Logo Header
  1. Môn Toán
  2. đề kiểm tra lần 1 hk1 toán 11 năm 2019 – 2020 trường bùi hữu nghĩa – cần thơ

đề kiểm tra lần 1 hk1 toán 11 năm 2019 – 2020 trường bùi hữu nghĩa – cần thơ

Bạn đang xem tài liệu đề kiểm tra lần 1 hk1 toán 11 năm 2019 – 2020 trường bùi hữu nghĩa – cần thơ được biên soạn theo toán math mới nhất. Tài liệu này hệ thống hóa kiến thức một cách khoa học, phù hợp cho mọi lộ trình học từ cơ bản đến nâng cao. Hãy khai thác triệt để nội dung để bứt phá điểm số và tự tin chinh phục mọi kỳ thi nhé!
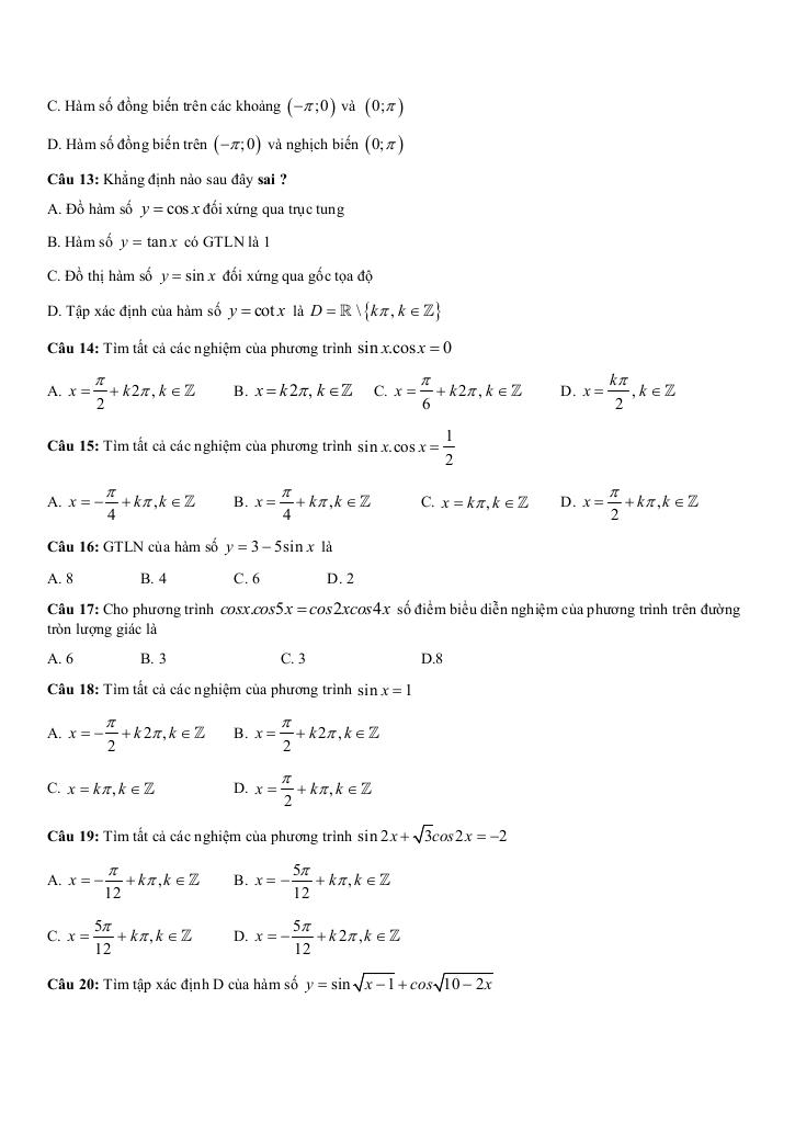
## Phân tích Đề Kiểm Tra Toán 11 HK1 (2019-2020) - THPT Bùi Hữu Nghĩa, Cần Thơ: Hàm Số Lượng Giác và Phương Trình Lượng Giác Đề kiểm tra lần 1 học kỳ 1 môn Toán 11 năm học 2019 – 2020 của trường THPT Bùi Hữu Nghĩa, Cần Thơ là một đề thi đánh giá kiến thức cơ bản và khả năng vận dụng của học sinh trong chương 1 Đại số và Giải tích 11, tập trung vào chủ đề hàm số lượng giác và phương trình lượng giác. Đề thi được xây dựng theo hình thức kết hợp trắc nghiệm khách quan (20 câu) và tự luận (02 câu), với thời gian làm bài 60 phút. Đây là một cấu trúc phổ biến, cho phép đánh giá cả kiến thức nền tảng và kỹ năng giải quyết vấn đề của học sinh. **Đánh giá chung:** Đề thi có độ khó vừa phải, bám sát chương trình học và trọng tâm kiến thức. Các câu hỏi trắc nghiệm tập trung vào việc kiểm tra sự hiểu biết về tính chất của hàm số lượng giác (tính đơn điệu, tính đối xứng, tập xác định) và các công thức lượng giác cơ bản. Câu hỏi tự luận đòi hỏi học sinh phải vận dụng các kiến thức đã học để giải phương trình lượng giác, thể hiện khả năng tư duy logic và kỹ năng biến đổi toán học. **Phân tích một số câu hỏi tiêu biểu:** * **Câu 1: Xét hàm số y = cosx trên [-π; π]. Khẳng định nào sau đây là đúng?** Câu hỏi này kiểm tra kiến thức về tính đơn điệu của hàm số cosx trên một khoảng xác định. Học sinh cần nắm vững đồ thị của hàm số cosx và hiểu rõ khoảng nào hàm số đồng biến, nghịch biến. Đáp án đúng là **D. Hàm số đồng biến trên (-π;0) và nghịch biến (0;π).** Việc lựa chọn đáp án này đòi hỏi học sinh phải nhớ chính xác chiều biến thiên của hàm cosx. * **Câu 2: Khẳng định nào sau đây sai?** Đây là một câu hỏi đánh lừa, yêu cầu học sinh phải nắm vững các tính chất của hàm số lượng giác và loại trừ đáp án sai. * A. Đúng: Đồ thị hàm số y = cosx đối xứng qua trục tung. * B. Sai: Hàm số y = tanx không có giá trị lớn nhất. * C. Đúng: Đồ thị hàm số y = sinx đối xứng qua gốc tọa độ. * D. Đúng: Tập xác định của hàm số y = cotx là D = R\{kπ, k thuộc Z}. Do đó, đáp án đúng là **B. Hàm số y = tanx có giá trị lớn nhất là 1.** Câu hỏi này nhấn mạnh tầm quan trọng của việc hiểu rõ miền giá trị của các hàm số lượng giác. * **Câu 3: Cho phương trình giaibaitoan.com5x = giaibaitoan.com4x số điểm biểu diễn nghiệm của phương trình trên đường tròn lượng giác là?** Đây là một câu hỏi tự luận, đòi hỏi học sinh phải sử dụng các công thức biến đổi tích thành tổng để đưa phương trình về dạng đơn giản hơn và tìm nghiệm. Việc xác định số nghiệm trên đường tròn lượng giác đòi hỏi học sinh phải hiểu rõ mối liên hệ giữa nghiệm của phương trình lượng giác và vị trí các điểm trên đường tròn đơn vị. **Nhận xét:** Đề thi này là một công cụ đánh giá hiệu quả kiến thức và kỹ năng của học sinh trong giai đoạn đầu của học kỳ. Đề thi có tính phân loại học sinh tốt, giúp giáo viên xác định được những học sinh nắm vững kiến thức và những học sinh cần được hỗ trợ thêm. Việc luyện tập các dạng bài tương tự trong đề thi sẽ giúp học sinh tự tin hơn khi làm bài kiểm tra.
Chinh phục đỉnh cao Toán 11 và đặt nền móng vững chắc cho cánh cửa Đại học với nội dung đề kiểm tra lần 1 hk1 toán 11 năm 2019 – 2020 trường bùi hữu nghĩa – cần thơ trong chuyên mục Đề thi Toán lớp 11 trên nền tảng toán math! Bộ bài tập toán thpt, được biên soạn chuyên sâu, bám sát chặt chẽ chương trình Toán lớp 11 và định hướng các kỳ thi quan trọng, cam kết tối ưu hóa toàn diện quá trình ôn luyện. Qua đó, học sinh không chỉ làm chủ kiến thức phức tạp mà còn rèn luyện tư duy giải quyết vấn đề, sẵn sàng cho các kỳ thi và chương trình đại học, nhờ phương pháp tiếp cận trực quan, logic và mang lại hiệu quả học tập vượt trội.
images-post/de-kiem-tra-lan-1-hk1-toan-11-nam-2019-2020-truong-bui-huu-nghia-can-tho-1.jpgimages-post/de-kiem-tra-lan-1-hk1-toan-11-nam-2019-2020-truong-bui-huu-nghia-can-tho-2.jpgimages-post/de-kiem-tra-lan-1-hk1-toan-11-nam-2019-2020-truong-bui-huu-nghia-can-tho-3.jpgimages-post/de-kiem-tra-lan-1-hk1-toan-11-nam-2019-2020-truong-bui-huu-nghia-can-tho-4.jpg

File đề kiểm tra lần 1 hk1 toán 11 năm 2019 – 2020 trường bùi hữu nghĩa – cần thơ PDF Chi Tiết

TÌM KIẾM THEO TỪ KHÓA