Logo Header
  1. Môn Toán
  2. đề kiểm tra 1 tiết giải tích 12 chương 1 năm 2018 – 2019 trường thpt đức hòa – long an

đề kiểm tra 1 tiết giải tích 12 chương 1 năm 2018 – 2019 trường thpt đức hòa – long an

Bạn đang xem tài liệu đề kiểm tra 1 tiết giải tích 12 chương 1 năm 2018 – 2019 trường thpt đức hòa – long an được biên soạn theo soạn toán mới nhất. Tài liệu này hệ thống hóa kiến thức một cách khoa học, phù hợp cho mọi lộ trình học từ cơ bản đến nâng cao. Hãy khai thác triệt để nội dung để bứt phá điểm số và tự tin chinh phục mọi kỳ thi nhé!
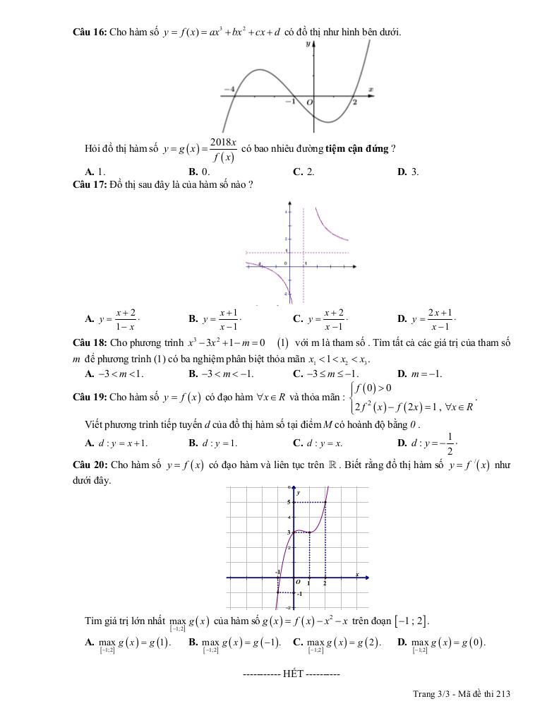
## Phân tích Đề Kiểm Tra 1 Tiết Giải Tích 12 – Chương Hàm Số và Đồ Thị (THPT Đức Hòa, Long An – 2018-2019) Bài viết này sẽ phân tích chi tiết đề kiểm tra 1 tiết môn Giải tích 12, chương 1, năm học 2018-2019 của trường THPT Đức Hòa, Long An (mã đề 213). Đề thi có cấu trúc trắc nghiệm khách quan với 20 câu hỏi, tập trung đánh giá kiến thức về hàm số và đồ thị, là một công cụ hữu ích để học sinh tự đánh giá năng lực sau khi hoàn thành chương học. **Đánh giá chung về đề thi:** Đề thi được xây dựng theo hướng đánh giá khả năng vận dụng kiến thức cơ bản về hàm số, đạo hàm và ứng dụng của đạo hàm trong việc khảo sát hàm số. Các câu hỏi được trình bày rõ ràng, yêu cầu thí sinh nắm vững định nghĩa, định lý và kỹ năng giải toán liên quan đến chủ đề hàm số. Hình thức trắc nghiệm giúp tiết kiệm thời gian, phù hợp với việc kiểm tra nhanh kiến thức và kỹ năng của học sinh. **Phân tích một số câu hỏi tiêu biểu:** * **Câu 1: Liên hệ giữa đạo hàm và tính đơn điệu của hàm số.** Câu hỏi này kiểm tra sự hiểu biết cơ bản về mối quan hệ giữa đạo hàm và tính đơn điệu của hàm số. Cụ thể, yêu cầu thí sinh xác định mệnh đề đúng liên quan đến dấu của đạo hàm và chiều biến thiên của hàm số. * **Phân tích:** Mệnh đề A là đáp án đúng. Nếu f'(x) > 0 trên khoảng (a,b) thì hàm số y = f(x) đồng biến trên khoảng đó. Các mệnh đề còn lại đều sai vì chiều biến thiên của hàm số phụ thuộc vào dấu của đạo hàm, không phụ thuộc vào giá trị của hàm số f(x). * **Nhận xét:** Đây là một câu hỏi quan trọng, thể hiện sự nắm vững lý thuyết cơ bản về đạo hàm và ứng dụng của nó. * **Câu 2: Đọc và phân tích bảng biến thiên.** Câu hỏi này yêu cầu thí sinh đọc và phân tích bảng biến thiên của hàm số để xác định khoảng đồng biến của hàm số. * **Phân tích:** Để trả lời chính xác câu hỏi này, thí sinh cần quan sát kỹ bảng biến thiên, xác định các khoảng mà hàm số có đạo hàm dương (f'(x) > 0). Khoảng đồng biến của hàm số chính là các khoảng này. * **Nhận xét:** Kỹ năng đọc và phân tích bảng biến thiên là rất quan trọng trong việc khảo sát hàm số. * **Câu 3: Ứng dụng đạo hàm để giải phương trình tìm tham số.** Câu hỏi này kiểm tra khả năng vận dụng đạo hàm để giải phương trình và tìm tham số. Yêu cầu thí sinh tìm các giá trị của tham số *m* để phương trình bậc ba có ba nghiệm phân biệt thỏa mãn điều kiện cho trước. * **Phân tích:** Để giải quyết bài toán này, thí sinh cần: 1. Tính đạo hàm của hàm số f(x) = x³ - 3x² + 1 - m. 2. Tìm các điểm cực trị của hàm số. 3. Sử dụng điều kiện có ba nghiệm phân biệt và điều kiện về vị trí của các nghiệm để thiết lập các bất phương trình chứa tham số *m*. 4. Giải các bất phương trình để tìm ra các giá trị của *m* thỏa mãn. * **Nhận xét:** Đây là một câu hỏi nâng cao, đòi hỏi thí sinh phải có kỹ năng giải toán tốt và khả năng vận dụng kiến thức một cách linh hoạt. **Kết luận:** Đề kiểm tra 1 tiết Giải tích 12 chương 1 của trường THPT Đức Hòa, Long An là một đề thi có chất lượng, đánh giá đúng mức độ kiến thức và kỹ năng của học sinh về chủ đề hàm số và đồ thị. Việc phân tích chi tiết các câu hỏi trong đề thi sẽ giúp học sinh hiểu rõ hơn về cấu trúc đề thi, nắm vững kiến thức và rèn luyện kỹ năng giải toán, từ đó đạt kết quả tốt hơn trong các kỳ thi sắp tới.
Chinh phục điểm cao Kỳ thi Tốt nghiệp THPT Quốc gia môn Toán, rộng mở cánh cửa Đại học với nội dung đề kiểm tra 1 tiết giải tích 12 chương 1 năm 2018 – 2019 trường thpt đức hòa – long an trong chuyên mục bài tập toán 12 trên nền tảng soạn toán! Bộ bài tập lý thuyết toán thpt, được biên soạn chuyên sâu, bám sát cấu trúc đề thi và chương trình Toán 12, cam kết tối ưu hóa toàn diện lộ trình ôn luyện. Qua đó, học sinh không chỉ làm chủ mọi dạng bài thi mà còn trang bị chiến thuật làm bài hiệu quả, tự tin đạt kết quả đột phá, tạo nền tảng vững chắc cho Kỳ thi Tốt nghiệp THPT Quốc gia và hành trang vững vàng vào đại học, nhờ phương pháp tiếp cận trực quan, khoa học và mang lại hiệu quả học tập vượt trội.
images-post/de-kiem-tra-1-tiet-giai-tich-12-chuong-1-nam-2018-2019-truong-thpt-duc-hoa-long-an-1.jpgimages-post/de-kiem-tra-1-tiet-giai-tich-12-chuong-1-nam-2018-2019-truong-thpt-duc-hoa-long-an-2.jpgimages-post/de-kiem-tra-1-tiet-giai-tich-12-chuong-1-nam-2018-2019-truong-thpt-duc-hoa-long-an-3.jpgimages-post/de-kiem-tra-1-tiet-giai-tich-12-chuong-1-nam-2018-2019-truong-thpt-duc-hoa-long-an-4.jpgimages-post/de-kiem-tra-1-tiet-giai-tich-12-chuong-1-nam-2018-2019-truong-thpt-duc-hoa-long-an-5.jpgimages-post/de-kiem-tra-1-tiet-giai-tich-12-chuong-1-nam-2018-2019-truong-thpt-duc-hoa-long-an-6.jpg

File đề kiểm tra 1 tiết giải tích 12 chương 1 năm 2018 – 2019 trường thpt đức hòa – long an PDF Chi Tiết

TÌM KIẾM THEO TỪ KHÓA