Đề kiểm tra 1 tiết Giải tích & Hình học 11 – Hàm số lượng giác và Phương trình lượng giác (Trường THPT Thị xã Quảng Trị, năm học 2019-2020): Đánh giá chi tiết và Phân tích cấu trúc
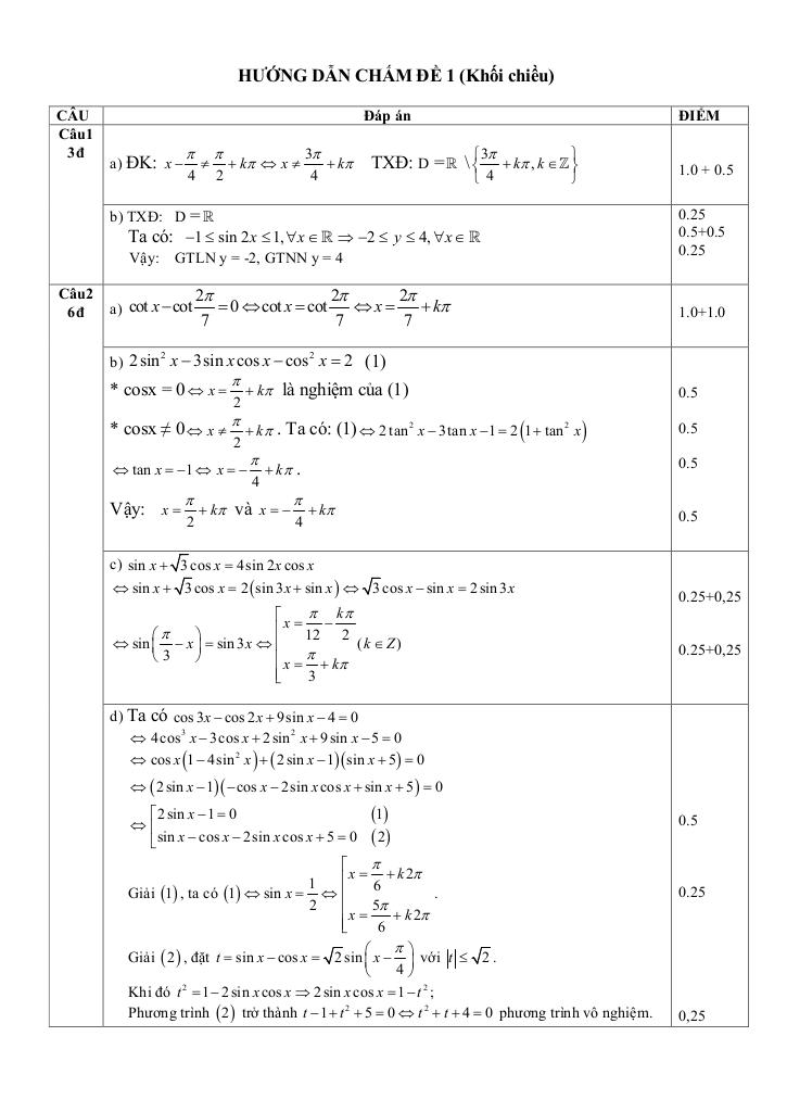
Bài viết này cung cấp đánh giá chi tiết về đề kiểm tra 1 tiết môn Giải tích & Hình học 11, chương 1 (Hàm số lượng giác và Phương trình lượng giác) của trường THPT Thị xã Quảng Trị, năm học 2019-2020. Đề thi được thiết kế dưới dạng tự luận, với tổng thời gian làm bài là 45 phút. Đề thi bao gồm 4 phiên bản: 2 đề dành cho buổi sáng và 2 đề dành cho buổi chiều, cho thấy sự quan tâm đến việc đảm bảo tính khách quan và giảm thiểu tình trạng trao đổi thông tin giữa học sinh trong quá trình làm bài.
Cấu trúc đề thi bao gồm 3 bài toán, tập trung đánh giá kiến thức và kỹ năng sau:
cos3x – cos2x + mcosx = 1 có đúng 7 nghiệm phân biệt thuộc khoảng (-π/2; 2π). Đây là một bài toán điển hình, đòi hỏi học sinh phải vận dụng linh hoạt các công thức lượng giác, kỹ năng biến đổi phương trình và hiểu rõ về tính tuần hoàn của hàm lượng giác để xác định số nghiệm. Độ khó của bài toán được đánh giá là cao, đòi hỏi tư duy phân tích và kỹ năng giải quyết vấn đề tốt.y = 2(cosx)^2 – 3. Đây là một bài toán cơ bản về khảo sát hàm số lượng giác, đòi hỏi học sinh nắm vững kiến thức về miền giá trị của hàm cosin và các phép biến đổi hàm số. Độ khó của bài toán được đánh giá là trung bình, phù hợp để kiểm tra khả năng áp dụng kiến thức vào giải quyết bài toán thực tế.y = cot(x – π/4). Đây là một bài toán kiểm tra kiến thức về điều kiện xác định của hàm cotangent. Học sinh cần nhớ rằng hàm cotangent xác định khi và chỉ khi sin(x – π/4) ≠ 0. Độ khó của bài toán được đánh giá là dễ, nhằm kiểm tra kiến thức nền tảng của học sinh.Nhìn chung, đề thi có sự phân hóa rõ ràng về độ khó, từ các bài toán cơ bản đến các bài toán nâng cao, giúp đánh giá một cách toàn diện năng lực của học sinh. Việc đề thi tập trung vào các chủ đề quan trọng như giải phương trình lượng giác, khảo sát hàm số và xác định tập xác định là phù hợp với mục tiêu của chương trình học.
Đặc biệt, đề thi có kèm theo lời giải chi tiết và hướng dẫn chấm, đây là một điểm cộng lớn, giúp học sinh và giáo viên có thể tự đánh giá kết quả và rút kinh nghiệm trong quá trình dạy và học.
Tài liệu tham khảo: Đề thi và lời giải chi tiết có sẵn dưới dạng file WORD, hỗ trợ quý thầy cô trong công tác giảng dạy và ôn tập: TẢI XUỐNG









