Logo Header
  1. Môn Toán
  2. đề kiểm tra 1 tiết giải tích 12 chương 3 năm học 2016 – 2017 trường thpt phan chu trinh – đăk lăk

đề kiểm tra 1 tiết giải tích 12 chương 3 năm học 2016 – 2017 trường thpt phan chu trinh – đăk lăk

Bạn đang xem tài liệu đề kiểm tra 1 tiết giải tích 12 chương 3 năm học 2016 – 2017 trường thpt phan chu trinh – đăk lăk được biên soạn theo toán math mới nhất. Tài liệu này hệ thống hóa kiến thức một cách khoa học, phù hợp cho mọi lộ trình học từ cơ bản đến nâng cao. Hãy khai thác triệt để nội dung để bứt phá điểm số và tự tin chinh phục mọi kỳ thi nhé!

Phân tích Đề Kiểm Tra 1 Tiết Giải Tích 12 – Chương 3 (Năm học 2016-2017, THPT Phan Chu Trinh, Đăk Lăk)

Đề kiểm tra 1 tiết Giải tích 12 chương 3 của trường THPT Phan Chu Trinh, Đăk Lăk, năm học 2016-2017 là một đề thi đánh giá kiến thức trọng tâm về nguyên hàm, tích phân và ứng dụng của chúng. Đề thi có cấu trúc gồm 25 câu hỏi trắc nghiệm, được thiết kế trong thời gian 45 phút, đòi hỏi học sinh phải nắm vững lý thuyết và kỹ năng giải quyết bài toán một cách nhanh chóng và chính xác. Điểm đáng chú ý là đề thi đã có đáp án, tạo điều kiện thuận lợi cho việc tự học và ôn tập.

Nhìn chung, đề thi có độ khó vừa phải, tập trung vào việc vận dụng kiến thức vào các bài toán thực tế, giúp học sinh hiểu rõ hơn về ý nghĩa và tầm quan trọng của tích phân trong việc giải quyết các vấn đề liên quan đến diện tích, quãng đường, và các đại lượng vật lý khác.

Dưới đây là phân tích chi tiết hơn về một số câu hỏi tiêu biểu trong đề thi:

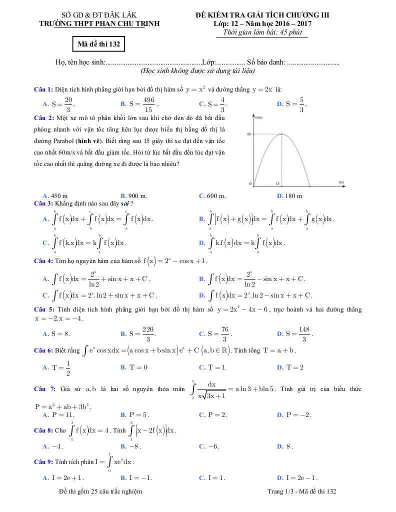
  1. Bài toán về Vận Tốc và Quãng Đường: Câu hỏi về xe mô tô với vận tốc tăng theo hàm bậc hai (đồ thị Parabol) là một ví dụ điển hình về ứng dụng của tích phân để tính quãng đường đi được. Học sinh cần xác định được hàm vận tốc, sau đó tính tích phân của hàm vận tốc trong khoảng thời gian cho trước để tìm ra quãng đường. Bài toán này đòi hỏi học sinh phải hiểu rõ mối liên hệ giữa vận tốc, gia tốc, và quãng đường, cũng như kỹ năng tính tích phân cơ bản.
  2. Bài toán về Diện Tích Hình Phẳng: Câu hỏi về mảnh vườn hình chữ nhật và giải đất trồng hoa giới hạn bởi đường trung bình và đường hình sin là một bài toán thực tế về tính diện tích hình phẳng. Học sinh cần xác định được phương trình của đường cong hình sin, sau đó tính diện tích hình phẳng giới hạn bởi các đường này bằng phương pháp tích phân. Bài toán này đòi hỏi học sinh phải có kỹ năng vẽ đồ thị hàm số, xác định điểm giao nhau của các đường cong, và tính tích phân xác định.
  3. Bài toán về Diện Tích Giới Hạn Bởi Hai Đồ Thị: Câu hỏi về diện tích hình phẳng giới hạn bởi hai đồ thị hàm số (C1) và (C2) là một bài toán nâng cao hơn, đòi hỏi học sinh phải có khả năng phân tích và so sánh hai hàm số để xác định được khoảng tích phân và thứ tự của các hàm số. Việc tìm giá trị lớn nhất và nhỏ nhất của diện tích S khi m thay đổi trong khoảng [1; 3] đòi hỏi học sinh phải sử dụng kiến thức về đạo hàm và cực trị của hàm số.

Đánh giá chung:

  • Đề thi bám sát chương trình học, tập trung vào các kiến thức và kỹ năng trọng tâm của chương 3.
  • Các câu hỏi được trình bày rõ ràng, dễ hiểu, và có tính ứng dụng cao.
  • Đề thi có độ phân hóa tốt, giúp đánh giá được mức độ nắm vững kiến thức của học sinh.
  • Việc có đáp án đi kèm là một lợi thế lớn, giúp học sinh tự đánh giá và cải thiện kết quả học tập.

Gợi ý ôn tập:

Để đạt kết quả tốt trong các bài kiểm tra tương tự, học sinh cần:

  • Nắm vững định nghĩa và các tính chất của nguyên hàm, tích phân.
  • Luyện tập các kỹ năng tính tích phân cơ bản và nâng cao.
  • Hiểu rõ các ứng dụng của tích phân trong việc giải quyết các bài toán thực tế.
  • Giải nhiều bài tập trắc nghiệm để làm quen với các dạng bài và rèn luyện kỹ năng làm bài nhanh chóng và chính xác.
Chinh phục điểm cao Kỳ thi Tốt nghiệp THPT Quốc gia môn Toán, rộng mở cánh cửa Đại học với nội dung đề kiểm tra 1 tiết giải tích 12 chương 3 năm học 2016 – 2017 trường thpt phan chu trinh – đăk lăk trong chuyên mục bài tập toán 12 trên nền tảng toán math! Bộ bài tập toán trung học phổ thông, được biên soạn chuyên sâu, bám sát cấu trúc đề thi và chương trình Toán 12, cam kết tối ưu hóa toàn diện lộ trình ôn luyện. Qua đó, học sinh không chỉ làm chủ mọi dạng bài thi mà còn trang bị chiến thuật làm bài hiệu quả, tự tin đạt kết quả đột phá, tạo nền tảng vững chắc cho Kỳ thi Tốt nghiệp THPT Quốc gia và hành trang vững vàng vào đại học, nhờ phương pháp tiếp cận trực quan, khoa học và mang lại hiệu quả học tập vượt trội.
images-post/de-kiem-tra-1-tiet-giai-tich-12-chuong-3-nam-hoc-2016-2017-truong-thpt-phan-chu-trinh-dak-lak-1.jpgimages-post/de-kiem-tra-1-tiet-giai-tich-12-chuong-3-nam-hoc-2016-2017-truong-thpt-phan-chu-trinh-dak-lak-2.jpgimages-post/de-kiem-tra-1-tiet-giai-tich-12-chuong-3-nam-hoc-2016-2017-truong-thpt-phan-chu-trinh-dak-lak-3.jpgimages-post/de-kiem-tra-1-tiet-giai-tich-12-chuong-3-nam-hoc-2016-2017-truong-thpt-phan-chu-trinh-dak-lak-4.jpg

File đề kiểm tra 1 tiết giải tích 12 chương 3 năm học 2016 – 2017 trường thpt phan chu trinh – đăk lăk PDF Chi Tiết

TÌM KIẾM THEO TỪ KHÓA