Logo Header
  1. Môn Toán
  2. đề thi chung giữa kỳ 1 môn giải tích 12 trường thpt đa phúc – hà nội

đề thi chung giữa kỳ 1 môn giải tích 12 trường thpt đa phúc – hà nội

Bạn đang xem tài liệu đề thi chung giữa kỳ 1 môn giải tích 12 trường thpt đa phúc – hà nội được biên soạn theo toán math mới nhất. Tài liệu này hệ thống hóa kiến thức một cách khoa học, phù hợp cho mọi lộ trình học từ cơ bản đến nâng cao. Hãy khai thác triệt để nội dung để bứt phá điểm số và tự tin chinh phục mọi kỳ thi nhé!

Phân tích Đề Thi Giữa Kỳ 1 Giải Tích 12 – THPT Đa Phúc, Hà Nội: Ứng Dụng Đạo Hàm Khảo Sát Hàm Số

Đề thi giữa kỳ 1 môn Giải tích 12 của trường THPT Đa Phúc, Hà Nội, tập trung vào chương 1 – Ứng dụng đạo hàm để khảo sát sự biến thiên và vẽ đồ thị hàm số. Đề thi có cấu trúc 25 câu trắc nghiệm, thời gian làm bài 45 phút, cho thấy yêu cầu thí sinh cần nắm vững kiến thức và kỹ năng giải quyết bài toán một cách nhanh chóng và chính xác.

Nhìn chung, đề thi đánh giá khả năng của học sinh trong việc:

  • Hiểu và vận dụng các khái niệm cơ bản về đạo hàm: Đạo hàm của hàm số, điều kiện cần và đủ để hàm số đạt cực trị, khoảng đồng biến, nghịch biến.
  • Sử dụng đạo hàm để khảo sát hàm số: Xác định cực trị, điểm uốn, giới hạn, và vẽ đồ thị hàm số.
  • Giải quyết các bài toán liên quan đến phương trình, bất phương trình chứa giá trị tuyệt đối: Đặc biệt là các bài toán yêu cầu tìm điều kiện để phương trình có một số nghiệm phân biệt.
  • Ứng dụng đạo hàm vào hình học: Viết phương trình tiếp tuyến của đồ thị hàm số.

Dưới đây là phân tích chi tiết một số câu hỏi trích dẫn:

Câu 1: Đồ thị hàm số y = x4 – 2x2 – 3 và phương trình |x4 – 2x2 – 3| = 3m.

Đây là một bài toán điển hình về việc sử dụng đồ thị hàm số để giải phương trình. Để giải quyết bài toán này, học sinh cần:

  1. Phân tích đồ thị hàm số y = x4 – 2x2 – 3 để xác định các điểm cực trị, khoảng đồng biến, nghịch biến.
  2. Hiểu rõ ý nghĩa của giá trị tuyệt đối: |f(x)| = a tương đương với f(x) = a hoặc f(x) = -a.
  3. Vẽ đồ thị hàm số y = |x4 – 2x2 – 3| bằng cách lấy phần đồ thị nằm phía trên trục hoành giữ nguyên, phần nằm phía dưới trục hoành đối xứng qua trục hoành.
  4. Xác định số nghiệm của phương trình |x4 – 2x2 – 3| = 3m dựa vào số giao điểm của đồ thị y = |x4 – 2x2 – 3| và đường thẳng y = 3m.

Đáp án đúng là A. 3 < m < 4. Việc lựa chọn đáp án này đòi hỏi thí sinh phải có khả năng hình dung và phân tích đồ thị một cách chính xác.

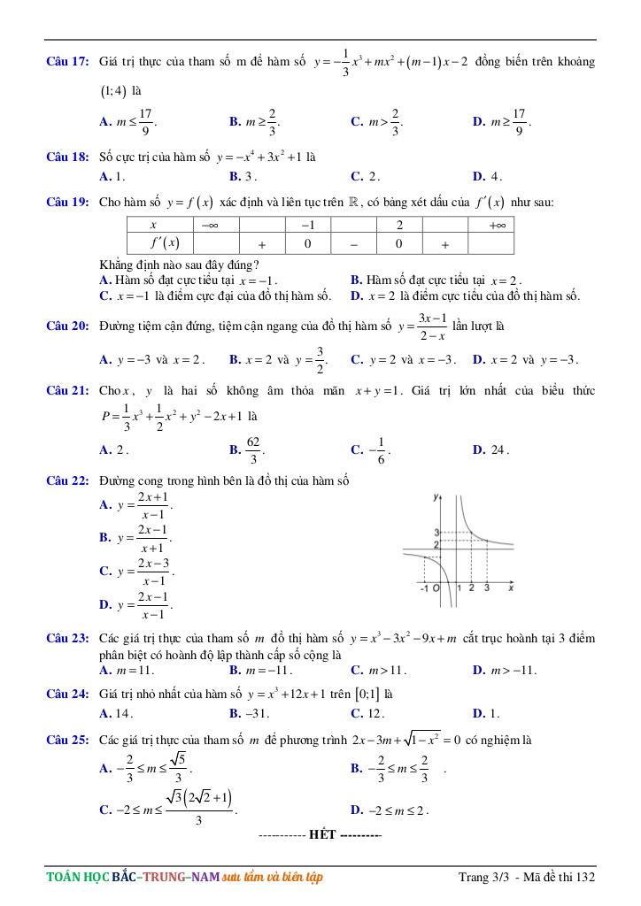
Câu 2: Hàm số y = x3 – 3x2 – 9x + m cắt trục hoành tại 3 điểm phân biệt có hoành độ lập thành cấp số cộng.

Bài toán này yêu cầu học sinh kết hợp kiến thức về đạo hàm, cực trị của hàm số và tính chất của cấp số cộng. Cách tiếp cận thường là:

  1. Tính đạo hàm y' = 3x2 – 6x – 9.
  2. Giải phương trình y' = 0 để tìm các điểm cực trị: x1 = -1, x2 = 3.
  3. Vì hoành độ các giao điểm lập thành cấp số cộng, ta có thể giả sử chúng là a - d, a, a + d. Khi đó, a phải là trung bình cộng của -1 và 3, tức a = 1.
  4. Thay x = 1 vào hàm số y = x3 – 3x2 – 9x + m, ta có y(1) = 1 - 3 - 9 + m = m - 11. Để hàm số cắt trục hoành tại 3 điểm phân biệt, y(1) = 0, suy ra m = 11.

Đáp án đúng là A. m = 11. Bài toán này kiểm tra khả năng liên kết các kiến thức khác nhau để giải quyết vấn đề.

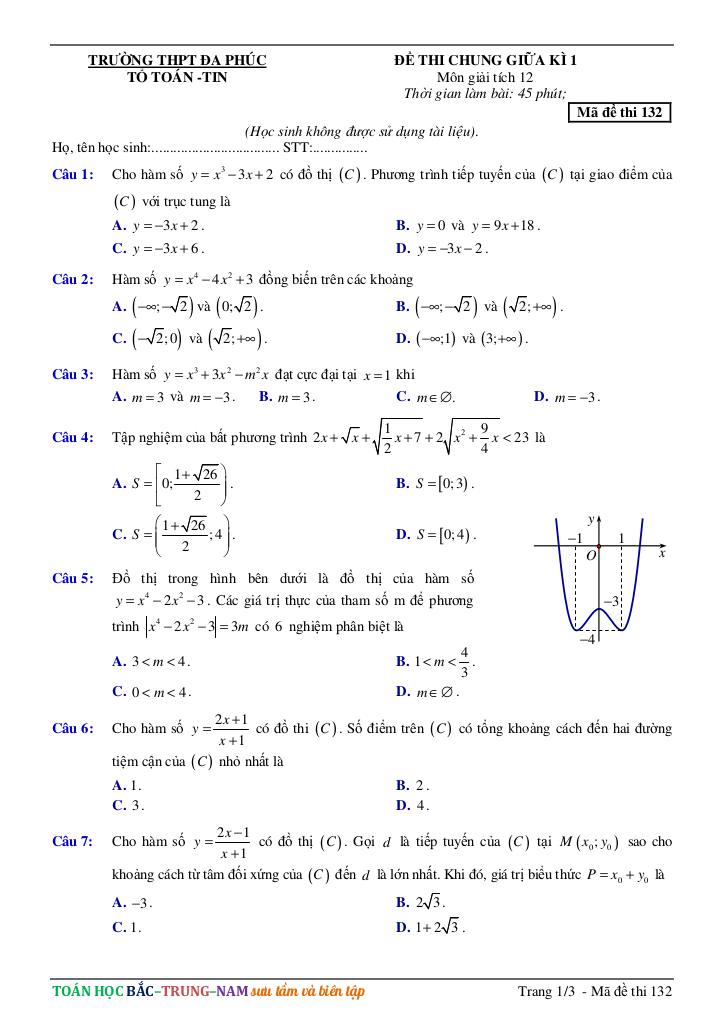
Câu 3: Hàm số y = x3 – 3x + 2 và phương trình tiếp tuyến tại giao điểm với trục tung.

Để giải bài toán này, học sinh cần:

  1. Tìm giao điểm của đồ thị hàm số với trục tung: x = 0 => y = 2. Vậy giao điểm là (0, 2).
  2. Tính đạo hàm y' = 3x2 – 3.
  3. Tính hệ số góc của tiếp tuyến tại x = 0: k = y'(0) = -3.
  4. Viết phương trình tiếp tuyến: y - 2 = -3(x - 0) => y = -3x + 2.

Đáp án đúng là A. y = -3x + 2. Đây là một bài toán cơ bản về việc viết phương trình tiếp tuyến của đồ thị hàm số.

Đánh giá chung: Đề thi có độ khó vừa phải, tập trung vào các kiến thức trọng tâm của chương. Các câu hỏi được trình bày rõ ràng, dễ hiểu. Đề thi phù hợp để đánh giá mức độ nắm vững kiến thức và kỹ năng của học sinh trong việc ứng dụng đạo hàm để khảo sát hàm số.

Chinh phục điểm cao Kỳ thi Tốt nghiệp THPT Quốc gia môn Toán, rộng mở cánh cửa Đại học với nội dung đề thi chung giữa kỳ 1 môn giải tích 12 trường thpt đa phúc – hà nội trong chuyên mục giải sgk toán 12 trên nền tảng toán math! Bộ bài tập toán trung học phổ thông, được biên soạn chuyên sâu, bám sát cấu trúc đề thi và chương trình Toán 12, cam kết tối ưu hóa toàn diện lộ trình ôn luyện. Qua đó, học sinh không chỉ làm chủ mọi dạng bài thi mà còn trang bị chiến thuật làm bài hiệu quả, tự tin đạt kết quả đột phá, tạo nền tảng vững chắc cho Kỳ thi Tốt nghiệp THPT Quốc gia và hành trang vững vàng vào đại học, nhờ phương pháp tiếp cận trực quan, khoa học và mang lại hiệu quả học tập vượt trội.
images-post/de-thi-chung-giua-ky-1-mon-giai-tich-12-truong-thpt-da-phuc-ha-noi-1.jpgimages-post/de-thi-chung-giua-ky-1-mon-giai-tich-12-truong-thpt-da-phuc-ha-noi-2.jpgimages-post/de-thi-chung-giua-ky-1-mon-giai-tich-12-truong-thpt-da-phuc-ha-noi-3.jpg

File đề thi chung giữa kỳ 1 môn giải tích 12 trường thpt đa phúc – hà nội PDF Chi Tiết

TÌM KIẾM THEO TỪ KHÓA