Logo Header
  1. Môn Toán
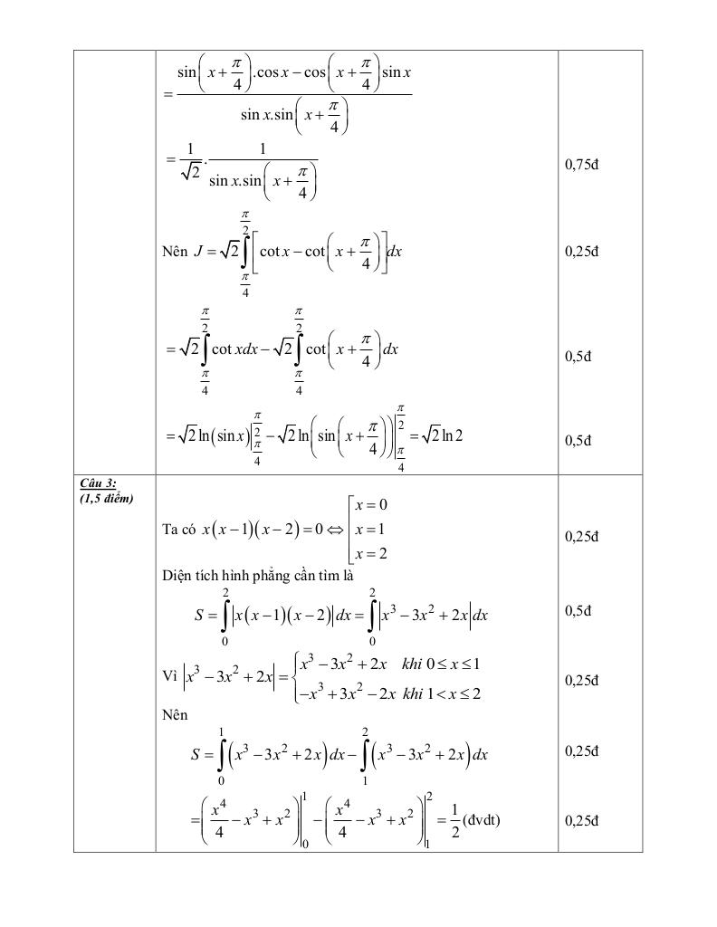
  2. đề kiểm tra giải tích 12 chương 3 trường thpt y jut – đăk lăk

đề kiểm tra giải tích 12 chương 3 trường thpt y jut – đăk lăk

Bạn đang xem tài liệu đề kiểm tra giải tích 12 chương 3 trường thpt y jut – đăk lăk được biên soạn theo học toán mới nhất. Tài liệu này hệ thống hóa kiến thức một cách khoa học, phù hợp cho mọi lộ trình học từ cơ bản đến nâng cao. Hãy khai thác triệt để nội dung để bứt phá điểm số và tự tin chinh phục mọi kỳ thi nhé!

Phân tích Đề Kiểm Tra Giải Tích 12 Chương 3 – THPT Y Jut, Đăk Lăk: Nguyên Hàm, Tích Phân và Ứng Dụng

Đề kiểm tra Giải tích 12 chương 3 của trường THPT Y Jut, Đăk Lăk, được xây dựng dưới hình thức tự luận, tập trung đánh giá mức độ nắm vững kiến thức và kỹ năng của học sinh trong chương trình Nguyên hàm – Tích phân và ứng dụng. Đây là một cấu trúc đề thi phổ biến và hiệu quả để kiểm tra khả năng vận dụng kiến thức một cách linh hoạt của học sinh.

Đánh giá chung về nội dung đề thi:

  • Tính bao quát: Việc đề thi bao phủ chương Nguyên hàm – Tích phân và ứng dụng cho thấy sự chú trọng vào việc kiểm tra toàn diện các kiến thức trọng tâm của chương. Các chủ đề có thể xuất hiện bao gồm:
    1. Nguyên hàm của hàm số (các hàm số cơ bản và phương pháp tính nguyên hàm bằng đổi biến số, tích phân từng phần).
    2. Tích phân bất định và tích phân xác định.
    3. Ứng dụng của tích phân trong tính diện tích hình phẳng.
    4. Ứng dụng của tích phân trong tính thể tích vật thể.
  • Hình thức tự luận: Hình thức tự luận đòi hỏi học sinh không chỉ nắm vững lý thuyết mà còn phải rèn luyện kỹ năng trình bày bài toán một cách logic, rõ ràng và chính xác. Điều này giúp đánh giá sâu sắc khả năng tư duy và giải quyết vấn đề của học sinh.
  • Lời giải chi tiết: Việc cung cấp lời giải chi tiết là một điểm cộng lớn. Nó không chỉ giúp học sinh tự đánh giá kết quả bài làm của mình mà còn là một nguồn tài liệu học tập quý giá để ôn tập và củng cố kiến thức.

Nhận xét và phân tích chuyên sâu:

Một đề thi chất lượng về Nguyên hàm – Tích phân cần đảm bảo sự cân bằng giữa các mức độ nhận thức: nhận biết, hiểu, vận dụng và vận dụng cao. Các câu hỏi có thể được phân loại như sau:

  • Nhận biết: Các câu hỏi kiểm tra kiến thức định nghĩa, tính chất cơ bản của nguyên hàm, tích phân.
  • Hiểu: Các câu hỏi yêu cầu học sinh giải thích, so sánh, phân tích các khái niệm liên quan đến nguyên hàm, tích phân.
  • Vận dụng: Các câu hỏi yêu cầu học sinh áp dụng các công thức, phương pháp để tính nguyên hàm, tích phân của các hàm số đơn giản.
  • Vận dụng cao: Các câu hỏi yêu cầu học sinh giải quyết các bài toán phức tạp, đòi hỏi sự kết hợp kiến thức và kỹ năng, hoặc ứng dụng tích phân để giải quyết các bài toán thực tế.

Lời khuyên cho học sinh:

Để đạt kết quả tốt trong các bài kiểm tra về Nguyên hàm – Tích phân, học sinh cần:

  • Nắm vững lý thuyết và các công thức quan trọng.
  • Luyện tập thường xuyên các bài tập với nhiều mức độ khó khác nhau.
  • Rèn luyện kỹ năng trình bày bài toán một cách rõ ràng, logic và chính xác.
  • Sử dụng lời giải chi tiết của đề thi để tự học và củng cố kiến thức.

Tóm lại, đề kiểm tra Giải tích 12 chương 3 của trường THPT Y Jut, Đăk Lăk là một đề thi được xây dựng bài bản, có tính bao quát và đánh giá được năng lực của học sinh một cách toàn diện. Việc khai thác và sử dụng hiệu quả đề thi này sẽ góp phần nâng cao chất lượng dạy và học môn Toán.

Chinh phục điểm cao Kỳ thi Tốt nghiệp THPT Quốc gia môn Toán, rộng mở cánh cửa Đại học với nội dung đề kiểm tra giải tích 12 chương 3 trường thpt y jut – đăk lăk trong chuyên mục giải bài tập toán 12 trên nền tảng học toán! Bộ bài tập lý thuyết toán thpt, được biên soạn chuyên sâu, bám sát cấu trúc đề thi và chương trình Toán 12, cam kết tối ưu hóa toàn diện lộ trình ôn luyện. Qua đó, học sinh không chỉ làm chủ mọi dạng bài thi mà còn trang bị chiến thuật làm bài hiệu quả, tự tin đạt kết quả đột phá, tạo nền tảng vững chắc cho Kỳ thi Tốt nghiệp THPT Quốc gia và hành trang vững vàng vào đại học, nhờ phương pháp tiếp cận trực quan, khoa học và mang lại hiệu quả học tập vượt trội.
images-post/de-kiem-tra-giai-tich-12-chuong-3-truong-thpt-y-jut-dak-lak-1.jpgimages-post/de-kiem-tra-giai-tich-12-chuong-3-truong-thpt-y-jut-dak-lak-2.jpgimages-post/de-kiem-tra-giai-tich-12-chuong-3-truong-thpt-y-jut-dak-lak-3.jpgimages-post/de-kiem-tra-giai-tich-12-chuong-3-truong-thpt-y-jut-dak-lak-4.jpg

File đề kiểm tra giải tích 12 chương 3 trường thpt y jut – đăk lăk PDF Chi Tiết

TÌM KIẾM THEO TỪ KHÓA