Logo Header
  1. Môn Toán
  2. đề kiểm tra 1 tiết đại số và giải tích 11 chương 2 trường mộ đức 2 – quảng ngãi

đề kiểm tra 1 tiết đại số và giải tích 11 chương 2 trường mộ đức 2 – quảng ngãi

Bạn đang xem tài liệu đề kiểm tra 1 tiết đại số và giải tích 11 chương 2 trường mộ đức 2 – quảng ngãi được biên soạn theo toán math mới nhất. Tài liệu này hệ thống hóa kiến thức một cách khoa học, phù hợp cho mọi lộ trình học từ cơ bản đến nâng cao. Hãy khai thác triệt để nội dung để bứt phá điểm số và tự tin chinh phục mọi kỳ thi nhé!
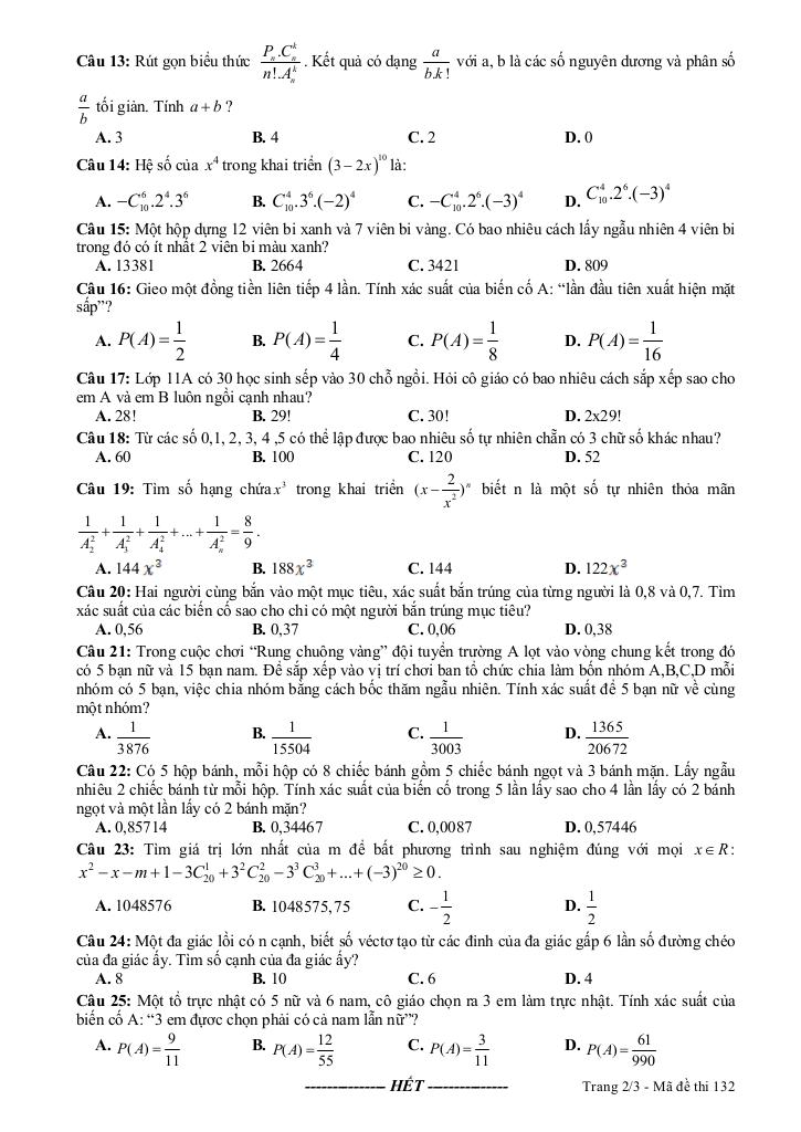
## Phân tích Đề Kiểm Tra 1 Tiết Đại Số và Giải Tích 11 – Chương 2: Tổ Hợp và Xác Suất (Trường THPT Mộ Đức 2, Quảng Ngãi – Mã Đề 132) Đề kiểm tra 1 tiết môn Đại Số và Giải Tích 11, chương 2 của trường THPT Mộ Đức 2, tỉnh Quảng Ngãi (mã đề 132) là một đề thi trắc nghiệm với cấu trúc khá điển hình, bao gồm 25 câu hỏi, được thiết kế trong thời gian 45 phút. Đề tập trung đánh giá kiến thức và kỹ năng của học sinh trong hai chủ đề quan trọng: Tổ hợp và Xác suất. Việc cung cấp đáp án đi kèm là một điểm cộng, hỗ trợ quá trình tự học và ôn tập của học sinh. Dưới đây là phân tích chi tiết hơn về một số câu hỏi tiêu biểu được trích dẫn từ đề thi:

1. Bài toán về đa giác lồi và số véctơ/đường chéo:

Câu hỏi này đòi hỏi học sinh phải nắm vững kiến thức về:

  • Số lượng đường chéo của một đa giác lồi n cạnh: n(n-3)/2
  • Số lượng véctơ tạo thành từ các đỉnh của đa giác n cạnh: nC2 = n(n-1)/2

Việc thiết lập phương trình dựa trên mối quan hệ "số véctơ gấp 6 lần số đường chéo" và giải phương trình bậc hai để tìm n là kỹ năng cần thiết để giải quyết bài toán này. Đây là một câu hỏi đánh giá khả năng vận dụng công thức tổ hợp vào một bài toán hình học tổ hợp.

2. Bài toán về xác suất trong trò chơi "Rung chuông vàng":

Bài toán này thuộc dạng bài toán xác suất cổ điển, yêu cầu học sinh:

  • Tính tổng số cách chia 20 học sinh (5 nữ, 15 nam) vào 4 nhóm, mỗi nhóm 5 người.
  • Tính số cách chia sao cho 5 bạn nữ cùng một nhóm.
  • Tính xác suất bằng tỷ lệ giữa số kết quả thuận lợi và tổng số kết quả có thể.

Đây là một bài toán thực tế, giúp học sinh hiểu rõ hơn về ứng dụng của xác suất trong các tình huống đời sống. Việc sử dụng công thức tổ hợp để tính số cách chia là yếu tố then chốt để giải quyết bài toán.

3. Bài toán về xác suất lấy bánh ngọt/mặn từ các hộp:

Đây là một bài toán xác suất phức tạp hơn, đòi hỏi học sinh phải:

  • Tính xác suất lấy được 2 bánh ngọt từ một hộp.
  • Tính xác suất lấy được 2 bánh mặn từ một hộp.
  • Xem xét các trường hợp có thể xảy ra (4 lần lấy 2 bánh ngọt, 1 lần lấy 2 bánh mặn) và tính xác suất cho từng trường hợp.
  • Cộng các xác suất của các trường hợp để tìm ra xác suất cuối cùng.

Bài toán này kiểm tra khả năng phân tích và giải quyết vấn đề của học sinh, cũng như khả năng áp dụng các quy tắc xác suất (quy tắc cộng xác suất, quy tắc nhân xác suất) một cách linh hoạt.

Đánh giá chung:

Nhìn chung, đề kiểm tra này có độ khó vừa phải, bao gồm các câu hỏi từ cơ bản đến nâng cao, giúp đánh giá toàn diện kiến thức và kỹ năng của học sinh về tổ hợp và xác suất. Các bài toán được trích dẫn thể hiện sự đa dạng trong cách tiếp cận và vận dụng kiến thức, khuyến khích học sinh tư duy logic và sáng tạo. Việc cung cấp file WORD cho giáo viên cũng là một điểm cộng, tạo điều kiện thuận lợi cho việc sử dụng đề thi trong quá trình giảng dạy.

Lưu ý: Đề thi trắc nghiệm có thể hạn chế khả năng đánh giá sâu sắc về quá trình suy luận và giải quyết vấn đề của học sinh. Do đó, việc kết hợp với các bài tập tự luận và các hoạt động thảo luận nhóm có thể giúp giáo viên đánh giá một cách toàn diện hơn năng lực của học sinh.

Chinh phục đỉnh cao Toán 11 và đặt nền móng vững chắc cho cánh cửa Đại học với nội dung đề kiểm tra 1 tiết đại số và giải tích 11 chương 2 trường mộ đức 2 – quảng ngãi trong chuyên mục Sách bài tập Toán 11 trên nền tảng toán math! Bộ bài tập lý thuyết toán thpt, được biên soạn chuyên sâu, bám sát chặt chẽ chương trình Toán lớp 11 và định hướng các kỳ thi quan trọng, cam kết tối ưu hóa toàn diện quá trình ôn luyện. Qua đó, học sinh không chỉ làm chủ kiến thức phức tạp mà còn rèn luyện tư duy giải quyết vấn đề, sẵn sàng cho các kỳ thi và chương trình đại học, nhờ phương pháp tiếp cận trực quan, logic và mang lại hiệu quả học tập vượt trội.
images-post/de-kiem-tra-1-tiet-dai-so-va-giai-tich-11-chuong-2-truong-mo-duc-2-quang-ngai-1.jpgimages-post/de-kiem-tra-1-tiet-dai-so-va-giai-tich-11-chuong-2-truong-mo-duc-2-quang-ngai-2.jpgimages-post/de-kiem-tra-1-tiet-dai-so-va-giai-tich-11-chuong-2-truong-mo-duc-2-quang-ngai-3.jpg

File đề kiểm tra 1 tiết đại số và giải tích 11 chương 2 trường mộ đức 2 – quảng ngãi PDF Chi Tiết

TÌM KIẾM THEO TỪ KHÓA