Logo Header
  1. Môn Toán
  2. đề kiểm tra 1 tiết giải tích 12 chương 1 (hàm số) năm học 2017 – 2018 trường thpt chuyên long an

đề kiểm tra 1 tiết giải tích 12 chương 1 (hàm số) năm học 2017 – 2018 trường thpt chuyên long an

Bạn đang xem tài liệu đề kiểm tra 1 tiết giải tích 12 chương 1 (hàm số) năm học 2017 – 2018 trường thpt chuyên long an được biên soạn theo soạn toán mới nhất. Tài liệu này hệ thống hóa kiến thức một cách khoa học, phù hợp cho mọi lộ trình học từ cơ bản đến nâng cao. Hãy khai thác triệt để nội dung để bứt phá điểm số và tự tin chinh phục mọi kỳ thi nhé!

Phân tích Đề Kiểm Tra 1 Tiết Giải Tích 12 – Chương Hàm Số (Năm học 2017-2018, THPT Chuyên Long An)

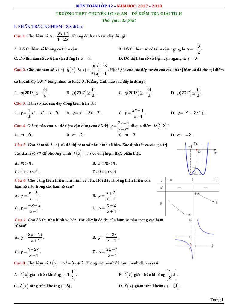
Đề kiểm tra 1 tiết Giải tích 12 của trường THPT Chuyên Long An, năm học 2017-2018, tập trung vào chương Hàm số, là một đề thi có cấu trúc khá điển hình, bao gồm 22 câu hỏi trắc nghiệm và 1 bài toán tự luận, với thời gian làm bài 45 phút. Điểm đặc biệt của đề thi này là đầy đủ đáp án và lời giải chi tiết, tạo điều kiện thuận lợi cho học sinh tự học và ôn tập.

Đề thi đánh giá khả năng nắm vững kiến thức cơ bản về hàm số, bao gồm các nội dung như:

  • Tìm tiệm cận của hàm số: Câu hỏi về hàm số y = (3x + 1)/(1 – 2x) kiểm tra khả năng xác định tiệm cận ngang và tiệm cận đứng của hàm số hữu tỉ. Đây là một kiến thức trọng tâm trong chương trình Giải tích 12.
  • Bài toán tối ưu: Bài toán về sợi dây dài 6m được uốn thành tam giác đều và hình vuông là một ví dụ điển hình của bài toán tối ưu hóa. Đề bài yêu cầu học sinh vận dụng kiến thức về diện tích hình học, thiết lập hàm số và tìm giá trị nhỏ nhất của hàm số đó.
  • Bảng biến thiên và cực trị của hàm số: Câu hỏi dựa trên bảng biến thiên của hàm số kiểm tra khả năng đọc hiểu và phân tích thông tin từ bảng biến thiên để xác định các điểm cực trị, giá trị cực đại, giá trị cực tiểu của hàm số.

Đánh giá chi tiết một số câu hỏi trích dẫn:

  1. Câu hỏi về tiệm cận: Việc lựa chọn đáp án đúng (C. Đồ thị hàm số có tiệm cận đứng là x = 1) đòi hỏi học sinh phải hiểu rõ điều kiện để hàm số có tiệm cận đứng (mẫu số bằng 0) và tiệm cận ngang (tỉ số giữa hệ số cao nhất của tử và mẫu). Các đáp án A, B, và D đều thể hiện sự hiểu sai về khái niệm tiệm cận.
  2. Bài toán tối ưu: Bài toán này yêu cầu học sinh thiết lập hàm số diện tích S theo cạnh của tam giác đều (hoặc cạnh của hình vuông). Việc giải bài toán này đòi hỏi kiến thức về công thức tính diện tích tam giác đều và hình vuông, cũng như kỹ năng giải phương trình bậc hai để tìm giá trị tối ưu.
  3. Câu hỏi về bảng biến thiên: Việc xác định đúng đáp án dựa trên bảng biến thiên đòi hỏi học sinh phải nắm vững các khái niệm về điểm cực đại, điểm cực tiểu, giá trị cực đại, giá trị cực tiểu và cách xác định chúng từ bảng biến thiên.

Nhận xét chung:

Đề thi có độ khó vừa phải, phù hợp với trình độ của học sinh chuyên Toán. Các câu hỏi được thiết kế đa dạng, bao gồm cả lý thuyết và bài tập vận dụng, giúp đánh giá toàn diện kiến thức của học sinh về chương Hàm số. Việc cung cấp file WORD cho giáo viên là một điểm cộng, giúp giáo viên dễ dàng sử dụng đề thi trong quá trình giảng dạy và kiểm tra.

Đề thi này là một tài liệu tham khảo hữu ích cho học sinh và giáo viên trong quá trình ôn tập và giảng dạy chương Hàm số lớp 12.

Chinh phục điểm cao Kỳ thi Tốt nghiệp THPT Quốc gia môn Toán, rộng mở cánh cửa Đại học với nội dung đề kiểm tra 1 tiết giải tích 12 chương 1 (hàm số) năm học 2017 – 2018 trường thpt chuyên long an trong chuyên mục giải sgk toán 12 trên nền tảng soạn toán! Bộ bài tập lý thuyết toán thpt, được biên soạn chuyên sâu, bám sát cấu trúc đề thi và chương trình Toán 12, cam kết tối ưu hóa toàn diện lộ trình ôn luyện. Qua đó, học sinh không chỉ làm chủ mọi dạng bài thi mà còn trang bị chiến thuật làm bài hiệu quả, tự tin đạt kết quả đột phá, tạo nền tảng vững chắc cho Kỳ thi Tốt nghiệp THPT Quốc gia và hành trang vững vàng vào đại học, nhờ phương pháp tiếp cận trực quan, khoa học và mang lại hiệu quả học tập vượt trội.
images-post/de-kiem-tra-1-tiet-giai-tich-12-chuong-1-ham-so-nam-hoc-2017-2018-truong-thpt-chuyen-long-an-1.jpgimages-post/de-kiem-tra-1-tiet-giai-tich-12-chuong-1-ham-so-nam-hoc-2017-2018-truong-thpt-chuyen-long-an-2.jpgimages-post/de-kiem-tra-1-tiet-giai-tich-12-chuong-1-ham-so-nam-hoc-2017-2018-truong-thpt-chuyen-long-an-3.jpgimages-post/de-kiem-tra-1-tiet-giai-tich-12-chuong-1-ham-so-nam-hoc-2017-2018-truong-thpt-chuyen-long-an-4.jpgimages-post/de-kiem-tra-1-tiet-giai-tich-12-chuong-1-ham-so-nam-hoc-2017-2018-truong-thpt-chuyen-long-an-5.jpgimages-post/de-kiem-tra-1-tiet-giai-tich-12-chuong-1-ham-so-nam-hoc-2017-2018-truong-thpt-chuyen-long-an-6.jpg

File đề kiểm tra 1 tiết giải tích 12 chương 1 (hàm số) năm học 2017 – 2018 trường thpt chuyên long an PDF Chi Tiết

TÌM KIẾM THEO TỪ KHÓA