Logo Header
  1. Môn Toán
  2. đề kiểm tra đại số và giải tích 11 chương 1 năm 2019 – 2020 trường trung giã – hà nội

đề kiểm tra đại số và giải tích 11 chương 1 năm 2019 – 2020 trường trung giã – hà nội

Bạn đang xem tài liệu đề kiểm tra đại số và giải tích 11 chương 1 năm 2019 – 2020 trường trung giã – hà nội được biên soạn theo toán mới nhất. Tài liệu này hệ thống hóa kiến thức một cách khoa học, phù hợp cho mọi lộ trình học từ cơ bản đến nâng cao. Hãy khai thác triệt để nội dung để bứt phá điểm số và tự tin chinh phục mọi kỳ thi nhé!

Phân tích Đề Kiểm tra Đại số và Giải tích 11 – Chương 1 (Năm học 2019-2020) – Trường THPT Trung Giã, Hà Nội (Mã đề 111)

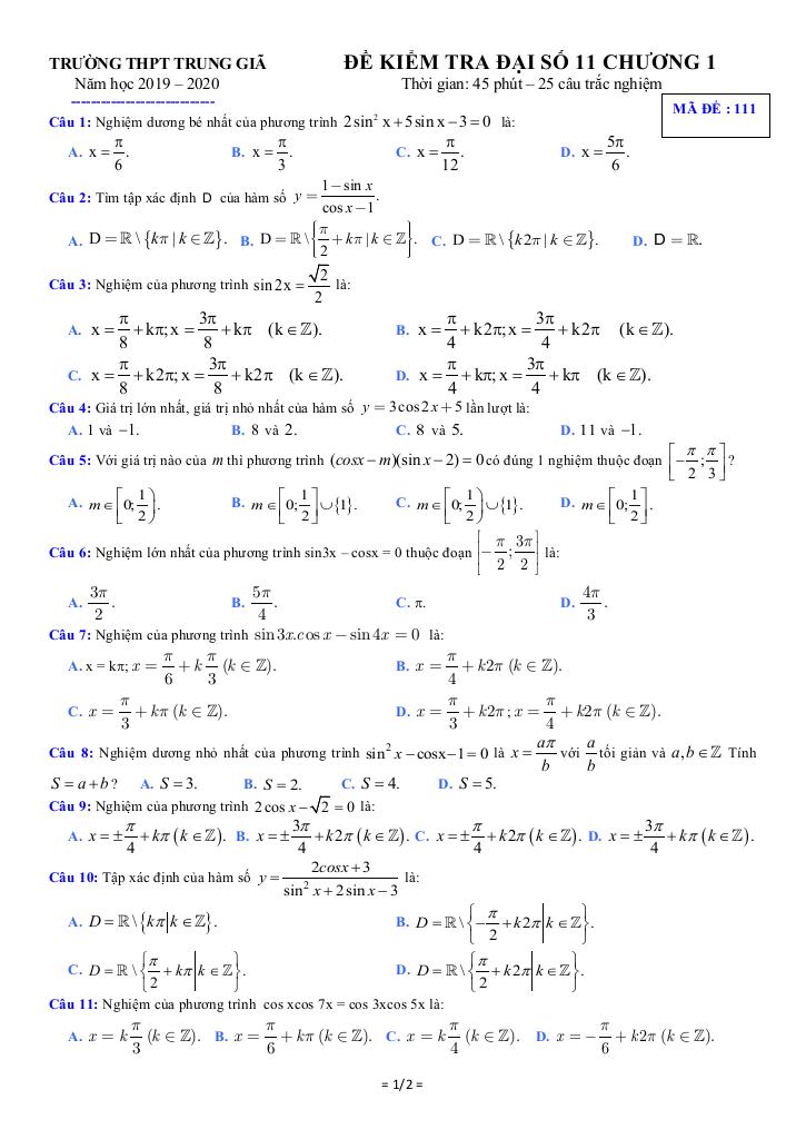
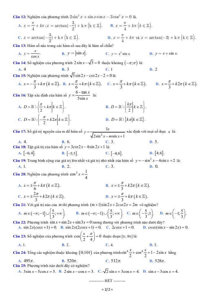
Đề kiểm tra Đại số và Giải tích 11 chương 1 của trường THPT Trung Giã, Hà Nội (năm học 2019-2020, mã đề 111) là một đề thi trắc nghiệm khách quan với cấu trúc khá phổ biến, bao gồm 25 câu hỏi, được thiết kế để đánh giá mức độ nắm vững kiến thức cơ bản về hàm số lượng giác và phương trình lượng giác của học sinh. Thời gian làm bài 45 phút đòi hỏi học sinh phải có kỹ năng giải nhanh và chính xác.

Cấu trúc nội dung đề thi:

  • Tập xác định của hàm số lượng giác: Kiểm tra khả năng xác định điều kiện để hàm số lượng giác có nghĩa, đặc biệt chú ý đến mẫu số khác 0 và các điều kiện khác liên quan đến biểu thức bên trong hàm lượng giác.
  • Giá trị lớn nhất (GTLN) và Giá trị nhỏ nhất (GTNN) của hàm số lượng giác: Đánh giá khả năng vận dụng các phương pháp tìm GTLN, GTNN của hàm số lượng giác, thường sử dụng các biến đổi lượng giác hoặc phương pháp đánh giá.
  • Tính chẵn – lẻ của hàm số lượng giác: Kiểm tra việc nắm vững định nghĩa và kỹ năng xác định tính chẵn, lẻ của hàm số lượng giác, từ đó suy ra các tính chất liên quan.
  • Phương trình lượng giác cơ bản: Đánh giá khả năng giải các phương trình lượng giác cơ bản như sinx = a, cosx = a, tanx = a, cotx = a.
  • Phương trình bậc hai đối với một hàm số lượng giác: Kiểm tra kỹ năng giải phương trình lượng giác đưa về phương trình bậc hai, ví dụ: asinx2 + bsinx + c = 0.
  • Phương trình asinx + bcosx = c: Đánh giá khả năng giải phương trình lượng giác bằng phương pháp đặt ẩn phụ hoặc sử dụng công thức biến đổi lượng giác.
  • Phương trình tích: Kiểm tra kỹ năng giải phương trình tích, dựa trên nguyên tắc tích bằng 0 khi và chỉ khi một trong các thừa số bằng 0.
  • Phương trình khác: Bao gồm các dạng phương trình lượng giác phức tạp hơn, đòi hỏi học sinh phải có khả năng phân tích và vận dụng linh hoạt các kiến thức đã học.

Ví dụ minh họa từ đề thi:

  1. Câu hỏi về GTLN, GTNN: "Trung bình cộng của giá trị lớn nhất và giá trị nhỏ nhất của hàm số y = -(sinx)2 – 4sinx + 2 là?" – Câu hỏi này yêu cầu học sinh biến đổi hàm số về dạng quen thuộc (ví dụ: sử dụng phương pháp hoàn thiện bình phương) để tìm GTLN, GTNN, sau đó tính trung bình cộng.
  2. Câu hỏi về nghiệm phương trình lượng giác: "Nghiệm dương nhỏ nhất của phương trình (sinx)2 – cosx – 1 = 0 là x = a/b với a/b tối giản và a, b thuộc Z. Tính S = a + b." – Câu hỏi này đòi hỏi học sinh biến đổi phương trình về dạng sinx = a hoặc cosx = a, sau đó tìm nghiệm dương nhỏ nhất và tính tổng a + b.
  3. Câu hỏi về nghiệm phương trình lượng giác bậc hai: "Nghiệm dương bé nhất của phương trình 2(sinx)2 + 5sinx – 3 = 0 là?" – Câu hỏi này yêu cầu học sinh giải phương trình bậc hai đối với sinx, sau đó tìm nghiệm dương bé nhất.

Đánh giá chung:

Đề thi có độ khó vừa phải, tập trung vào các kiến thức trọng tâm của chương 1. Các câu hỏi được trình bày rõ ràng, dễ hiểu. Việc cung cấp đáp án đi kèm là một điểm cộng, giúp học sinh tự đánh giá kết quả và rút kinh nghiệm. Đề thi phù hợp để đánh giá năng lực học tập của học sinh THPT trong giai đoạn đầu của chương trình Đại số và Giải tích.

File WORD (dành cho quý thầy, cô): TẢI XUỐNG

Chinh phục đỉnh cao Toán 11 và đặt nền móng vững chắc cho cánh cửa Đại học với nội dung đề kiểm tra đại số và giải tích 11 chương 1 năm 2019 – 2020 trường trung giã – hà nội trong chuyên mục Ôn tập Toán lớp 11 trên nền tảng toán! Bộ bài tập toán trung học phổ thông, được biên soạn chuyên sâu, bám sát chặt chẽ chương trình Toán lớp 11 và định hướng các kỳ thi quan trọng, cam kết tối ưu hóa toàn diện quá trình ôn luyện. Qua đó, học sinh không chỉ làm chủ kiến thức phức tạp mà còn rèn luyện tư duy giải quyết vấn đề, sẵn sàng cho các kỳ thi và chương trình đại học, nhờ phương pháp tiếp cận trực quan, logic và mang lại hiệu quả học tập vượt trội.
images-post/de-kiem-tra-dai-so-va-giai-tich-11-chuong-1-nam-2019-2020-truong-trung-gia-ha-noi-1.jpgimages-post/de-kiem-tra-dai-so-va-giai-tich-11-chuong-1-nam-2019-2020-truong-trung-gia-ha-noi-2.jpgimages-post/de-kiem-tra-dai-so-va-giai-tich-11-chuong-1-nam-2019-2020-truong-trung-gia-ha-noi-3.jpgimages-post/de-kiem-tra-dai-so-va-giai-tich-11-chuong-1-nam-2019-2020-truong-trung-gia-ha-noi-4.jpg

File đề kiểm tra đại số và giải tích 11 chương 1 năm 2019 – 2020 trường trung giã – hà nội PDF Chi Tiết

TÌM KIẾM THEO TỪ KHÓA