Logo Header
  1. Môn Toán
  2. 9 đề kiểm tra giải tích 12 chương 3 (nguyên hàm – tích phân) trường nguyễn trung trực – bình định

9 đề kiểm tra giải tích 12 chương 3 (nguyên hàm – tích phân) trường nguyễn trung trực – bình định

Bạn đang xem tài liệu 9 đề kiểm tra giải tích 12 chương 3 (nguyên hàm – tích phân) trường nguyễn trung trực – bình định được biên soạn theo môn toán mới nhất. Tài liệu này hệ thống hóa kiến thức một cách khoa học, phù hợp cho mọi lộ trình học từ cơ bản đến nâng cao. Hãy khai thác triệt để nội dung để bứt phá điểm số và tự tin chinh phục mọi kỳ thi nhé!

Tuyển tập đề kiểm tra Giải tích 12 Chương 3: Nguyên hàm – Tích phân (Trường THPT Nguyễn Trung Trực, Bình Định) – Phân tích và Đánh giá

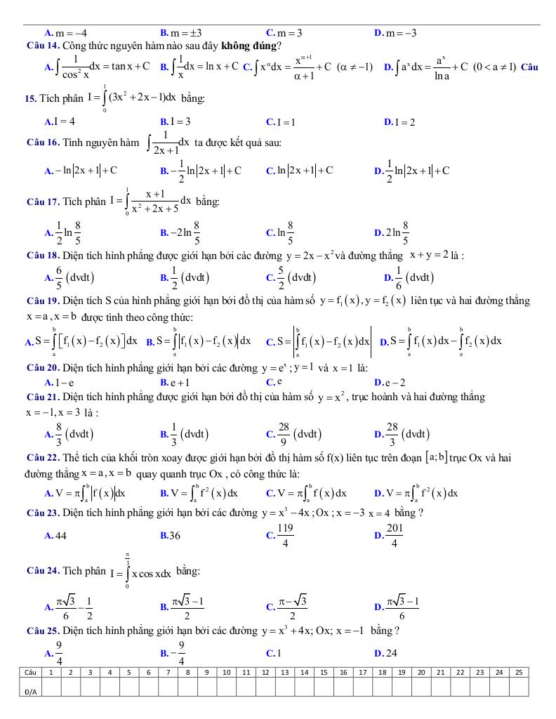
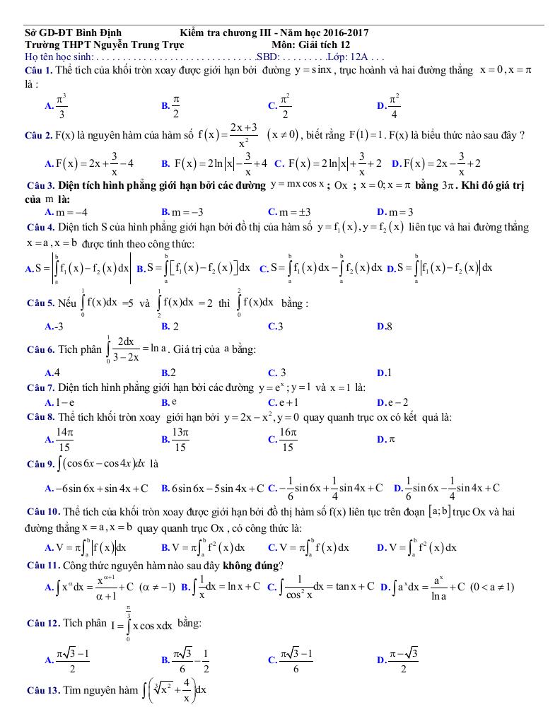
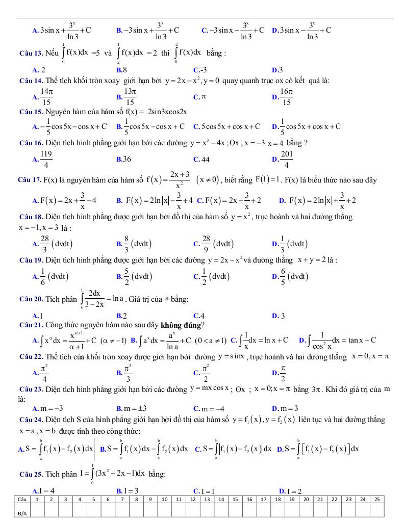
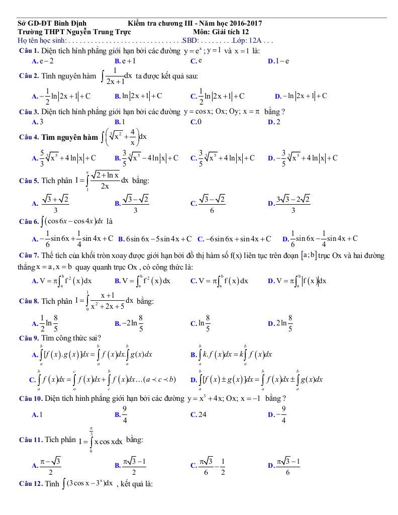
Bài viết này giới thiệu và đánh giá tuyển tập 9 đề kiểm tra môn Giải tích 12, tập trung vào chương 3 – Nguyên hàm và Tích phân, được sử dụng tại trường THPT Nguyễn Trung Trực, tỉnh Bình Định. Mỗi đề thi bao gồm 25 câu hỏi trắc nghiệm, cung cấp một nguồn tài liệu ôn tập và luyện thi quan trọng cho học sinh.

Tổng quan về cấu trúc và nội dung đề thi:

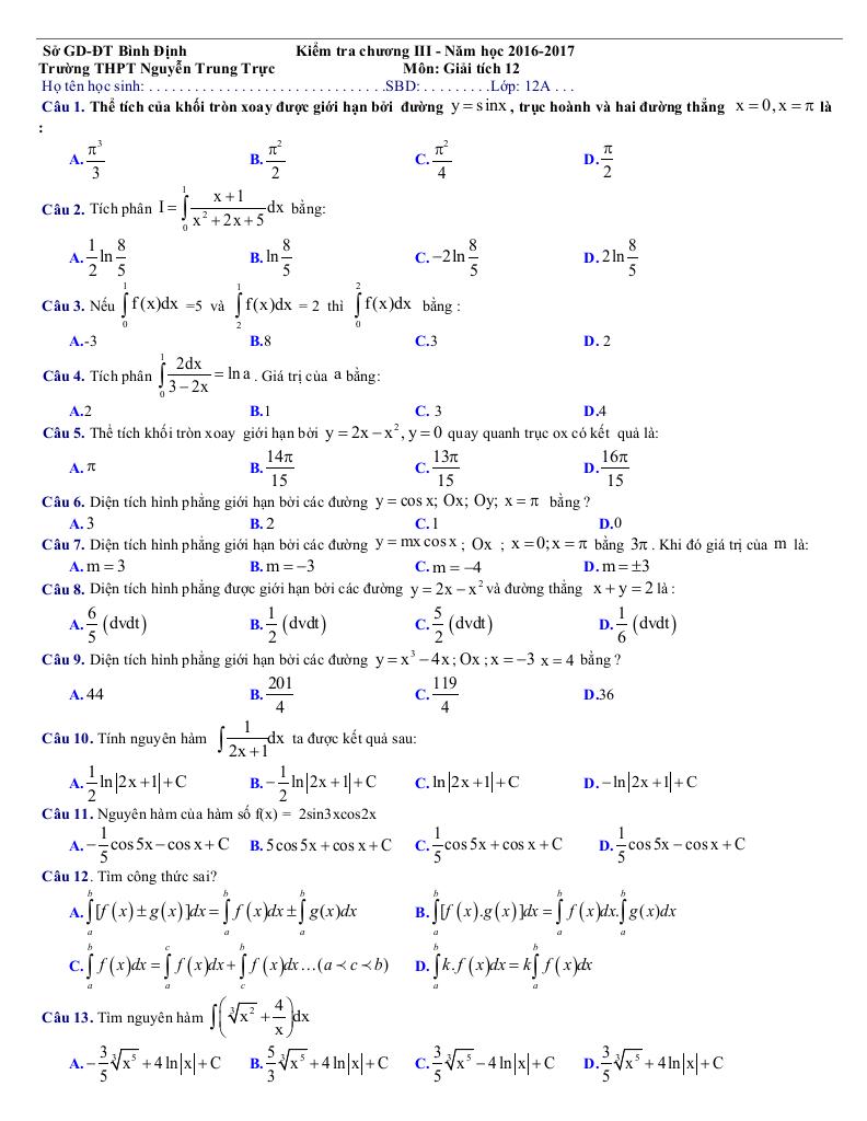
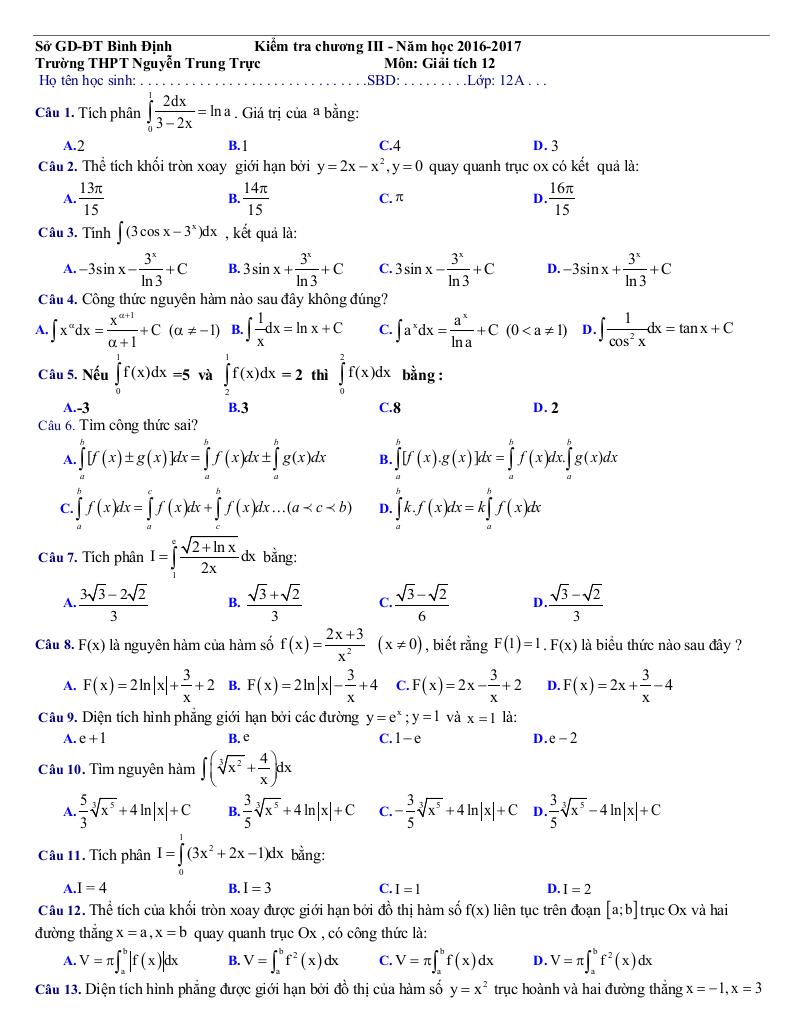
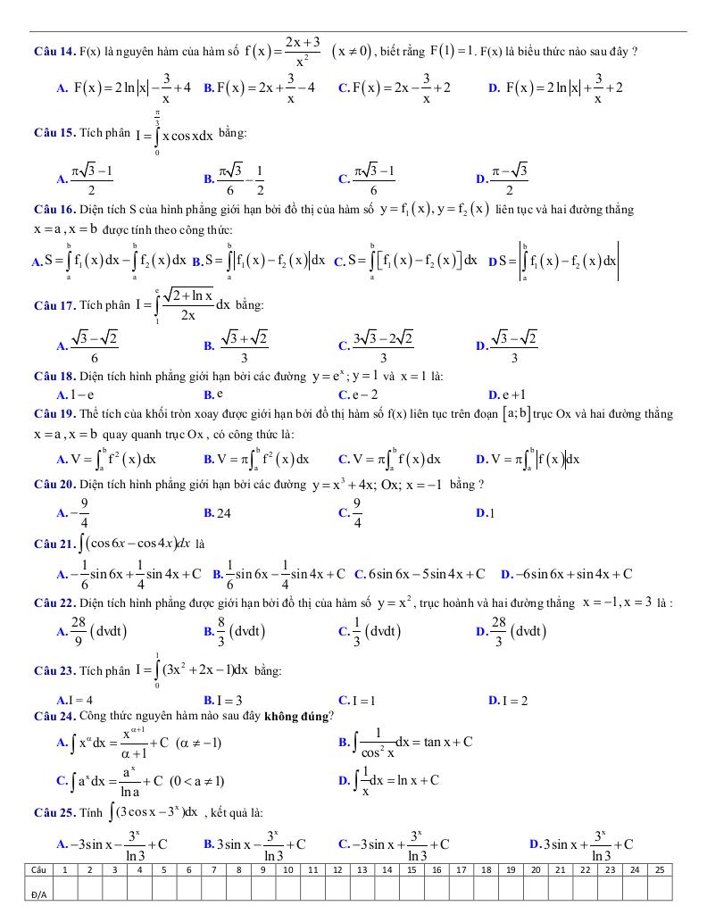
  1. Phạm vi kiến thức: Các đề thi bao phủ đầy đủ các kiến thức trọng tâm của chương Nguyên hàm – Tích phân, bao gồm:
    • Khái niệm nguyên hàm và các tính chất của nguyên hàm.
    • Các phương pháp tính nguyên hàm cơ bản (đổi biến, tích phân từng phần).
    • Tích phân bất định và tích phân xác định.
    • Ứng dụng của tích phân trong tính diện tích hình phẳng.
  2. Hình thức đề thi: Đề thi trắc nghiệm với 25 câu hỏi giúp đánh giá nhanh chóng và khách quan kiến thức của học sinh.
  3. Mức độ khó: Nhìn chung, mức độ khó của các đề thi khá đa dạng, từ dễ đến trung bình, có một số câu hỏi vận dụng cao để phân loại học sinh khá giỏi.

Đánh giá chi tiết và nhận xét:

Tuyển tập đề thi này có giá trị thực tiễn cao đối với học sinh lớp 12 đang ôn thi học kỳ hoặc chuẩn bị cho kỳ thi tốt nghiệp THPT. Dưới đây là một số nhận xét cụ thể:

  • Tính đại diện: 9 đề thi cung cấp một lượng câu hỏi đủ lớn để học sinh làm quen với nhiều dạng bài tập khác nhau, giúp đánh giá toàn diện khả năng nắm vững kiến thức.
  • Tính cập nhật: Đề thi được sử dụng tại một trường THPT có uy tín, do đó có thể phản ánh xu hướng ra đề thi hiện hành và mức độ yêu cầu của kỳ thi.
  • Tính hữu ích: Việc giải các đề thi này giúp học sinh rèn luyện kỹ năng làm bài trắc nghiệm, quản lý thời gian và phát hiện những lỗ hổng kiến thức để khắc phục kịp thời.
  • Gợi ý sử dụng:
    • Học sinh nên giải đề thi trong điều kiện thời gian quy định để làm quen với áp lực phòng thi.
    • Sau khi giải xong, cần tự đánh giá kết quả và phân tích các câu sai để rút kinh nghiệm.
    • Có thể sử dụng các đề thi này để tổ chức các buổi thi thử tại nhà hoặc trong lớp.

Kết luận:

Tuyển tập 9 đề kiểm tra Giải tích 12 chương 3 của trường THPT Nguyễn Trung Trực, Bình Định là một tài liệu ôn tập và luyện thi hữu ích cho học sinh. Việc khai thác hiệu quả nguồn tài liệu này sẽ góp phần nâng cao chất lượng học tập và kết quả thi cử của học sinh.

Chinh phục điểm cao Kỳ thi Tốt nghiệp THPT Quốc gia môn Toán, rộng mở cánh cửa Đại học với nội dung 9 đề kiểm tra giải tích 12 chương 3 (nguyên hàm – tích phân) trường nguyễn trung trực – bình định trong chuyên mục bài tập toán 12 trên nền tảng môn toán! Bộ bài tập toán thpt, được biên soạn chuyên sâu, bám sát cấu trúc đề thi và chương trình Toán 12, cam kết tối ưu hóa toàn diện lộ trình ôn luyện. Qua đó, học sinh không chỉ làm chủ mọi dạng bài thi mà còn trang bị chiến thuật làm bài hiệu quả, tự tin đạt kết quả đột phá, tạo nền tảng vững chắc cho Kỳ thi Tốt nghiệp THPT Quốc gia và hành trang vững vàng vào đại học, nhờ phương pháp tiếp cận trực quan, khoa học và mang lại hiệu quả học tập vượt trội.
images-post/9-de-kiem-tra-giai-tich-12-chuong-3-nguyen-ham-tich-phan-truong-nguyen-trung-truc-binh-dinh-01.jpgimages-post/9-de-kiem-tra-giai-tich-12-chuong-3-nguyen-ham-tich-phan-truong-nguyen-trung-truc-binh-dinh-02.jpgimages-post/9-de-kiem-tra-giai-tich-12-chuong-3-nguyen-ham-tich-phan-truong-nguyen-trung-truc-binh-dinh-03.jpgimages-post/9-de-kiem-tra-giai-tich-12-chuong-3-nguyen-ham-tich-phan-truong-nguyen-trung-truc-binh-dinh-04.jpgimages-post/9-de-kiem-tra-giai-tich-12-chuong-3-nguyen-ham-tich-phan-truong-nguyen-trung-truc-binh-dinh-05.jpgimages-post/9-de-kiem-tra-giai-tich-12-chuong-3-nguyen-ham-tich-phan-truong-nguyen-trung-truc-binh-dinh-06.jpgimages-post/9-de-kiem-tra-giai-tich-12-chuong-3-nguyen-ham-tich-phan-truong-nguyen-trung-truc-binh-dinh-07.jpgimages-post/9-de-kiem-tra-giai-tich-12-chuong-3-nguyen-ham-tich-phan-truong-nguyen-trung-truc-binh-dinh-08.jpgimages-post/9-de-kiem-tra-giai-tich-12-chuong-3-nguyen-ham-tich-phan-truong-nguyen-trung-truc-binh-dinh-09.jpgimages-post/9-de-kiem-tra-giai-tich-12-chuong-3-nguyen-ham-tich-phan-truong-nguyen-trung-truc-binh-dinh-10.jpg

File 9 đề kiểm tra giải tích 12 chương 3 (nguyên hàm – tích phân) trường nguyễn trung trực – bình định PDF Chi Tiết

TÌM KIẾM THEO TỪ KHÓA