Logo Header
  1. Môn Toán
  2. kiểm tra giải tích 12 lần 1 hk2 năm 2016 – 2017 trường trần bình trọng – khánh hòa

kiểm tra giải tích 12 lần 1 hk2 năm 2016 – 2017 trường trần bình trọng – khánh hòa

Bạn đang xem tài liệu kiểm tra giải tích 12 lần 1 hk2 năm 2016 – 2017 trường trần bình trọng – khánh hòa được biên soạn theo học toán mới nhất. Tài liệu này hệ thống hóa kiến thức một cách khoa học, phù hợp cho mọi lộ trình học từ cơ bản đến nâng cao. Hãy khai thác triệt để nội dung để bứt phá điểm số và tự tin chinh phục mọi kỳ thi nhé!

Phân tích Đề Kiểm Tra Giải tích 12 – HK2 (2016-2017) – Trường THPT Trần Bình Trọng, Khánh Hòa: Đánh giá và Nhận xét Chuyên sâu

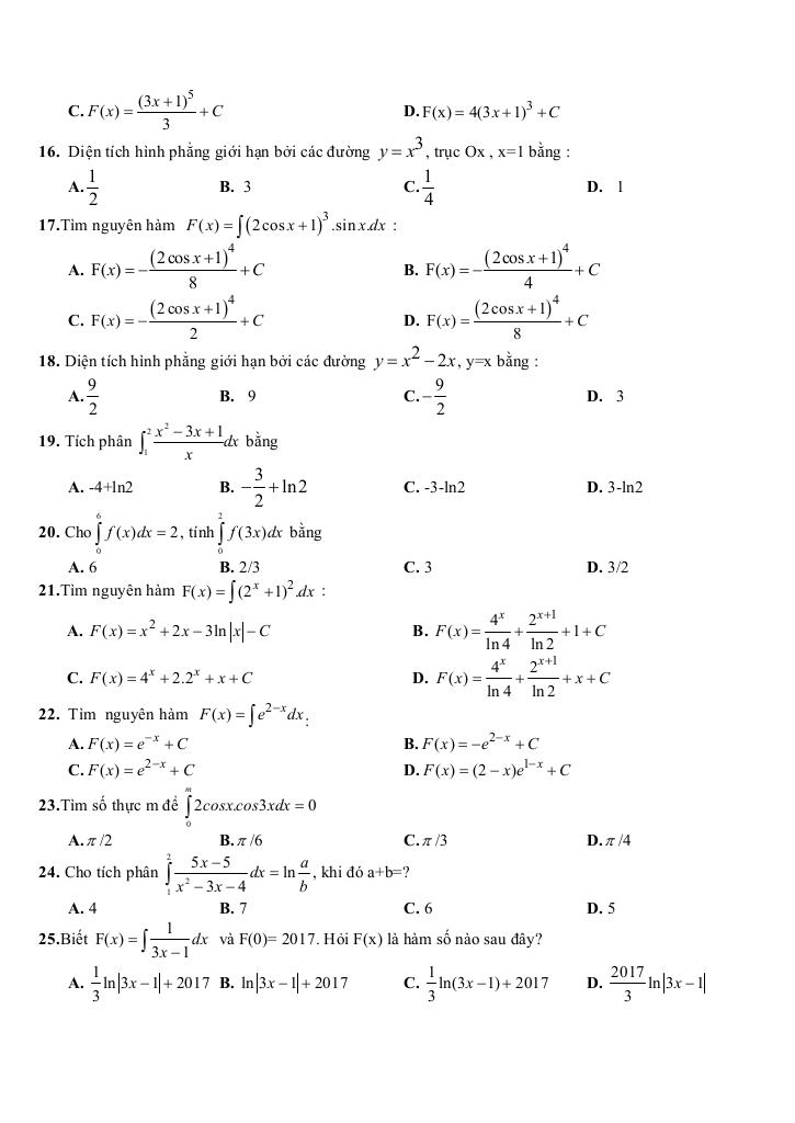
Đề kiểm tra Giải tích 12, lần 1, học kỳ 2 năm học 2016-2017 của trường THPT Trần Bình Trọng, tỉnh Khánh Hòa là một bài kiểm tra đánh giá mức độ nắm vững kiến thức chương 3: Nguyên hàm – Tích phân và ứng dụng. Với thời lượng 45 phút, đề thi tập trung vào việc kiểm tra khả năng vận dụng các khái niệm và kỹ năng cơ bản liên quan đến nguyên hàm, tích phân xác định và ứng dụng của tích phân trong tính diện tích, thể tích.

Đề thi được thiết kế dưới dạng trắc nghiệm với 25 câu hỏi, cho thấy định hướng đánh giá nhanh chóng và bao quát kiến thức của học sinh. Việc có đến 4 mã đề khác nhau là một điểm cộng, giúp giảm thiểu tình trạng gian lận và đảm bảo tính công bằng trong quá trình kiểm tra.

Nội dung chi tiết và Phân tích các câu hỏi trích dẫn:

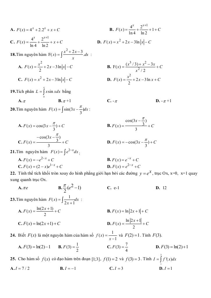
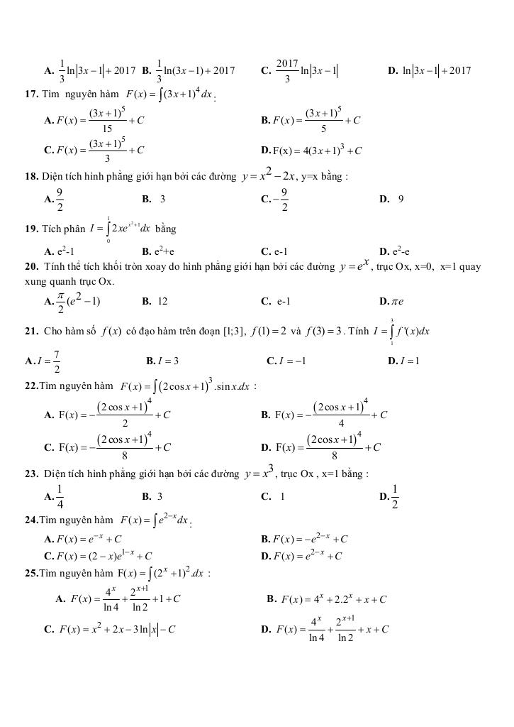
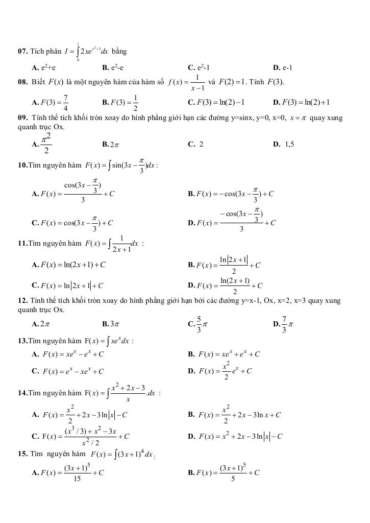
  1. Câu hỏi về thể tích khối tròn xoay: “Tính thể tích khối tròn xoay do hình phẳng giới hạn các đường y = sinx, y = 0, x = 0, x = pi quay xung quanh trục Ox.”
    Nhận xét: Đây là một câu hỏi điển hình về ứng dụng của tích phân trong tính thể tích. Học sinh cần nắm vững phương pháp tính thể tích khối tròn xoay bằng phương pháp đĩa tròn hoặc phương pháp vỏ trụ. Việc lựa chọn phương pháp phù hợp và thực hiện chính xác các phép tính tích phân là yếu tố then chốt để giải quyết câu hỏi này.
  2. Câu hỏi về diện tích hình phẳng: “Diện tích hình phẳng giới hạn bởi các đường x = 0, x = pi, y = sinx và trục Ox bằng?”
    Nhận xét: Câu hỏi này kiểm tra khả năng vận dụng tích phân xác định để tính diện tích hình phẳng. Học sinh cần xác định chính xác giới hạn tích phân và biểu thức dưới dấu tích phân. Việc hiểu rõ ý nghĩa hình học của tích phân xác định là rất quan trọng.
  3. Câu hỏi về nguyên hàm: “Tìm nguyên hàm F(x) = ∫e^(2 – x)dx.”
    Nhận xét: Đây là một câu hỏi cơ bản về tìm nguyên hàm. Học sinh cần sử dụng các quy tắc tính nguyên hàm cơ bản, đặc biệt là phương pháp đổi biến số để giải quyết bài toán này. Việc kiểm tra lại kết quả bằng phép đạo hàm là cần thiết để đảm bảo tính chính xác.

Đánh giá chung:

Nhìn chung, đề kiểm tra có cấu trúc rõ ràng, nội dung bám sát chương trình học và tập trung vào các kiến thức trọng tâm. Các câu hỏi trích dẫn cho thấy đề thi đánh giá được khả năng vận dụng kiến thức vào giải quyết các bài toán thực tế, đặc biệt là trong lĩnh vực hình học. Đề thi phù hợp với thời gian quy định và có độ khó vừa phải, đủ để phân loại học sinh.

Gợi ý cho học sinh:

  • Nắm vững các định nghĩa, định lý và công thức liên quan đến nguyên hàm, tích phân.
  • Luyện tập thường xuyên các bài toán về tính diện tích, thể tích bằng phương pháp tích phân.
  • Rèn luyện kỹ năng tính toán chính xác và kiểm tra lại kết quả.
  • Hiểu rõ ý nghĩa hình học của tích phân xác định.
Chinh phục điểm cao Kỳ thi Tốt nghiệp THPT Quốc gia môn Toán, rộng mở cánh cửa Đại học với nội dung kiểm tra giải tích 12 lần 1 hk2 năm 2016 – 2017 trường trần bình trọng – khánh hòa trong chuyên mục giải bài tập toán 12 trên nền tảng học toán! Bộ bài tập toán thpt, được biên soạn chuyên sâu, bám sát cấu trúc đề thi và chương trình Toán 12, cam kết tối ưu hóa toàn diện lộ trình ôn luyện. Qua đó, học sinh không chỉ làm chủ mọi dạng bài thi mà còn trang bị chiến thuật làm bài hiệu quả, tự tin đạt kết quả đột phá, tạo nền tảng vững chắc cho Kỳ thi Tốt nghiệp THPT Quốc gia và hành trang vững vàng vào đại học, nhờ phương pháp tiếp cận trực quan, khoa học và mang lại hiệu quả học tập vượt trội.
images-post/kiem-tra-giai-tich-12-lan-1-hk2-nam-2016-2017-truong-tran-binh-trong-khanh-hoa-01.jpgimages-post/kiem-tra-giai-tich-12-lan-1-hk2-nam-2016-2017-truong-tran-binh-trong-khanh-hoa-02.jpgimages-post/kiem-tra-giai-tich-12-lan-1-hk2-nam-2016-2017-truong-tran-binh-trong-khanh-hoa-03.jpgimages-post/kiem-tra-giai-tich-12-lan-1-hk2-nam-2016-2017-truong-tran-binh-trong-khanh-hoa-04.jpgimages-post/kiem-tra-giai-tich-12-lan-1-hk2-nam-2016-2017-truong-tran-binh-trong-khanh-hoa-05.jpgimages-post/kiem-tra-giai-tich-12-lan-1-hk2-nam-2016-2017-truong-tran-binh-trong-khanh-hoa-06.jpgimages-post/kiem-tra-giai-tich-12-lan-1-hk2-nam-2016-2017-truong-tran-binh-trong-khanh-hoa-07.jpgimages-post/kiem-tra-giai-tich-12-lan-1-hk2-nam-2016-2017-truong-tran-binh-trong-khanh-hoa-08.jpgimages-post/kiem-tra-giai-tich-12-lan-1-hk2-nam-2016-2017-truong-tran-binh-trong-khanh-hoa-09.jpgimages-post/kiem-tra-giai-tich-12-lan-1-hk2-nam-2016-2017-truong-tran-binh-trong-khanh-hoa-10.jpg

File kiểm tra giải tích 12 lần 1 hk2 năm 2016 – 2017 trường trần bình trọng – khánh hòa PDF Chi Tiết

TÌM KIẾM THEO TỪ KHÓA