Logo Header
  1. Môn Toán
  2. kiểm tra tập trung lần 1 hk1 toán 12 năm 2018 – 2019 trường lê thanh hiền – tiền giang

kiểm tra tập trung lần 1 hk1 toán 12 năm 2018 – 2019 trường lê thanh hiền – tiền giang

Bạn đang xem tài liệu kiểm tra tập trung lần 1 hk1 toán 12 năm 2018 – 2019 trường lê thanh hiền – tiền giang được biên soạn theo soạn toán mới nhất. Tài liệu này hệ thống hóa kiến thức một cách khoa học, phù hợp cho mọi lộ trình học từ cơ bản đến nâng cao. Hãy khai thác triệt để nội dung để bứt phá điểm số và tự tin chinh phục mọi kỳ thi nhé!

Phân tích Đề Kiểm Tra Tập Trung Lần 1 HK1 Toán 12 (2018-2019) – Trường Lê Thanh Hiền, Tiền Giang (Mã đề 109)

Đề kiểm tra tập trung lần 1 học kỳ 1 môn Toán 12 năm học 2018-2019 của trường Lê Thanh Hiền, Tiền Giang, mã đề 109, là một đề thi trắc nghiệm khách quan với 25 câu hỏi, được thiết kế trong thời gian 45 phút. Đề thi này tập trung đánh giá kiến thức và kỹ năng của học sinh trong chương 1 Giải tích 12, cụ thể là các ứng dụng của đạo hàm để khảo sát và vẽ đồ thị hàm số. Kỳ kiểm tra được thực hiện vào ngày 01 tháng 10 năm 2018.

Đánh giá chung về cấu trúc và nội dung đề thi:

  • Hình thức: Đề thi trắc nghiệm khách quan giúp đánh giá nhanh chóng và hiệu quả khả năng nắm vững kiến thức lý thuyết và kỹ năng giải quyết các bài toán cơ bản liên quan đến đạo hàm.
  • Phạm vi kiến thức: Đề thi bao phủ các nội dung cốt lõi của chương 1, bao gồm:
    • Tìm cực trị của hàm số.
    • Khảo sát sự biến thiên và vẽ đồ thị hàm số.
    • Ứng dụng đạo hàm trong các bài toán vật lý (ví dụ: tìm vận tốc, gia tốc).
    • Đường tiệm cận và các ứng dụng liên quan.
  • Độ khó: Dựa trên các câu hỏi được trích dẫn, đề thi có độ khó tương đối, đòi hỏi học sinh phải có sự hiểu biết sâu sắc về lý thuyết và khả năng vận dụng linh hoạt các công thức, định lý.

Phân tích chi tiết một số câu hỏi trích dẫn:

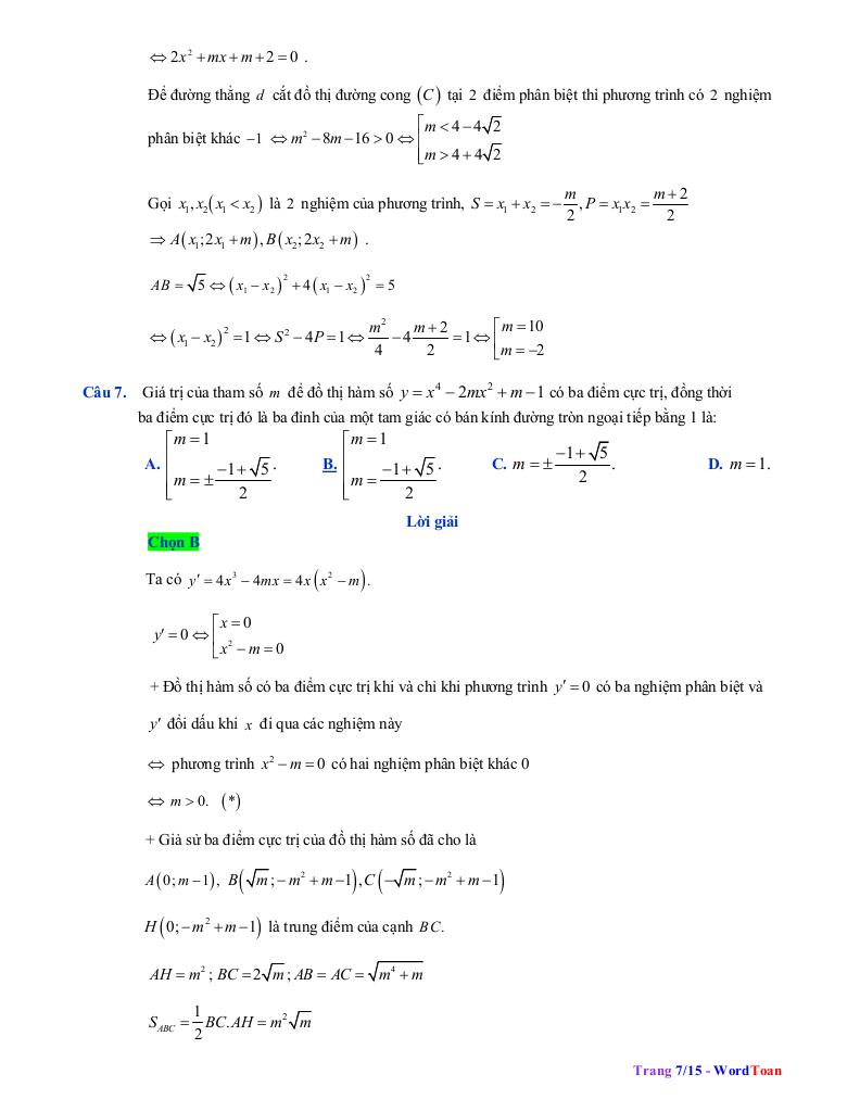
  1. Câu 1: “Giá trị của tham số m để đồ thị hàm số y = x4 – 2mx2 + m – 1 có ba điểm cực trị, đồng thời ba điểm cực trị đó là ba đỉnh của một tam giác có bán kính đường tròn ngoại tiếp bằng 1 là?”

    Đây là một câu hỏi điển hình về việc khảo sát hàm số bậc bốn. Để giải quyết bài toán này, học sinh cần:

    • Tìm điều kiện để hàm số có ba điểm cực trị (dựa vào đạo hàm bậc nhất và bậc hai).
    • Xác định tọa độ các điểm cực trị.
    • Sử dụng kiến thức về đường tròn ngoại tiếp tam giác để thiết lập phương trình liên quan đến bán kính đường tròn và tọa độ các điểm cực trị.
    • Giải phương trình để tìm giá trị của m.

    Câu hỏi này đòi hỏi học sinh phải kết hợp nhiều kiến thức và kỹ năng khác nhau.

  2. Câu 2: “Cho hàm số y = (4mx + 3m)/(x – 2). Giá trị của m để đường tiệm cận đứng, tiệm cận ngang của đồ thị hàm số cùng hai trục tọa độ tạo thành một hình chữ nhật có diện tích bằng 2018 là?”

    Bài toán này tập trung vào việc tìm tiệm cận của hàm số hữu tỉ và ứng dụng vào việc tính diện tích hình chữ nhật. Học sinh cần:

    • Xác định phương trình đường tiệm cận đứng và tiệm cận ngang của hàm số.
    • Tìm tọa độ giao điểm của các đường tiệm cận với các trục tọa độ.
    • Tính diện tích hình chữ nhật tạo bởi các đường tiệm cận và hai trục tọa độ.
    • Giải phương trình để tìm giá trị của m.

    Câu hỏi này kiểm tra khả năng vận dụng kiến thức về tiệm cận và tính toán diện tích hình học.

  3. Câu 3: “Một chất điểm chuyển động theo phương trình s(t) = -2t3 + 18t2 + 2t + 1, trong đó t tính bằng giây (s) và s(t) tính bằng mét (m). Thời gian vận tốc chất điểm đạt giá trị lớn nhất là?”

    Đây là một bài toán ứng dụng đạo hàm trong vật lý. Học sinh cần:

    • Tìm hàm vận tốc v(t) bằng cách lấy đạo hàm của hàm vị trí s(t).
    • Tìm đạo hàm bậc hai v'(t) để xác định thời điểm vận tốc đạt giá trị lớn nhất (v'(t) = 0).
    • Kiểm tra điều kiện để thời điểm đó là điểm cực đại của hàm vận tốc (v''(t) < 0).

    Câu hỏi này kiểm tra khả năng liên hệ giữa đạo hàm và các khái niệm vật lý như vận tốc và gia tốc.

Tài liệu hỗ trợ:

Đề thi này là một tài liệu tham khảo hữu ích cho học sinh và giáo viên trong quá trình ôn tập và giảng dạy chương 1 Giải tích 12. File WORD của đề thi (dành cho giáo viên) có thể được tải xuống để phục vụ cho công tác chuyên môn.

Chinh phục điểm cao Kỳ thi Tốt nghiệp THPT Quốc gia môn Toán, rộng mở cánh cửa Đại học với nội dung kiểm tra tập trung lần 1 hk1 toán 12 năm 2018 – 2019 trường lê thanh hiền – tiền giang trong chuyên mục toán lớp 12 trên nền tảng soạn toán! Bộ bài tập toán trung học phổ thông, được biên soạn chuyên sâu, bám sát cấu trúc đề thi và chương trình Toán 12, cam kết tối ưu hóa toàn diện lộ trình ôn luyện. Qua đó, học sinh không chỉ làm chủ mọi dạng bài thi mà còn trang bị chiến thuật làm bài hiệu quả, tự tin đạt kết quả đột phá, tạo nền tảng vững chắc cho Kỳ thi Tốt nghiệp THPT Quốc gia và hành trang vững vàng vào đại học, nhờ phương pháp tiếp cận trực quan, khoa học và mang lại hiệu quả học tập vượt trội.
images-post/kiem-tra-tap-trung-lan-1-hk1-toan-12-nam-2018-2019-truong-le-thanh-hien-tien-giang-01.jpgimages-post/kiem-tra-tap-trung-lan-1-hk1-toan-12-nam-2018-2019-truong-le-thanh-hien-tien-giang-02.jpgimages-post/kiem-tra-tap-trung-lan-1-hk1-toan-12-nam-2018-2019-truong-le-thanh-hien-tien-giang-03.jpgimages-post/kiem-tra-tap-trung-lan-1-hk1-toan-12-nam-2018-2019-truong-le-thanh-hien-tien-giang-04.jpgimages-post/kiem-tra-tap-trung-lan-1-hk1-toan-12-nam-2018-2019-truong-le-thanh-hien-tien-giang-05.jpgimages-post/kiem-tra-tap-trung-lan-1-hk1-toan-12-nam-2018-2019-truong-le-thanh-hien-tien-giang-06.jpgimages-post/kiem-tra-tap-trung-lan-1-hk1-toan-12-nam-2018-2019-truong-le-thanh-hien-tien-giang-07.jpgimages-post/kiem-tra-tap-trung-lan-1-hk1-toan-12-nam-2018-2019-truong-le-thanh-hien-tien-giang-08.jpgimages-post/kiem-tra-tap-trung-lan-1-hk1-toan-12-nam-2018-2019-truong-le-thanh-hien-tien-giang-09.jpgimages-post/kiem-tra-tap-trung-lan-1-hk1-toan-12-nam-2018-2019-truong-le-thanh-hien-tien-giang-10.jpg

File kiểm tra tập trung lần 1 hk1 toán 12 năm 2018 – 2019 trường lê thanh hiền – tiền giang PDF Chi Tiết

TÌM KIẾM THEO TỪ KHÓA