đề kiểm tra đại số 10 chương 2 năm 2019 – 2020 trường thanh miện – hải dương
Bạn đang xem tài liệu đề kiểm tra đại số 10 chương 2 năm 2019 – 2020 trường thanh miện – hải dương được biên soạn theo
môn toán mới nhất. Tài liệu này hệ thống hóa kiến thức một cách khoa học, phù hợp cho mọi lộ trình học từ cơ bản đến nâng cao. Hãy khai thác triệt để nội dung để bứt phá điểm số và tự tin chinh phục mọi kỳ thi nhé!
## Phân tích Đề Kiểm Tra Đại Số 10 – Chương Hàm Số (THPT Thanh Miện, Hải Dương – 2019-2020)
Bài viết này sẽ đi sâu vào phân tích đề kiểm tra định kỳ môn Toán lớp 10, chương 2 (Hàm số bậc nhất và bậc hai) năm học 2019-2020 của trường THPT Thanh Miện, Hải Dương. Đề thi có mã 001, dạng trắc nghiệm khách quan với 25 câu hỏi, thời gian làm bài 45 phút và đã có đáp án đi kèm.
**Đánh giá chung về đề thi:**
Đề thi có cấu trúc rõ ràng, tập trung đánh giá kiến thức trọng tâm của chương Hàm số. Các câu hỏi được thiết kế đa dạng, bao gồm:
* **Kiến thức cơ bản:** Nhận biết các dạng hàm số, xác định hệ số, tìm giao điểm.
* **Kỹ năng:** Giải phương trình bậc hai, xét dấu, tìm điều kiện xác định của hàm số.
* **Vận dụng:** Áp dụng kiến thức vào giải quyết các bài toán thực tế, tìm tham số để hàm số thỏa mãn điều kiện cho trước.
Mức độ khó của đề thi được đánh giá là vừa phải, phù hợp với trình độ học sinh lớp 10. Đề thi có tính phân loại học sinh tốt, giúp giáo viên đánh giá được mức độ nắm vững kiến thức của học sinh.
**Phân tích một số câu hỏi tiêu biểu:**
Dưới đây là phân tích chi tiết một số câu hỏi trích dẫn từ đề thi:
1. **Câu hỏi về giao điểm của Parabol và đường thẳng:**
"Parabol (P): y = m2x2 và đường thẳng y = -4x – 1 cắt nhau tại hai điểm phân biệt ứng với:"
* **Nhận xét:** Đây là một câu hỏi điển hình về ứng dụng kiến thức về giao điểm của parabol và đường thẳng. Để giải quyết bài toán này, học sinh cần hiểu rõ điều kiện để phương trình bậc hai có hai nghiệm phân biệt (delta > 0).
* **Phân tích:** Học sinh cần thay y = -4x - 1 vào phương trình parabol, sau đó giải phương trình bậc hai theo x. Điều kiện delta > 0 sẽ cho ta mối quan hệ giữa m và việc parabol và đường thẳng cắt nhau tại hai điểm phân biệt.
2. **Câu hỏi về tính đơn điệu của hàm số bậc hai:**
"Hàm số y = 2x2 + 4x – 1. Khi đó:"
* **Nhận xét:** Câu hỏi này kiểm tra kiến thức về đỉnh của parabol và mối liên hệ giữa đỉnh và tính đơn điệu của hàm số.
* **Phân tích:** Học sinh cần tìm hoành độ đỉnh của parabol (x = -b/2a). Sau đó, dựa vào hệ số a để xác định chiều mở của parabol và suy ra khoảng đồng biến, nghịch biến của hàm số.
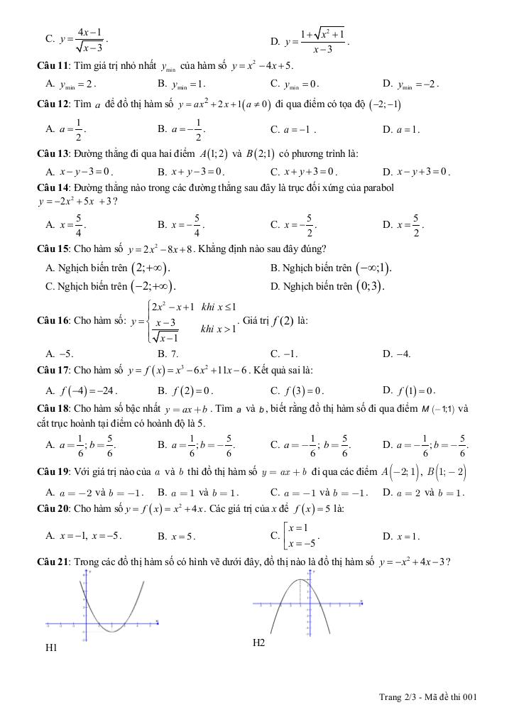
3. **Câu hỏi về xác định phương trình parabol:**
"Cho parabol (P): y = ax2 + bx + c có đồ thị như hình bên. Phương trình của parabol này là?"
* **Nhận xét:** Đây là câu hỏi về việc đọc đồ thị và xác định các hệ số của parabol.
* **Phân tích:** Học sinh cần xác định các điểm thuộc đồ thị parabol (ví dụ: đỉnh, giao điểm với trục tung, giao điểm với trục hoành) và thay vào phương trình y = ax2 + bx + c để tìm a, b, c.
4. **Câu hỏi về hàm số bậc nhất:**
"Cho hàm số bậc nhất y = ax + b. Tìm a và b biết rằng đồ thị hàm số đi qua điểm M(-1;1) và cắt trục hoành tại điểm có hoành độ là 5."
* **Nhận xét:** Câu hỏi này kiểm tra khả năng áp dụng điều kiện hàm số đi qua một điểm và điều kiện cắt trục hoành để tìm hệ số.
* **Phân tích:** Học sinh thay tọa độ điểm M(-1;1) vào phương trình y = ax + b để được một phương trình. Sau đó, vì hàm số cắt trục hoành tại x = 5, nên y = 0 khi x = 5, ta được phương trình thứ hai. Giải hệ hai phương trình này để tìm a và b.
5. **Câu hỏi về điều kiện xác định của hàm số:**
"Tìm tất cả các giá trị thực của tham số m để hàm số y = √(x – m + 1) + 2x/√(-x + 2m) xác định trên khoảng (-1;3)."
* **Nhận xét:** Đây là một câu hỏi nâng cao, đòi hỏi học sinh phải nắm vững điều kiện xác định của hàm số chứa căn thức và phân thức.
* **Phân tích:** Học sinh cần xác định điều kiện để căn thức có nghĩa (x – m + 1 ≥ 0) và mẫu số khác 0 (-x + 2m ≠ 0). Sau đó, kết hợp các điều kiện này với khoảng xác định (-1;3) để tìm ra các giá trị của m thỏa mãn.
**Kết luận:**
Đề kiểm tra Đại số 10 chương 2 của trường THPT Thanh Miện – Hải Dương là một đề thi tốt, có tính phân loại cao và đánh giá được kiến thức, kỹ năng của học sinh một cách toàn diện. Đề thi này là một tài liệu tham khảo hữu ích cho giáo viên và học sinh trong quá trình dạy và học môn Toán.
Khởi đầu hành trình Toán THPT vững vàng với nội dung
đề kiểm tra đại số 10 chương 2 năm 2019 – 2020 trường thanh miện – hải dương trong chuyên mục
giải sgk toán 10 trên nền tảng
môn toán! Bộ bài tập
toán thpt, được biên soạn chuyên sâu và bám sát chặt chẽ chương trình Toán lớp 10 hiện hành, cam kết tối ưu hóa toàn diện quá trình ôn luyện. Qua đó, học sinh không chỉ củng cố kiến thức cốt lõi mà còn xây dựng nền tảng vững chắc cho các năm học tiếp theo và định hướng đại học, nhờ phương pháp tiếp cận trực quan, logic và mang lại hiệu quả học tập vượt trội.




File đề kiểm tra đại số 10 chương 2 năm 2019 – 2020 trường thanh miện – hải dương PDF Chi Tiết