Logo Header
  1. Môn Toán
  2. đề kiểm tra chương 1 đại số và giải tích 11 trường thpt thăng long – lâm đồng

đề kiểm tra chương 1 đại số và giải tích 11 trường thpt thăng long – lâm đồng

Bạn đang xem tài liệu đề kiểm tra chương 1 đại số và giải tích 11 trường thpt thăng long – lâm đồng được biên soạn theo toán mới nhất. Tài liệu này hệ thống hóa kiến thức một cách khoa học, phù hợp cho mọi lộ trình học từ cơ bản đến nâng cao. Hãy khai thác triệt để nội dung để bứt phá điểm số và tự tin chinh phục mọi kỳ thi nhé!

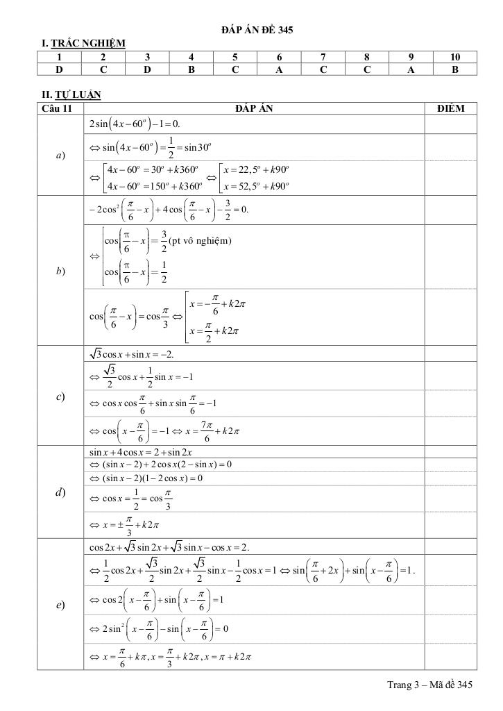
giaibaitoan.com xin giới thiệu đến quý thầy cô giáo và các em học sinh khối 11 đề kiểm tra chương 1 môn Đại số và Giải tích 11 của trường THPT Thăng Long – Lâm Hà – Lâm Đồng. Đề kiểm tra này là một công cụ hữu ích để đánh giá năng lực nắm vững kiến thức về hàm số lượng giác và phương trình lượng giác – những chủ đề trọng tâm của chương học.

Cấu trúc đề thi: Đề thi có cấu trúc kết hợp giữa trắc nghiệm và tự luận, bao gồm:

  1. 10 câu trắc nghiệm (4 điểm): Hình thức này giúp kiểm tra nhanh khả năng hiểu và vận dụng các công thức, định lý cơ bản.
  2. 01 câu tự luận (6 điểm): Yêu cầu trình bày chi tiết lời giải, đánh giá khả năng phân tích, suy luận và giải quyết vấn đề của học sinh.

Thời gian làm bài: 45 phút.

Nội dung chi tiết: Đề kiểm tra tập trung vào các kiến thức sau:

  • Phương trình lượng giác: Đề bài đưa ra các phương trình lượng giác với tham số, yêu cầu học sinh tìm điều kiện để phương trình có nghiệm, hoặc tìm tổng các giá trị nguyên của tham số thỏa mãn. Ví dụ:
    • "Tổng tất cả các giá trị nguyên của m để phương trình 4sinx + (m – 4)cosx = 2m – 5 có nghiệm là?"
  • Miền giá trị của hàm số lượng giác: Đề bài yêu cầu tìm giá trị lớn nhất và giá trị nhỏ nhất của hàm số lượng giác. Ví dụ:
    • "Tìm giá trị lớn nhất M và giá trị nhỏ nhất m của hàm số y = 3sinx – 2."
  • Phương trình lượng giác nâng cao: Đề bài đưa ra phương trình lượng giác với hàm số lượng giác mũ, yêu cầu học sinh tìm điều kiện để phương trình có nghiệm. Ví dụ:
    • "Tìm tất cả các giá trị của tham số m để phương trình (cos3x)^2 = m – 1 có nghiệm."

Đánh giá và nhận xét:

Đề thi có độ khó vừa phải, bao phủ các kiến thức trọng tâm của chương hàm số lượng giác và phương trình lượng giác. Các câu hỏi trắc nghiệm giúp học sinh củng cố kiến thức nền tảng, trong khi câu tự luận đòi hỏi học sinh phải vận dụng linh hoạt các kỹ năng giải toán. Việc có đáp án và lời giải chi tiết đi kèm là một điểm cộng lớn, giúp học sinh tự học và ôn tập hiệu quả.

Tài liệu tham khảo:

Để phục vụ công tác giảng dạy và học tập, giaibaitoan.com cung cấp file WORD của đề thi:

File WORD: TẢI XUỐNG

Chinh phục đỉnh cao Toán 11 và đặt nền móng vững chắc cho cánh cửa Đại học với nội dung đề kiểm tra chương 1 đại số và giải tích 11 trường thpt thăng long – lâm đồng trong chuyên mục Học tốt Toán lớp 11 trên nền tảng toán! Bộ bài tập lý thuyết toán thpt, được biên soạn chuyên sâu, bám sát chặt chẽ chương trình Toán lớp 11 và định hướng các kỳ thi quan trọng, cam kết tối ưu hóa toàn diện quá trình ôn luyện. Qua đó, học sinh không chỉ làm chủ kiến thức phức tạp mà còn rèn luyện tư duy giải quyết vấn đề, sẵn sàng cho các kỳ thi và chương trình đại học, nhờ phương pháp tiếp cận trực quan, logic và mang lại hiệu quả học tập vượt trội.
images-post/de-kiem-tra-chuong-1-dai-so-va-giai-tich-11-truong-thpt-thang-long-lam-dong-1.jpgimages-post/de-kiem-tra-chuong-1-dai-so-va-giai-tich-11-truong-thpt-thang-long-lam-dong-2.jpgimages-post/de-kiem-tra-chuong-1-dai-so-va-giai-tich-11-truong-thpt-thang-long-lam-dong-3.jpg

File đề kiểm tra chương 1 đại số và giải tích 11 trường thpt thăng long – lâm đồng PDF Chi Tiết

TÌM KIẾM THEO TỪ KHÓA