Logo Header
  1. Môn Toán
  2. đề kiểm tra hình học 12 chương 3 năm 2018 – 2019 trường cây dương – kiên giang

đề kiểm tra hình học 12 chương 3 năm 2018 – 2019 trường cây dương – kiên giang

Bạn đang xem tài liệu đề kiểm tra hình học 12 chương 3 năm 2018 – 2019 trường cây dương – kiên giang được biên soạn theo toán mới nhất. Tài liệu này hệ thống hóa kiến thức một cách khoa học, phù hợp cho mọi lộ trình học từ cơ bản đến nâng cao. Hãy khai thác triệt để nội dung để bứt phá điểm số và tự tin chinh phục mọi kỳ thi nhé!

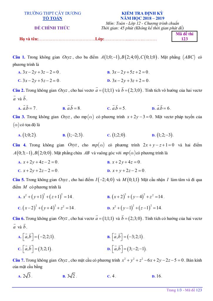
giaibaitoan.com xin giới thiệu đến quý thầy cô và các em học sinh lớp 12 đề kiểm tra Hình học 12 Chương 3, năm học 2018 – 2019 của trường THPT Cây Dương, tỉnh Kiên Giang. Đề thi này tập trung đánh giá mức độ nắm vững kiến thức và kỹ năng vận dụng phương pháp tọa độ trong không gian Oxyz – một trong những chủ đề trọng tâm của chương trình Hình học lớp 12.

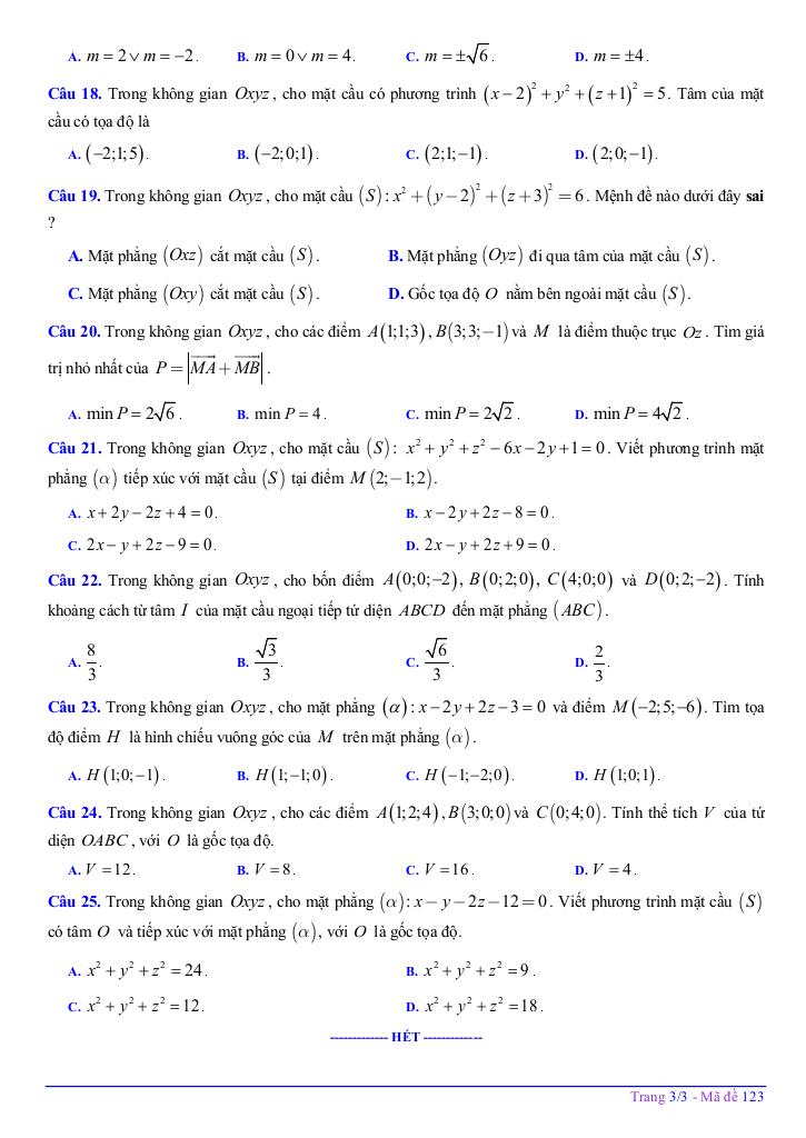
Đề kiểm tra có mã đề 123, với cấu trúc gồm 25 câu hỏi trắc nghiệm, được trình bày trên 03 trang. Thời gian làm bài dự kiến là 45 phút. Điểm đặc biệt của đề thi là có kèm đáp án, tạo điều kiện thuận lợi cho việc tự học, ôn tập và đánh giá kết quả của học sinh.

Đánh giá chung về đề thi:

Đề thi được xây dựng bám sát chương trình học, bao gồm các nội dung cốt lõi như:

  • Vectơ trong không gian: Các bài toán liên quan đến phép toán vectơ, tính chất của vectơ, ứng dụng của vectơ trong việc chứng minh các mối quan hệ hình học.
  • Phương trình mặt phẳng: Xác định phương trình mặt phẳng, tìm giao điểm, góc giữa hai mặt phẳng, khoảng cách từ một điểm đến mặt phẳng.
  • Phương trình đường thẳng: Xác định phương trình đường thẳng, tìm giao điểm, khoảng cách từ một điểm đến đường thẳng, mối quan hệ giữa đường thẳng và mặt phẳng.
  • Mặt cầu: Phương trình mặt cầu, xác định tâm và bán kính, điều kiện để một điểm nằm trên, nằm trong, nằm ngoài mặt cầu, phương trình tiếp diện của mặt cầu.
  • Ứng dụng của phương pháp tọa độ trong không gian: Tính thể tích khối đa diện, xác định quỹ tích, giải các bài toán hình học không gian bằng phương pháp tọa độ.

Phân tích một số câu hỏi tiêu biểu:

  1. Câu 1: Tính thể tích tứ diện OABC. Đây là một bài toán điển hình về ứng dụng của vectơ trong việc tính thể tích khối tứ diện. Học sinh cần nắm vững công thức tính thể tích tứ diện qua tọa độ các đỉnh và thành thạo các phép toán vectơ.
  2. Câu 2: Xác định mệnh đề sai về mặt cầu (S). Bài toán này đòi hỏi học sinh phải hiểu rõ về phương trình mặt cầu, các yếu tố của mặt cầu (tâm, bán kính) và các mối quan hệ giữa mặt cầu với các mặt phẳng tọa độ. Việc phân tích kỹ các đáp án và kiểm tra điều kiện để một mặt phẳng cắt, tiếp xúc hoặc không giao với mặt cầu là rất quan trọng.
  3. Câu 3: Tìm phương trình mặt cầu. Bài toán này yêu cầu học sinh nắm vững phương trình mặt cầu khi biết tâm và bán kính. Học sinh cần tính được bán kính của mặt cầu dựa trên khoảng cách giữa tâm và một điểm thuộc mặt cầu, sau đó áp dụng công thức phương trình mặt cầu để tìm đáp án.

Nhận xét:

Đề kiểm tra Hình học 12 Chương 3 trường Cây Dương – Kiên Giang là một đề thi có chất lượng, có tính phân loại học sinh tốt. Các câu hỏi được xây dựng đa dạng, bao phủ nhiều kiến thức và kỹ năng quan trọng. Đề thi phù hợp để sử dụng trong quá trình ôn tập và luyện thi THPT Quốc gia môn Toán.

File WORD (dành cho quý thầy, cô): TẢI XUỐNG

Chinh phục điểm cao Kỳ thi Tốt nghiệp THPT Quốc gia môn Toán, rộng mở cánh cửa Đại học với nội dung đề kiểm tra hình học 12 chương 3 năm 2018 – 2019 trường cây dương – kiên giang trong chuyên mục đề thi toán 12 trên nền tảng toán! Bộ bài tập toán trung học phổ thông, được biên soạn chuyên sâu, bám sát cấu trúc đề thi và chương trình Toán 12, cam kết tối ưu hóa toàn diện lộ trình ôn luyện. Qua đó, học sinh không chỉ làm chủ mọi dạng bài thi mà còn trang bị chiến thuật làm bài hiệu quả, tự tin đạt kết quả đột phá, tạo nền tảng vững chắc cho Kỳ thi Tốt nghiệp THPT Quốc gia và hành trang vững vàng vào đại học, nhờ phương pháp tiếp cận trực quan, khoa học và mang lại hiệu quả học tập vượt trội.
images-post/de-kiem-tra-hinh-hoc-12-chuong-3-nam-2018-2019-truong-cay-duong-kien-giang-1.jpgimages-post/de-kiem-tra-hinh-hoc-12-chuong-3-nam-2018-2019-truong-cay-duong-kien-giang-2.jpgimages-post/de-kiem-tra-hinh-hoc-12-chuong-3-nam-2018-2019-truong-cay-duong-kien-giang-3.jpgimages-post/de-kiem-tra-hinh-hoc-12-chuong-3-nam-2018-2019-truong-cay-duong-kien-giang-4.jpgimages-post/de-kiem-tra-hinh-hoc-12-chuong-3-nam-2018-2019-truong-cay-duong-kien-giang-5.jpgimages-post/de-kiem-tra-hinh-hoc-12-chuong-3-nam-2018-2019-truong-cay-duong-kien-giang-6.jpg

File đề kiểm tra hình học 12 chương 3 năm 2018 – 2019 trường cây dương – kiên giang PDF Chi Tiết

TÌM KIẾM THEO TỪ KHÓA