Logo Header
  1. Môn Toán
  2. đề kiểm tra giải tích 12 chương 1 năm 2019 – 2020 trường triệu quang phục – hưng yên

đề kiểm tra giải tích 12 chương 1 năm 2019 – 2020 trường triệu quang phục – hưng yên

Bạn đang xem tài liệu đề kiểm tra giải tích 12 chương 1 năm 2019 – 2020 trường triệu quang phục – hưng yên được biên soạn theo học toán mới nhất. Tài liệu này hệ thống hóa kiến thức một cách khoa học, phù hợp cho mọi lộ trình học từ cơ bản đến nâng cao. Hãy khai thác triệt để nội dung để bứt phá điểm số và tự tin chinh phục mọi kỳ thi nhé!

Phân tích Đề Kiểm tra Định kỳ Giải tích 12 – Trường THPT Triệu Quang Phục, Hưng Yên (2019-2020)

Ngày … tháng 10 năm 2019, trường THPT Triệu Quang Phục, tỉnh Hưng Yên đã tổ chức kiểm tra định kỳ Giải tích 12 bài số 1, học kỳ 1 năm học 2019 – 2020. Đề kiểm tra này tập trung vào chương 1, chủ yếu đánh giá kiến thức về hàm số và đồ thị – một trong những chủ đề nền tảng và quan trọng của Giải tích 12.

Cấu trúc đề thi bao gồm 20 câu trắc nghiệm và 02 câu tự luận, với thời gian làm bài 45 phút. Tỷ lệ câu hỏi trắc nghiệm chiếm phần lớn, cho thấy xu hướng đánh giá nhanh khả năng nắm vững lý thuyết và kỹ năng vận dụng cơ bản của học sinh. Sự kết hợp giữa trắc nghiệm và tự luận giúp đề thi có thể đánh giá được cả chiều rộng lẫn chiều sâu kiến thức của thí sinh.

Nội dung chi tiết và nhận xét về các câu hỏi trích dẫn:

  1. Câu hỏi về hàm số bậc ba: “Cho hàm số y = x3 – 6x2 + 9x – 1 và các mệnh đề sau… Tìm số mệnh đề đúng trong các mệnh đề trên.”
  2. Đây là một câu hỏi điển hình đánh giá khả năng phân tích hàm số bậc ba của học sinh. Để giải quyết câu hỏi này, học sinh cần:

    • Tính đạo hàm bậc nhất y’ để xác định khoảng đồng biến, nghịch biến.
    • Tìm điểm cực trị bằng cách giải phương trình y’ = 0 và xét dấu đạo hàm bậc nhất.
    • Tính giá trị cực đại, cực tiểu.
    • So sánh với các mệnh đề đã cho để đưa ra kết luận.

    Câu hỏi này đòi hỏi học sinh phải nắm vững kiến thức về đạo hàm, khoảng đơn điệu và cực trị của hàm số.

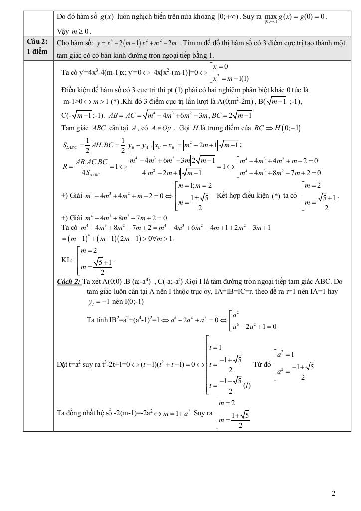
  3. Câu hỏi về hàm số bậc bốn và đường tròn ngoại tiếp: “Cho hàm số: y = x4 – 2(m – 1)x2 + m2 – 2m. Tìm m để đồ thị hàm số có 3 điểm cực trị tạo thành một tam giác có bán kính đường tròn ngoại tiếp bằng 1.”
  4. Đây là một câu hỏi tự luận có độ khó cao, đòi hỏi học sinh phải:

    • Xác định điều kiện để hàm số có 3 điểm cực trị (dựa vào đạo hàm bậc hai).
    • Tìm tọa độ các điểm cực trị.
    • Sử dụng kiến thức về đường tròn ngoại tiếp tam giác để thiết lập phương trình.
    • Giải phương trình để tìm giá trị của m.

    Câu hỏi này kiểm tra sự hiểu biết sâu sắc về hàm số bậc bốn, kỹ năng giải phương trình và khả năng vận dụng kiến thức hình học vào bài toán Giải tích.

  5. Câu hỏi trắc nghiệm về cực trị: “Cho hàm số y = x4 + 4x2 + 2. Mệnh đề nào dưới đây là mệnh đề đúng?”
  6. Câu hỏi này đánh giá nhanh khả năng xác định cực trị của hàm số. Học sinh cần:

    • Tính đạo hàm bậc nhất y’.
    • Xét dấu đạo hàm bậc nhất để xác định khoảng đồng biến, nghịch biến và cực trị.
    • Loại trừ các đáp án sai và chọn đáp án đúng.

    Câu hỏi này đòi hỏi học sinh phải nắm vững định nghĩa và điều kiện cần để hàm số có cực trị.

Nhìn chung, đề kiểm tra Giải tích 12 của trường THPT Triệu Quang Phục có cấu trúc hợp lý, nội dung bám sát chương trình học và có độ phân hóa tốt. Đề thi không chỉ kiểm tra kiến thức lý thuyết mà còn đánh giá khả năng vận dụng linh hoạt của học sinh vào giải quyết các bài toán thực tế. Việc cung cấp đáp án và lời giải chi tiết sẽ giúp học sinh tự đánh giá kết quả học tập và rút kinh nghiệm cho các bài kiểm tra tiếp theo.

File WORD (dành cho quý thầy, cô): TẢI XUỐNG

Chinh phục điểm cao Kỳ thi Tốt nghiệp THPT Quốc gia môn Toán, rộng mở cánh cửa Đại học với nội dung đề kiểm tra giải tích 12 chương 1 năm 2019 – 2020 trường triệu quang phục – hưng yên trong chuyên mục đề thi toán 12 trên nền tảng học toán! Bộ bài tập toán trung học phổ thông, được biên soạn chuyên sâu, bám sát cấu trúc đề thi và chương trình Toán 12, cam kết tối ưu hóa toàn diện lộ trình ôn luyện. Qua đó, học sinh không chỉ làm chủ mọi dạng bài thi mà còn trang bị chiến thuật làm bài hiệu quả, tự tin đạt kết quả đột phá, tạo nền tảng vững chắc cho Kỳ thi Tốt nghiệp THPT Quốc gia và hành trang vững vàng vào đại học, nhờ phương pháp tiếp cận trực quan, khoa học và mang lại hiệu quả học tập vượt trội.
images-post/de-kiem-tra-giai-tich-12-chuong-1-nam-2019-2020-truong-trieu-quang-phuc-hung-yen-1.jpgimages-post/de-kiem-tra-giai-tich-12-chuong-1-nam-2019-2020-truong-trieu-quang-phuc-hung-yen-2.jpgimages-post/de-kiem-tra-giai-tich-12-chuong-1-nam-2019-2020-truong-trieu-quang-phuc-hung-yen-3.jpgimages-post/de-kiem-tra-giai-tich-12-chuong-1-nam-2019-2020-truong-trieu-quang-phuc-hung-yen-4.jpgimages-post/de-kiem-tra-giai-tich-12-chuong-1-nam-2019-2020-truong-trieu-quang-phuc-hung-yen-5.jpgimages-post/de-kiem-tra-giai-tich-12-chuong-1-nam-2019-2020-truong-trieu-quang-phuc-hung-yen-6.jpgimages-post/de-kiem-tra-giai-tich-12-chuong-1-nam-2019-2020-truong-trieu-quang-phuc-hung-yen-7.jpg

File đề kiểm tra giải tích 12 chương 1 năm 2019 – 2020 trường triệu quang phục – hưng yên PDF Chi Tiết

TÌM KIẾM THEO TỪ KHÓA