Logo Header
  1. Môn Toán
  2. kiểm tra giải tích 12 bài 4 năm 2017 – 2018 trường trần bình trọng – khánh hòa

kiểm tra giải tích 12 bài 4 năm 2017 – 2018 trường trần bình trọng – khánh hòa

Bạn đang xem tài liệu kiểm tra giải tích 12 bài 4 năm 2017 – 2018 trường trần bình trọng – khánh hòa được biên soạn theo học toán mới nhất. Tài liệu này hệ thống hóa kiến thức một cách khoa học, phù hợp cho mọi lộ trình học từ cơ bản đến nâng cao. Hãy khai thác triệt để nội dung để bứt phá điểm số và tự tin chinh phục mọi kỳ thi nhé!

Phân tích Đề Kiểm Tra Giải Tích 12 – Bài 4 (2017-2018) – Trường THPT Trần Bình Trọng, Khánh Hòa: Đánh giá chi tiết và xu hướng đề thi

Đề kiểm tra Giải tích 12 bài 4 năm học 2017-2018 của trường THPT Trần Bình Trọng, Khánh Hòa, là một đề kiểm tra một tiết tập trung vào chương 3 của chương trình Giải tích 12. Đề thi đánh giá mức độ nắm vững kiến thức và kỹ năng của học sinh trong các chủ đề cốt lõi sau:

  1. Nguyên hàm và các phương pháp tìm nguyên hàm: Đề kiểm tra khả năng nhận biết, vận dụng các quy tắc tính nguyên hàm cơ bản, cũng như sử dụng các phương pháp tìm nguyên hàm thông dụng như phương pháp đổi biến số, phương pháp tích phân từng phần.
  2. Tích phân và các phương pháp tính tích phân: Đề thi tập trung vào việc tính tích phân xác định, tích phân bất định, và ứng dụng các tính chất của tích phân để đơn giản hóa bài toán.
  3. Ứng dụng của tích phân: Đề kiểm tra khả năng sử dụng tích phân để giải quyết các bài toán thực tế, đặc biệt là bài toán tính diện tích hình phẳng.

Cấu trúc và hình thức đề thi:

Đề thi được thiết kế dưới dạng trắc nghiệm với 4 mã đề riêng biệt, mỗi mã đề gồm 25 câu hỏi. Hình thức trắc nghiệm 4 lựa chọn giúp đánh giá nhanh chóng và khách quan kiến thức của học sinh. Thời gian làm bài là 45 phút, đòi hỏi học sinh phải có tốc độ giải đề nhanh và chính xác. Điểm cộng của đề thi là có kèm đáp án, tạo điều kiện thuận lợi cho việc tự học và ôn tập.

Đánh giá mức độ khó và xu hướng đề thi:

Qua việc phân tích một số câu hỏi trích dẫn, có thể nhận thấy đề thi có độ khó tương đối, đòi hỏi học sinh không chỉ nắm vững lý thuyết mà còn phải có kỹ năng giải toán tốt. Các câu hỏi thường kết hợp nhiều kiến thức khác nhau, đòi hỏi học sinh phải có tư duy phân tích và vận dụng linh hoạt.

Ví dụ phân tích câu hỏi:

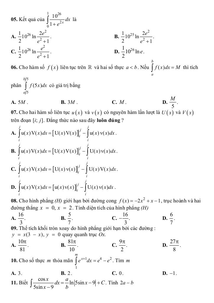
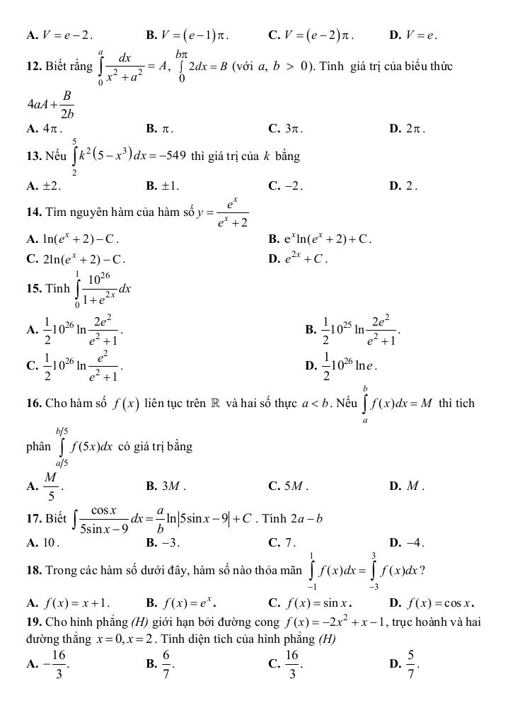
  • Câu 1: "Cho hình phẳng (H) giới hạn bởi đường cong f(x) = -2x^2 + x – 1, trục hoành và hai đường thẳng x = 0, x = 2. Diện tích của hình phẳng (H) là?" Đây là một bài toán điển hình về ứng dụng tích phân để tính diện tích hình phẳng. Học sinh cần xác định được giới hạn tích phân và biểu thức dưới dấu tích phân. Lưu ý, cần xét dấu của hàm số để đảm bảo diện tích tính được luôn dương.
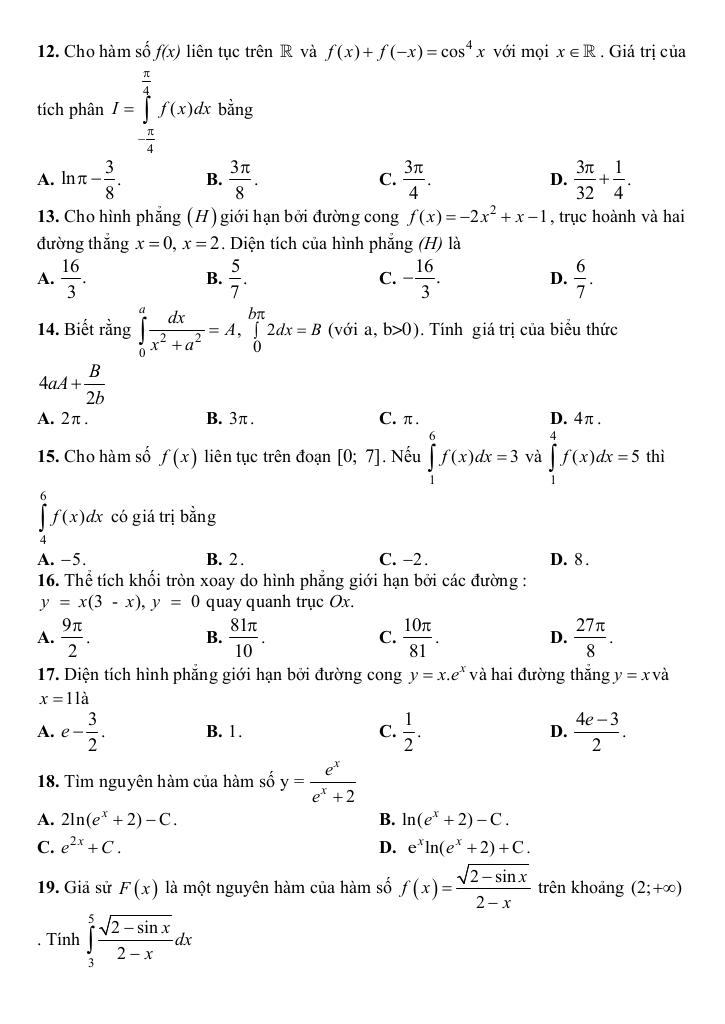
  • Câu 2: "Cho hai hàm số liên tục u(x) và v(x) có nguyên hàm lần lượt là U(x) và V(x) trên đoạn [i;j]. Đẳng thức nào sau đây luôn đúng?" Câu hỏi này kiểm tra kiến thức về tính chất của nguyên hàm và tích phân, cụ thể là công thức tính tích phân của tổng hoặc hiệu hai hàm số.
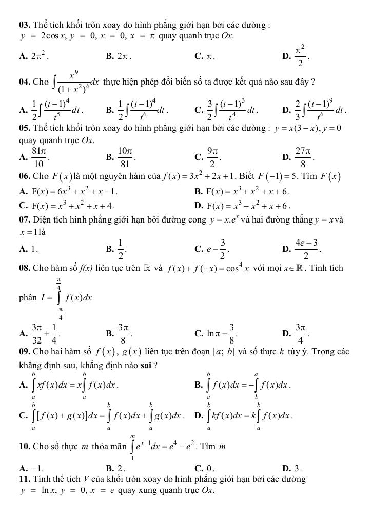
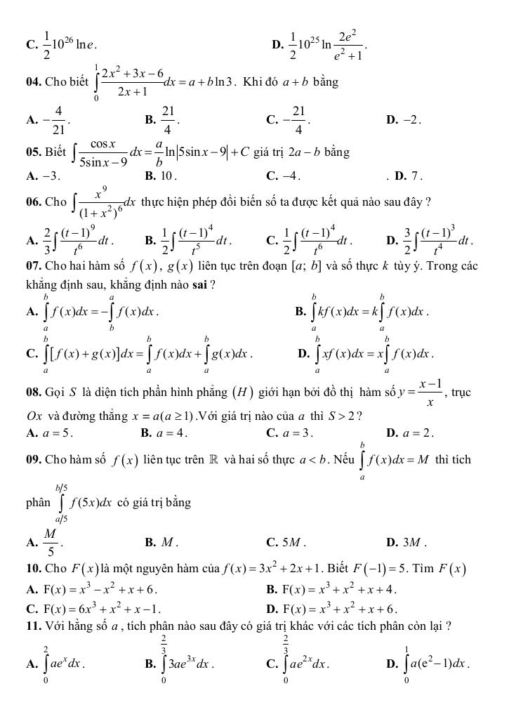
  • Câu 3: "Gọi S là diện tích phần hình phẳng (H) giới hạn bởi đồ thị hàm số y = (x – 1)/x, trục Ox và đường thẳng x = a (a ≥ 1). Với giá trị nào của a thì S > 2?" Đây là một bài toán kết hợp giữa tính tích phân và giải bất phương trình. Học sinh cần tính diện tích hình phẳng S theo a, sau đó giải bất phương trình S > 2 để tìm ra giá trị của a.

Nhận xét chung:

Đề kiểm tra Giải tích 12 – Bài 4 (2017-2018) – Trường THPT Trần Bình Trọng, Khánh Hòa là một đề thi chất lượng, bám sát chương trình và đánh giá được năng lực của học sinh một cách toàn diện. Đề thi có xu hướng tập trung vào các ứng dụng thực tế của tích phân, đặc biệt là bài toán tính diện tích hình phẳng. Để đạt kết quả tốt trong các bài kiểm tra tương tự, học sinh cần nắm vững lý thuyết, luyện tập thường xuyên các dạng bài tập khác nhau, và rèn luyện kỹ năng giải đề nhanh và chính xác.

Chinh phục điểm cao Kỳ thi Tốt nghiệp THPT Quốc gia môn Toán, rộng mở cánh cửa Đại học với nội dung kiểm tra giải tích 12 bài 4 năm 2017 – 2018 trường trần bình trọng – khánh hòa trong chuyên mục toán 12 trên nền tảng học toán! Bộ bài tập toán thpt, được biên soạn chuyên sâu, bám sát cấu trúc đề thi và chương trình Toán 12, cam kết tối ưu hóa toàn diện lộ trình ôn luyện. Qua đó, học sinh không chỉ làm chủ mọi dạng bài thi mà còn trang bị chiến thuật làm bài hiệu quả, tự tin đạt kết quả đột phá, tạo nền tảng vững chắc cho Kỳ thi Tốt nghiệp THPT Quốc gia và hành trang vững vàng vào đại học, nhờ phương pháp tiếp cận trực quan, khoa học và mang lại hiệu quả học tập vượt trội.
images-post/kiem-tra-giai-tich-12-bai-4-nam-2017-2018-truong-tran-binh-trong-khanh-hoa-01.jpgimages-post/kiem-tra-giai-tich-12-bai-4-nam-2017-2018-truong-tran-binh-trong-khanh-hoa-02.jpgimages-post/kiem-tra-giai-tich-12-bai-4-nam-2017-2018-truong-tran-binh-trong-khanh-hoa-03.jpgimages-post/kiem-tra-giai-tich-12-bai-4-nam-2017-2018-truong-tran-binh-trong-khanh-hoa-04.jpgimages-post/kiem-tra-giai-tich-12-bai-4-nam-2017-2018-truong-tran-binh-trong-khanh-hoa-05.jpgimages-post/kiem-tra-giai-tich-12-bai-4-nam-2017-2018-truong-tran-binh-trong-khanh-hoa-06.jpgimages-post/kiem-tra-giai-tich-12-bai-4-nam-2017-2018-truong-tran-binh-trong-khanh-hoa-07.jpgimages-post/kiem-tra-giai-tich-12-bai-4-nam-2017-2018-truong-tran-binh-trong-khanh-hoa-08.jpgimages-post/kiem-tra-giai-tich-12-bai-4-nam-2017-2018-truong-tran-binh-trong-khanh-hoa-09.jpgimages-post/kiem-tra-giai-tich-12-bai-4-nam-2017-2018-truong-tran-binh-trong-khanh-hoa-10.jpg

File kiểm tra giải tích 12 bài 4 năm 2017 – 2018 trường trần bình trọng – khánh hòa PDF Chi Tiết

TÌM KIẾM THEO TỪ KHÓA