Logo Header
  1. Môn Toán
  2. đề kiểm tra 45 phút chương 1 giải tích 12 năm 2018 – 2019 trường thpt bến tre – vĩnh phúc

đề kiểm tra 45 phút chương 1 giải tích 12 năm 2018 – 2019 trường thpt bến tre – vĩnh phúc

Bạn đang xem tài liệu đề kiểm tra 45 phút chương 1 giải tích 12 năm 2018 – 2019 trường thpt bến tre – vĩnh phúc được biên soạn theo môn toán mới nhất. Tài liệu này hệ thống hóa kiến thức một cách khoa học, phù hợp cho mọi lộ trình học từ cơ bản đến nâng cao. Hãy khai thác triệt để nội dung để bứt phá điểm số và tự tin chinh phục mọi kỳ thi nhé!
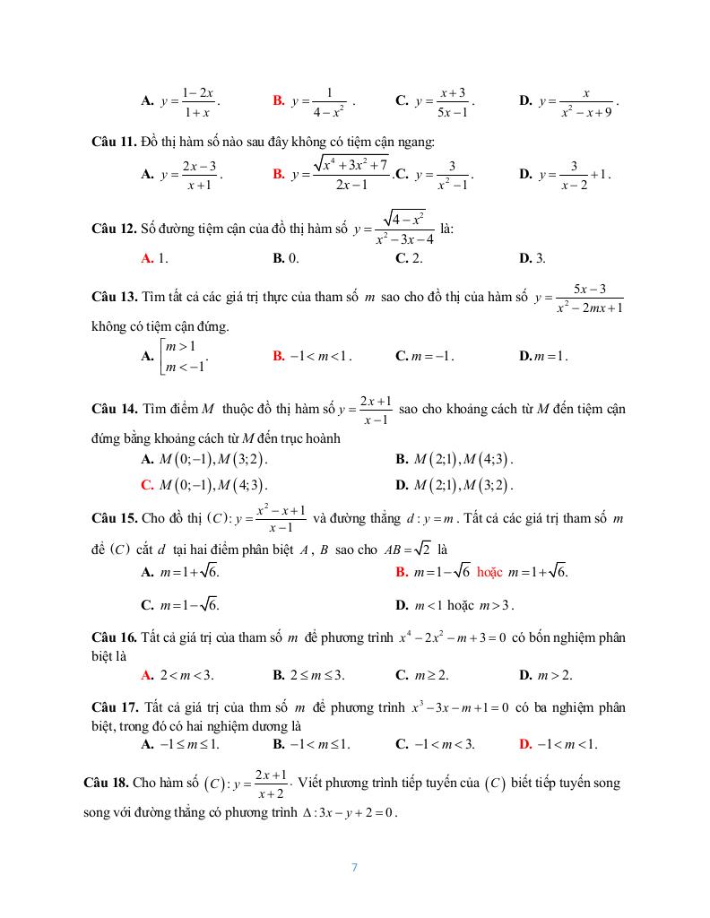
## Phân tích Đề Kiểm Tra 45 Phút Giải Tích 12 – Chương Hàm Số và Đồ Thị (2018-2019, THPT Bến Tre – Vĩnh Phúc) Bài viết này sẽ đi sâu vào phân tích một đề kiểm tra 45 phút môn Giải tích 12, thuộc chương trình chương 1 (Hàm số và Đồ thị), được sử dụng tại trường THPT Bến Tre – Vĩnh Phúc trong năm học 2018-2019. Đề thi bao gồm 20 câu hỏi trắc nghiệm khách quan, được thiết kế để đánh giá khả năng nắm vững kiến thức và kỹ năng giải quyết bài toán liên quan đến hàm số của học sinh. **Tổng quan về đề thi:** Đề thi có cấu trúc khá điển hình cho một bài kiểm tra trắc nghiệm 45 phút. Với 20 câu hỏi, đề thi bao phủ các khía cạnh quan trọng của chương Hàm số, bao gồm: * **Xác định tính chất của hàm số:** Tìm cực trị, khoảng đồng biến, nghịch biến. * **Đọc hiểu đồ thị hàm số:** Xác định các yếu tố của hàm số từ đồ thị và ngược lại. * **Ứng dụng của đạo hàm:** Giải các bài toán liên quan đến tham số và điều kiện bài toán. Việc cung cấp đáp án đi kèm là một điểm cộng, giúp học sinh tự đánh giá kết quả và rút kinh nghiệm sau khi làm bài. **Phân tích một số câu hỏi tiêu biểu:** * **Câu 1: Phân tích hàm số y = |x³ – 3x – 2|:** Câu hỏi này tập trung vào việc hiểu rõ ảnh hưởng của giá trị tuyệt đối đến đồ thị hàm số. Học sinh cần phân tích hàm số bên trong dấu giá trị tuyệt đối, xác định các điểm cực trị và sau đó suy ra hình dạng đồ thị của hàm số y = |x³ – 3x – 2|. Việc lựa chọn đáp án đúng đòi hỏi học sinh phải có khả năng quan sát và suy luận logic từ đồ thị. * **Câu 2: Nhận biết đồ thị hàm số:** Đây là một dạng bài tập thường gặp, yêu cầu học sinh phải nắm vững các đồ thị hàm số cơ bản (như hàm bậc nhất, hàm bậc hai, hàm mũ, hàm logarit) và khả năng phân tích các đặc điểm của đồ thị (như điểm cắt trục, điểm cực trị, tiệm cận) để đưa ra kết luận chính xác. * **Câu 3: Bài toán tham số và điều kiện hình học:** Câu hỏi về tìm giá trị của *m* để đồ thị hàm số y = x⁴ – 2mx² + 2m + m⁴ có ba điểm cực trị tạo thành một tam giác đều là một bài toán nâng cao, đòi hỏi học sinh phải kết hợp kiến thức về đạo hàm, cực trị hàm số và hình học. Để giải quyết bài toán này, học sinh cần tìm điều kiện để hàm số có ba điểm cực trị, sau đó sử dụng các công thức tính khoảng cách và góc để thiết lập phương trình liên quan đến tham số *m*. **Đánh giá chung:** Đề thi có độ khó tương đối, phù hợp với trình độ học sinh lớp 12 đang ôn thi tốt nghiệp THPT hoặc chuẩn bị cho các kỳ thi chuyên sâu. Các câu hỏi được thiết kế đa dạng, giúp đánh giá toàn diện kiến thức và kỹ năng của học sinh. **Gợi ý cho học sinh:** * **Nắm vững lý thuyết:** Hiểu rõ các khái niệm, định lý và công thức liên quan đến hàm số và đồ thị. * **Luyện tập thường xuyên:** Giải nhiều bài tập khác nhau để rèn luyện kỹ năng giải quyết bài toán. * **Phân tích đồ thị:** Tập trung vào việc đọc hiểu và phân tích đồ thị hàm số. * **Sử dụng các phương pháp giải toán:** Áp dụng các phương pháp giải toán phù hợp để tiếp cận các bài toán khó. **Tài liệu tham khảo:** File WORD của đề thi (dành cho giáo viên) là một nguồn tài liệu hữu ích để tham khảo và sử dụng trong quá trình giảng dạy và ôn tập.
Chinh phục điểm cao Kỳ thi Tốt nghiệp THPT Quốc gia môn Toán, rộng mở cánh cửa Đại học với nội dung đề kiểm tra 45 phút chương 1 giải tích 12 năm 2018 – 2019 trường thpt bến tre – vĩnh phúc trong chuyên mục bài tập toán 12 trên nền tảng môn toán! Bộ bài tập toán thpt, được biên soạn chuyên sâu, bám sát cấu trúc đề thi và chương trình Toán 12, cam kết tối ưu hóa toàn diện lộ trình ôn luyện. Qua đó, học sinh không chỉ làm chủ mọi dạng bài thi mà còn trang bị chiến thuật làm bài hiệu quả, tự tin đạt kết quả đột phá, tạo nền tảng vững chắc cho Kỳ thi Tốt nghiệp THPT Quốc gia và hành trang vững vàng vào đại học, nhờ phương pháp tiếp cận trực quan, khoa học và mang lại hiệu quả học tập vượt trội.
images-post/de-kiem-tra-45-phut-chuong-1-giai-tich-12-nam-2018-2019-truong-thpt-ben-tre-vinh-phuc-01.jpgimages-post/de-kiem-tra-45-phut-chuong-1-giai-tich-12-nam-2018-2019-truong-thpt-ben-tre-vinh-phuc-02.jpgimages-post/de-kiem-tra-45-phut-chuong-1-giai-tich-12-nam-2018-2019-truong-thpt-ben-tre-vinh-phuc-03.jpgimages-post/de-kiem-tra-45-phut-chuong-1-giai-tich-12-nam-2018-2019-truong-thpt-ben-tre-vinh-phuc-04.jpgimages-post/de-kiem-tra-45-phut-chuong-1-giai-tich-12-nam-2018-2019-truong-thpt-ben-tre-vinh-phuc-05.jpgimages-post/de-kiem-tra-45-phut-chuong-1-giai-tich-12-nam-2018-2019-truong-thpt-ben-tre-vinh-phuc-06.jpgimages-post/de-kiem-tra-45-phut-chuong-1-giai-tich-12-nam-2018-2019-truong-thpt-ben-tre-vinh-phuc-07.jpgimages-post/de-kiem-tra-45-phut-chuong-1-giai-tich-12-nam-2018-2019-truong-thpt-ben-tre-vinh-phuc-08.jpgimages-post/de-kiem-tra-45-phut-chuong-1-giai-tich-12-nam-2018-2019-truong-thpt-ben-tre-vinh-phuc-09.jpgimages-post/de-kiem-tra-45-phut-chuong-1-giai-tich-12-nam-2018-2019-truong-thpt-ben-tre-vinh-phuc-10.jpg

File đề kiểm tra 45 phút chương 1 giải tích 12 năm 2018 – 2019 trường thpt bến tre – vĩnh phúc PDF Chi Tiết

TÌM KIẾM THEO TỪ KHÓA