Logo Header
  1. Môn Toán
  2. đề kiểm tra hình học 12 chương 3 (tọa độ không gian) trường thpt vinh lộc – tt. huế

đề kiểm tra hình học 12 chương 3 (tọa độ không gian) trường thpt vinh lộc – tt. huế

Bạn đang xem tài liệu đề kiểm tra hình học 12 chương 3 (tọa độ không gian) trường thpt vinh lộc – tt. huế được biên soạn theo toán mới nhất. Tài liệu này hệ thống hóa kiến thức một cách khoa học, phù hợp cho mọi lộ trình học từ cơ bản đến nâng cao. Hãy khai thác triệt để nội dung để bứt phá điểm số và tự tin chinh phục mọi kỳ thi nhé!

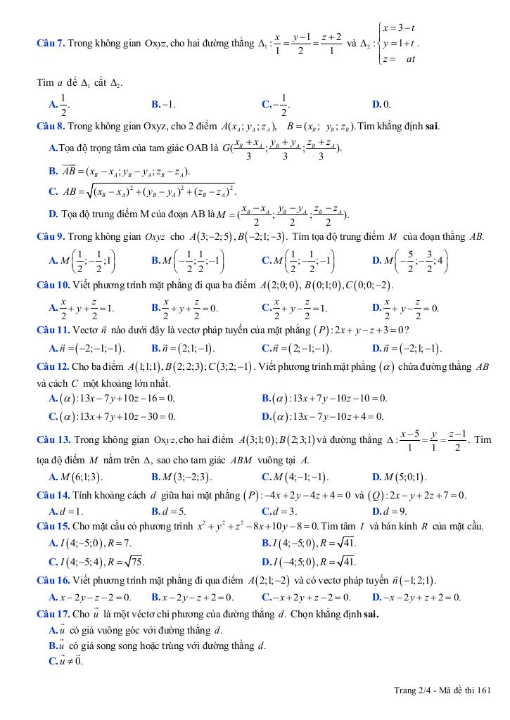
Phân tích Đề Kiểm Tra 1 Tiết Hình Học 12 – Chương 3: Phương Pháp Tọa Độ Không Gian (THPT Vinh Lộc – TT. Huế)

Đề kiểm tra 1 tiết môn Hình học 12 của trường THPT Vinh Lộc – TT. Huế, tập trung vào chương 3 – Phương pháp tọa độ không gian, là một công cụ đánh giá quan trọng khả năng nắm vững kiến thức và kỹ năng giải quyết bài toán của học sinh. Cấu trúc đề thi bao gồm 20 câu hỏi trắc nghiệm và 2 câu hỏi tự luận, cho thấy sự kết hợp giữa việc kiểm tra kiến thức nền tảng và khả năng vận dụng linh hoạt vào các bài toán cụ thể.

Đánh giá chung về cấu trúc đề thi:

  1. Tính đa dạng của câu hỏi trắc nghiệm: Với 20 câu trắc nghiệm, đề thi có khả năng bao phủ nhiều khía cạnh khác nhau của chương Phương pháp tọa độ không gian. Các câu hỏi có thể tập trung vào:
    • Nhận biết các khái niệm cơ bản: Vectơ trong không gian, các phép toán vectơ (cộng, trừ, nhân với một số thực), tích vô hướng, tích có hướng.
    • Phương trình đường thẳng, mặt phẳng trong không gian.
    • Quan hệ vị trí giữa đường thẳng và mặt phẳng, giữa hai mặt phẳng.
    • Khoảng cách từ một điểm đến mặt phẳng, giữa hai đường thẳng chéo nhau.
  2. Vai trò của câu hỏi tự luận: Hai câu hỏi tự luận đóng vai trò quan trọng trong việc đánh giá khả năng trình bày logic, phân tích bài toán và áp dụng kiến thức một cách sâu sắc của học sinh. Các câu hỏi tự luận thường yêu cầu:
    • Chứng minh một đẳng thức vectơ hoặc một mệnh đề hình học.
    • Tìm phương trình của đường thẳng hoặc mặt phẳng thỏa mãn các điều kiện cho trước.
    • Giải quyết một bài toán thực tế liên quan đến tọa độ không gian.
  3. Sự tiện lợi của đáp án: Việc cung cấp đáp án cho phần trắc nghiệm ở trang cuối tài liệu là một điểm cộng, giúp học sinh tự đánh giá kết quả và rút kinh nghiệm sau khi làm bài.

Nhận xét và gợi ý:

Để đạt kết quả tốt trong kỳ kiểm tra này, học sinh cần:

  • Nắm vững định nghĩa, tính chất và các công thức liên quan đến vectơ, đường thẳng và mặt phẳng trong không gian.
  • Luyện tập giải nhiều dạng bài tập khác nhau, từ cơ bản đến nâng cao, để làm quen với các kỹ thuật giải quyết bài toán.
  • Rèn luyện kỹ năng trình bày bài giải một cách rõ ràng, logic và chính xác.
  • Chú trọng việc ôn tập các kiến thức liên quan đến hình học giải tích phẳng, vì đây là nền tảng quan trọng cho việc học tập chương Phương pháp tọa độ không gian.

Đề kiểm tra này là một cơ hội tốt để học sinh tự đánh giá năng lực của mình và chuẩn bị tốt nhất cho các kỳ thi sắp tới.

Chinh phục điểm cao Kỳ thi Tốt nghiệp THPT Quốc gia môn Toán, rộng mở cánh cửa Đại học với nội dung đề kiểm tra hình học 12 chương 3 (tọa độ không gian) trường thpt vinh lộc – tt. huế trong chuyên mục toán 12 trên nền tảng toán! Bộ bài tập toán thpt, được biên soạn chuyên sâu, bám sát cấu trúc đề thi và chương trình Toán 12, cam kết tối ưu hóa toàn diện lộ trình ôn luyện. Qua đó, học sinh không chỉ làm chủ mọi dạng bài thi mà còn trang bị chiến thuật làm bài hiệu quả, tự tin đạt kết quả đột phá, tạo nền tảng vững chắc cho Kỳ thi Tốt nghiệp THPT Quốc gia và hành trang vững vàng vào đại học, nhờ phương pháp tiếp cận trực quan, khoa học và mang lại hiệu quả học tập vượt trội.
images-post/de-kiem-tra-hinh-hoc-12-chuong-3-toa-do-khong-gian-truong-thpt-vinh-loc-tt-hue-1.jpgimages-post/de-kiem-tra-hinh-hoc-12-chuong-3-toa-do-khong-gian-truong-thpt-vinh-loc-tt-hue-2.jpgimages-post/de-kiem-tra-hinh-hoc-12-chuong-3-toa-do-khong-gian-truong-thpt-vinh-loc-tt-hue-3.jpgimages-post/de-kiem-tra-hinh-hoc-12-chuong-3-toa-do-khong-gian-truong-thpt-vinh-loc-tt-hue-4.jpg

File đề kiểm tra hình học 12 chương 3 (tọa độ không gian) trường thpt vinh lộc – tt. huế PDF Chi Tiết

TÌM KIẾM THEO TỪ KHÓA