Logo Header
  1. Môn Toán
  2. đề kiểm tra giải tích 12 chương 3 (nguyên hàm – tích phân) trường thpt quỳnh lưu 1 – nghệ an

đề kiểm tra giải tích 12 chương 3 (nguyên hàm – tích phân) trường thpt quỳnh lưu 1 – nghệ an

Bạn đang xem tài liệu đề kiểm tra giải tích 12 chương 3 (nguyên hàm – tích phân) trường thpt quỳnh lưu 1 – nghệ an được biên soạn theo toán mới nhất. Tài liệu này hệ thống hóa kiến thức một cách khoa học, phù hợp cho mọi lộ trình học từ cơ bản đến nâng cao. Hãy khai thác triệt để nội dung để bứt phá điểm số và tự tin chinh phục mọi kỳ thi nhé!

Phân tích Đề Kiểm tra Giải tích 12 Chương 3 (Nguyên hàm – Tích phân) – THPT Quỳnh Lưu 1, Nghệ An: Đánh giá chi tiết và nhận xét chuyên sâu

Đề kiểm tra Giải tích 12 chương 3 của trường THPT Quỳnh Lưu 1, Nghệ An là một đề thi có cấu trúc rõ ràng, bao gồm cả phần trắc nghiệm và tự luận, đánh giá toàn diện kiến thức của học sinh về nguyên hàm và tích phân. Việc đề thi được cung cấp kèm theo ma trận đề, đáp án trắc nghiệm và hướng dẫn giải tự luận là một điểm cộng lớn, hỗ trợ đắc lực cho cả giáo viên và học sinh trong quá trình ôn tập và tự học.

Cụ thể, đề thi bao gồm:

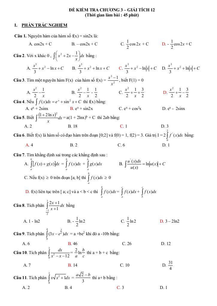
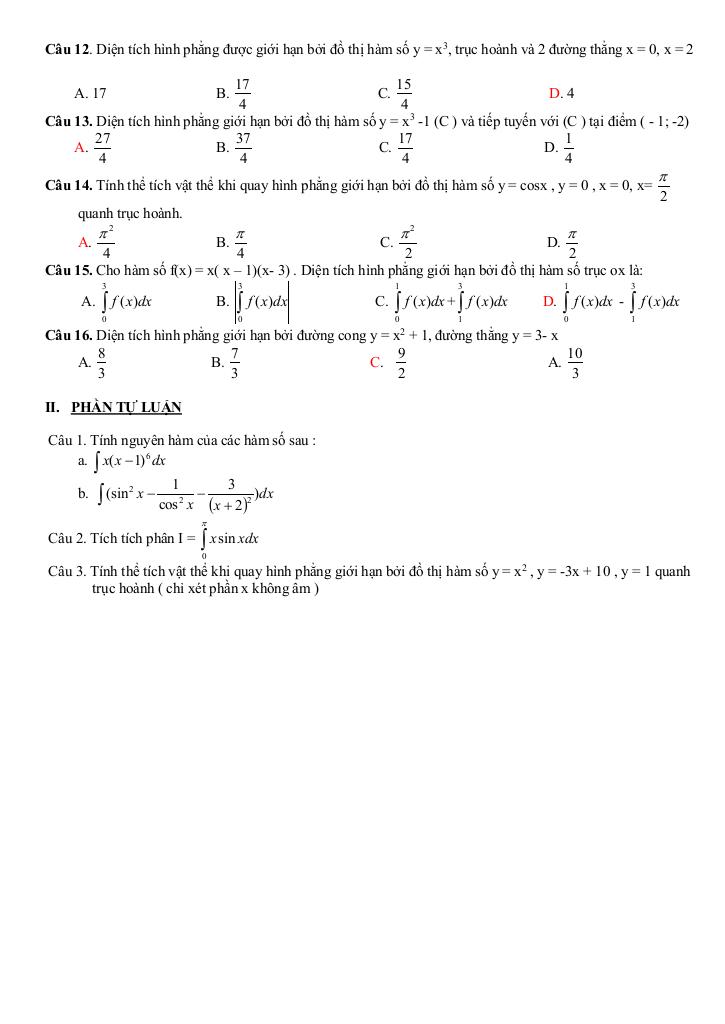
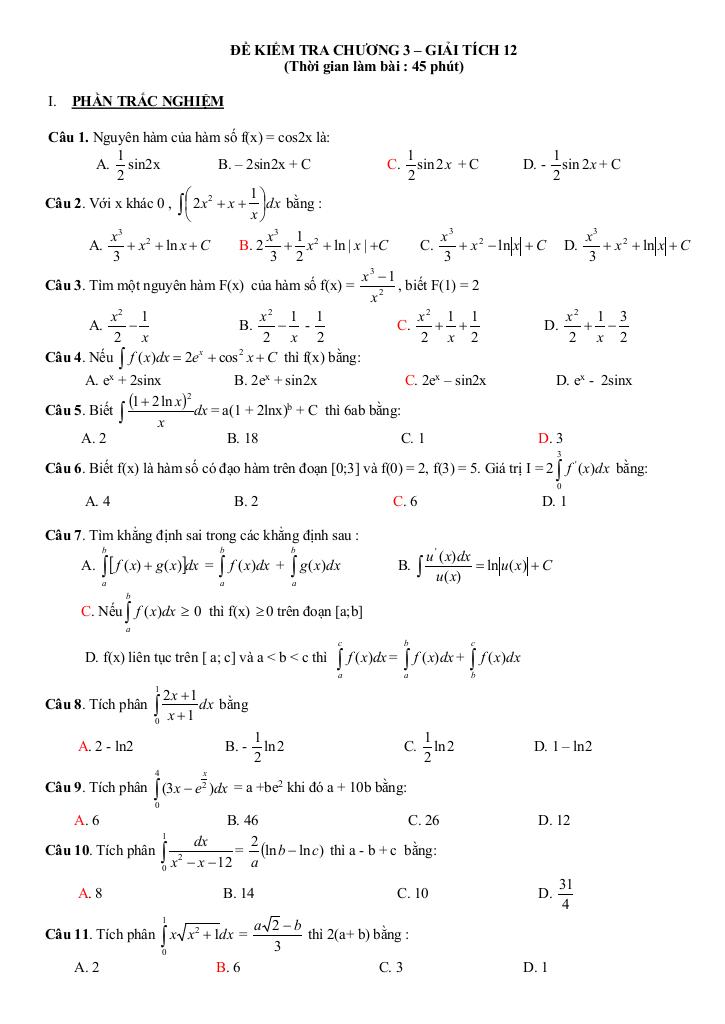
  1. Phần trắc nghiệm: 16 câu hỏi, tập trung vào việc kiểm tra khả năng nắm vững định nghĩa, tính chất của nguyên hàm, tích phân, các phương pháp tính tích phân cơ bản (đổi biến, tích phân từng phần) và ứng dụng của tích phân trong tính diện tích.
  2. Phần tự luận: 3 bài tập, đòi hỏi học sinh phải vận dụng linh hoạt kiến thức đã học để giải quyết các bài toán phức tạp hơn, thường liên quan đến việc tìm nguyên hàm, tính tích phân xác định và ứng dụng tích phân để giải quyết các bài toán thực tế.

Đánh giá chung về cấu trúc đề thi:

  • Tính bao quát: Đề thi bao phủ đầy đủ các nội dung kiến thức trọng tâm của chương Nguyên hàm – Tích phân, từ các khái niệm cơ bản đến các kỹ năng giải toán nâng cao.
  • Tính phân loại: Sự kết hợp giữa trắc nghiệm và tự luận giúp đề thi phân loại được học sinh theo mức độ nắm vững kiến thức. Câu hỏi trắc nghiệm kiểm tra kiến thức nền tảng, trong khi bài tập tự luận đòi hỏi khả năng tư duy và vận dụng kiến thức sâu sắc hơn.
  • Tính thực tiễn: Việc hướng dẫn giải bài tập tự luận giúp học sinh hiểu rõ phương pháp giải và tự tin hơn khi đối mặt với các bài toán tương tự.

Nhận xét về ma trận đề:

Ma trận đề là một công cụ quan trọng giúp giáo viên đánh giá mức độ phù hợp của đề thi với chương trình học và mục tiêu kiểm tra. Việc đề thi có ma trận đề cho thấy sự chuẩn bị kỹ lưỡng của giáo viên trong việc xây dựng đề thi, đảm bảo tính khoa học và khách quan.

Gợi ý sử dụng đề thi:

  • Đối với học sinh: Sử dụng đề thi này để tự đánh giá năng lực của bản thân, rà soát lại kiến thức còn yếu và luyện tập thêm các bài tập tương tự.
  • Đối với giáo viên: Sử dụng đề thi này làm tài liệu tham khảo để xây dựng đề thi của mình, hoặc sử dụng trực tiếp để kiểm tra kiến thức của học sinh.

Tóm lại, đề kiểm tra Giải tích 12 chương 3 của trường THPT Quỳnh Lưu 1, Nghệ An là một đề thi chất lượng, có cấu trúc rõ ràng, bao phủ đầy đủ kiến thức và kỹ năng cần thiết. Việc sử dụng đề thi này một cách hiệu quả sẽ góp phần nâng cao chất lượng dạy và học môn Toán.

Chinh phục điểm cao Kỳ thi Tốt nghiệp THPT Quốc gia môn Toán, rộng mở cánh cửa Đại học với nội dung đề kiểm tra giải tích 12 chương 3 (nguyên hàm – tích phân) trường thpt quỳnh lưu 1 – nghệ an trong chuyên mục đề toán 12 trên nền tảng toán! Bộ bài tập lý thuyết toán thpt, được biên soạn chuyên sâu, bám sát cấu trúc đề thi và chương trình Toán 12, cam kết tối ưu hóa toàn diện lộ trình ôn luyện. Qua đó, học sinh không chỉ làm chủ mọi dạng bài thi mà còn trang bị chiến thuật làm bài hiệu quả, tự tin đạt kết quả đột phá, tạo nền tảng vững chắc cho Kỳ thi Tốt nghiệp THPT Quốc gia và hành trang vững vàng vào đại học, nhờ phương pháp tiếp cận trực quan, khoa học và mang lại hiệu quả học tập vượt trội.
images-post/de-kiem-tra-giai-tich-12-chuong-3-nguyen-ham-tich-phan-truong-thpt-quynh-luu-1-nghe-an-1.jpgimages-post/de-kiem-tra-giai-tich-12-chuong-3-nguyen-ham-tich-phan-truong-thpt-quynh-luu-1-nghe-an-2.jpgimages-post/de-kiem-tra-giai-tich-12-chuong-3-nguyen-ham-tich-phan-truong-thpt-quynh-luu-1-nghe-an-3.jpgimages-post/de-kiem-tra-giai-tich-12-chuong-3-nguyen-ham-tich-phan-truong-thpt-quynh-luu-1-nghe-an-4.jpgimages-post/de-kiem-tra-giai-tich-12-chuong-3-nguyen-ham-tich-phan-truong-thpt-quynh-luu-1-nghe-an-5.jpgimages-post/de-kiem-tra-giai-tich-12-chuong-3-nguyen-ham-tich-phan-truong-thpt-quynh-luu-1-nghe-an-6.jpgimages-post/de-kiem-tra-giai-tich-12-chuong-3-nguyen-ham-tich-phan-truong-thpt-quynh-luu-1-nghe-an-7.jpg

File đề kiểm tra giải tích 12 chương 3 (nguyên hàm – tích phân) trường thpt quỳnh lưu 1 – nghệ an PDF Chi Tiết

TÌM KIẾM THEO TỪ KHÓA