đề kiểm tra đại số và giải tích 11 chương 1 (lượng giác) trường thpt tô hiệu – hà nội
Bạn đang xem tài liệu đề kiểm tra đại số và giải tích 11 chương 1 (lượng giác) trường thpt tô hiệu – hà nội được biên soạn theo
toán học mới nhất. Tài liệu này hệ thống hóa kiến thức một cách khoa học, phù hợp cho mọi lộ trình học từ cơ bản đến nâng cao. Hãy khai thác triệt để nội dung để bứt phá điểm số và tự tin chinh phục mọi kỳ thi nhé!
## Phân tích Đề Kiểm Tra Đại Số và Giải Tích 11 – Hàm Số Lượng Giác và Phương Trình Lượng Giác (Trường THPT Tô Hiệu, Thường Tín, Hà Nội)
Bài viết này sẽ phân tích chi tiết một đề kiểm tra Đại số và Giải tích 11, chương Hàm số lượng giác và Phương trình lượng giác, được sử dụng tại trường THPT Tô Hiệu, Thường Tín, Hà Nội. Đề thi bao gồm 25 câu hỏi trắc nghiệm, tập trung đánh giá kiến thức cơ bản và khả năng vận dụng của học sinh trong việc giải quyết các bài toán liên quan đến hàm số lượng giác và phương trình lượng giác.
**Đánh giá chung:**
Đề thi có cấu trúc khá điển hình cho một bài kiểm tra trắc nghiệm ở cấp THPT. Các câu hỏi được thiết kế để kiểm tra mức độ nắm vững định nghĩa, tính chất của các hàm số lượng giác cơ bản (sin, cos, tan, cot) và các phương pháp giải phương trình lượng giác thường gặp. Việc lựa chọn dạng trắc nghiệm giúp đánh giá nhanh chóng và khách quan kiến thức của học sinh. Tuy nhiên, để đánh giá toàn diện hơn, đề thi có thể bổ sung thêm các câu hỏi vận dụng cao, yêu cầu học sinh phân tích và kết hợp nhiều kiến thức khác nhau.
**Phân tích một số câu hỏi tiêu biểu:**
Dưới đây là phân tích chi tiết một số câu hỏi trích dẫn từ đề thi, nhằm làm rõ hơn nội dung và mức độ khó của đề:
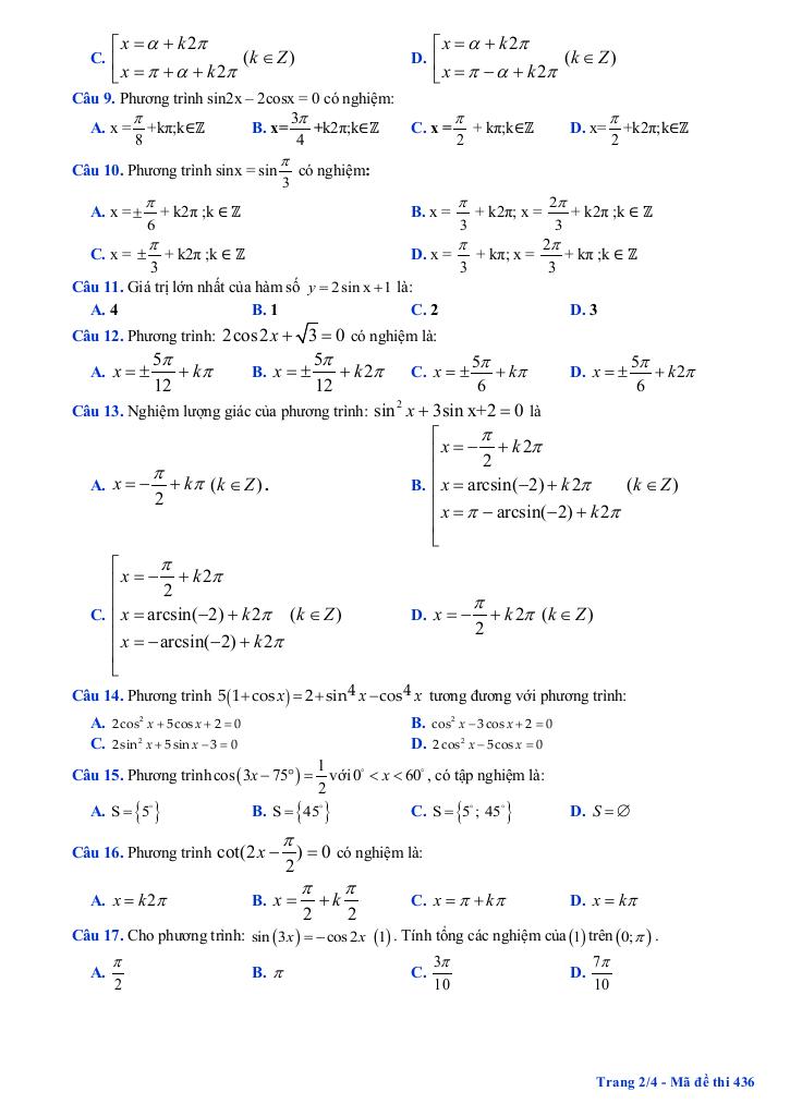
1. **Câu hỏi về phương trình bậc nhất đối với sin và cos:**
* **Đề bài:** Phương trình nào sau đây là phương trình bậc nhất đối với sin và cos?
A. 2sinx – √3 = 0
B. 2tanx – 1 = 0
C. 2(cosx)^2 + 3cosx – 5 = 0
D. sinx – √3cosx = √2
* **Phân tích:** Câu hỏi này kiểm tra khái niệm về phương trình bậc nhất đối với sin và cos, có dạng *a sinx + b cosx = c*, trong đó a, b, c là các hằng số.
* **Đáp án đúng:** D. sinx – √3cosx = √2
* **Nhận xét:** Học sinh cần nắm vững định nghĩa để loại trừ các phương trình chứa các hàm lượng giác khác (tan, cot) hoặc có bậc cao hơn 1 đối với sin và cos.
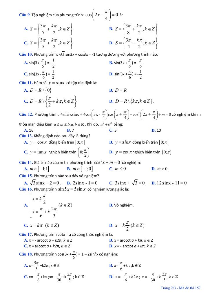
2. **Câu hỏi về tính đơn điệu của hàm số lượng giác:**
* **Đề bài:** Khẳng định nào sau đây là đúng?
A. y = cosx đồng biến trên [0; π]
B. y = sinx đồng biến trên [0; π]
C. y = tanx nghịch biến trên (0; π/2)
D. y = cotx nghịch biến trên (0;π)
* **Phân tích:** Câu hỏi này kiểm tra kiến thức về tính đơn điệu của các hàm số lượng giác trên các khoảng xác định. Học sinh cần nhớ đồ thị của các hàm số này và xác định chiều biến thiên của chúng.
* **Đáp án đúng:** B. y = sinx đồng biến trên [0; π]
* **Nhận xét:** Việc hiểu rõ đồ thị hàm số lượng giác là yếu tố then chốt để giải quyết loại bài tập này. Cần lưu ý rằng hàm cosx nghịch biến trên [0; π], hàm tanx đồng biến trên (0; π/2), và hàm cotx đồng biến trên (0; π).
3. **Câu hỏi về công thức nghiệm của phương trình lượng giác:**
* **Đề bài:** Phương trình cotx = a có công thức nghiệm là:
A. x = -arccota + k2π, k ∈ Z
B. x = arccota + kπ, k ∈ Z
C. x = arccota + k2π, k ∈ Z
D. x = -arccota + kπ, k ∈ Z
* **Phân tích:** Câu hỏi này kiểm tra việc nắm vững công thức nghiệm của phương trình lượng giác cơ bản. Học sinh cần nhớ đúng công thức nghiệm của cotx = a.
* **Đáp án đúng:** B. x = arccota + kπ, k ∈ Z
* **Nhận xét:** Việc nhầm lẫn giữa arccota và các hàm lượng giác ngược khác là một lỗi phổ biến. Học sinh cần luyện tập thường xuyên để ghi nhớ chính xác các công thức nghiệm.
**Kết luận:**
Đề kiểm tra Đại số và Giải tích 11 của trường THPT Tô Hiệu là một đề thi cơ bản, phù hợp để đánh giá kiến thức nền tảng của học sinh về hàm số lượng giác và phương trình lượng giác. Để nâng cao chất lượng đề thi, có thể bổ sung thêm các câu hỏi vận dụng cao, yêu cầu học sinh giải quyết các bài toán phức tạp hơn và kết hợp nhiều kiến thức khác nhau. Việc cung cấp file WORD cho giáo viên cũng là một điểm cộng, giúp giáo viên dễ dàng tiếp cận và sử dụng đề thi trong quá trình giảng dạy.
Chinh phục đỉnh cao Toán 11 và đặt nền móng vững chắc cho cánh cửa Đại học với nội dung
đề kiểm tra đại số và giải tích 11 chương 1 (lượng giác) trường thpt tô hiệu – hà nội trong chuyên mục
Sách bài tập Toán 11 trên nền tảng
toán học! Bộ bài tập
lý thuyết toán thpt, được biên soạn chuyên sâu, bám sát chặt chẽ chương trình Toán lớp 11 và định hướng các kỳ thi quan trọng, cam kết tối ưu hóa toàn diện quá trình ôn luyện. Qua đó, học sinh không chỉ làm chủ kiến thức phức tạp mà còn rèn luyện tư duy giải quyết vấn đề, sẵn sàng cho các kỳ thi và chương trình đại học, nhờ phương pháp tiếp cận trực quan, logic và mang lại hiệu quả học tập vượt trội.







File đề kiểm tra đại số và giải tích 11 chương 1 (lượng giác) trường thpt tô hiệu – hà nội PDF Chi Tiết