xét: Câu hỏi này kiểm tra khả năng vận dụng các kiến thức về điều kiện cực trị của hàm số, khoảng đơn điệu và giá trị cực trị. Để giải quyết, thí sinh cần tính đạo hàm bậc nhất, tìm các điểm nghi ngờ cực trị, xét dấu đạo hàm để xác định khoảng đồng biến, nghịch biến và kết luận về cực trị. Đây là một câu hỏi điển hình, đòi hỏi sự hiểu biết sâu sắc về mối liên hệ giữa đạo hàm và tính chất của hàm số.
Nhận xét: Câu hỏi này tập trung vào các điều kiện cần và đủ để hàm số đạt cực trị, cũng như các trường hợp đặc biệt. Lựa chọn A là phát biểu sai, vì để hàm số đạt cực trị tại một điểm, điểm đó phải nằm trong tập xác định của hàm số và đạo hàm phải đổi dấu khi đi qua điểm đó (hoặc không tồn tại đạo hàm nhưng đổi dấu). Câu hỏi này đòi hỏi thí sinh phải nắm vững định nghĩa và các định lý liên quan đến cực trị hàm số.
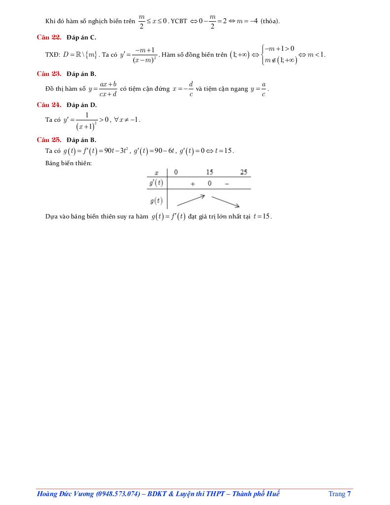
Nhận xét: Đây là một câu hỏi khó, đòi hỏi thí sinh phải kết hợp kiến thức về đạo hàm, khoảng nghịch biến và điều kiện để hàm số xác định. Để giải quyết, cần tìm tập xác định của hàm số, tính đạo hàm, xét dấu đạo hàm để xác định khoảng nghịch biến, và sử dụng điều kiện về độ dài đoạn [a; b] để tìm giá trị của m. Câu hỏi này kiểm tra khả năng phân tích và tổng hợp kiến thức của thí sinh.
Đánh giá chung:
Đề thi có độ khó tương đối, phân loại rõ ràng học sinh. Các câu hỏi không chỉ kiểm tra kiến thức lý thuyết mà còn yêu cầu thí sinh phải vận dụng linh hoạt các kỹ năng giải quyết bài tập. Chuyên đề về ứng dụng đạo hàm để khảo sát hàm số là một trong những chuyên đề quan trọng trong chương trình Giải tích 12, và đề thi này đã phản ánh đúng tầm quan trọng đó. Để đạt kết quả tốt trong các bài kiểm tra tương tự, học sinh cần nắm vững định nghĩa, định lý, và các kỹ thuật giải quyết bài tập liên quan đến đạo hàm và cực trị hàm số.






