Phân tích Đề Kiểm Tra 1 Tiết Giải Tích 12 – Chương 3 (Trường THPT Thạnh Hóa, Long An): Nguyên Hàm, Tích Phân và Ứng Dụng
Đề kiểm tra 1 tiết Giải tích 12 chương 3 của trường THPT Thạnh Hóa – Long An là một đề thi đánh giá kiến thức cơ bản và khả năng vận dụng các khái niệm về nguyên hàm, tích phân và ứng dụng của học sinh. Đề thi có cấu trúc gồm 18 câu hỏi trắc nghiệm và 1 bài toán tự luận, với thời gian làm bài 45 phút. Điểm đáng chú ý là đề thi được cung cấp kèm đáp án và lời giải chi tiết, đây là một nguồn tài liệu học tập vô cùng hữu ích cho học sinh tự ôn luyện và củng cố kiến thức.
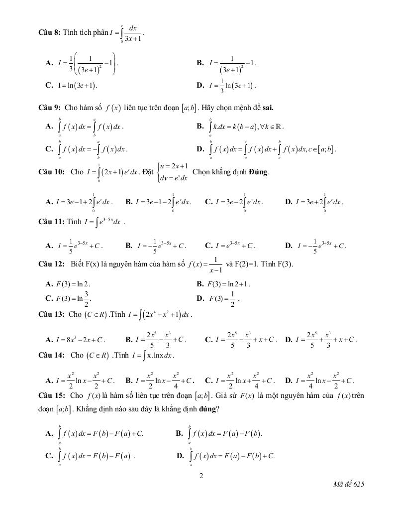
Dưới đây là phân tích chi tiết một số câu hỏi trích dẫn từ đề thi, nhằm làm rõ hơn về nội dung và mức độ khó của đề:
Nhận xét: Đây là một câu hỏi kiểm tra kiến thức cơ bản về bảng nguyên hàm của các hàm số lượng giác. Học sinh cần nắm vững công thức ∫sinxdx = -cosx + C. Lựa chọn A là đáp án đúng.
Nhận xét: Câu hỏi này kiểm tra các tính chất của tích phân. Lựa chọn A là khẳng định sai, vì tích phân của tích hai hàm số không bằng tích các tích phân của từng hàm số. Đây là một lỗi sai phổ biến mà học sinh thường mắc phải.
Nhận xét: Câu hỏi này yêu cầu học sinh vận dụng kiến thức về nguyên hàm và sử dụng điều kiện ban đầu để tìm nguyên hàm cụ thể. Ta có F(x) = ∫(1/(x-1))dx = ln|x-1| + C. Sử dụng F(2) = 1, ta tìm được C = 1 - ln|2-1| = 1. Vậy F(x) = ln|x-1| + 1. Do đó, F(3) = ln|3-1| + 1 = ln 2 + 1. Lựa chọn B là đáp án đúng.
Đánh giá chung:
Đề thi có độ khó vừa phải, tập trung vào các kiến thức cơ bản và các tính chất quan trọng của nguyên hàm, tích phân. Các câu hỏi trắc nghiệm giúp học sinh rà soát lại các công thức và định nghĩa. Bài toán tự luận yêu cầu học sinh vận dụng kiến thức để giải quyết vấn đề cụ thể. Việc đề thi có đáp án và lời giải chi tiết là một lợi thế lớn, giúp học sinh tự đánh giá năng lực và tìm ra những điểm cần cải thiện.
Đề thi này là một tài liệu tham khảo hữu ích cho học sinh ôn tập và chuẩn bị cho các kỳ kiểm tra khác. Học sinh nên tập trung vào việc nắm vững các định nghĩa, công thức và tính chất của nguyên hàm, tích phân, đồng thời luyện tập giải nhiều bài tập để nâng cao kỹ năng giải quyết vấn đề.



