Logo Header
  1. Môn Toán
  2. đề kiểm tra toán 11 (lượng giác) năm 2019 – 2020 trường đoàn thượng – hải dương

đề kiểm tra toán 11 (lượng giác) năm 2019 – 2020 trường đoàn thượng – hải dương

Bạn đang xem tài liệu đề kiểm tra toán 11 (lượng giác) năm 2019 – 2020 trường đoàn thượng – hải dương được biên soạn theo soạn toán mới nhất. Tài liệu này hệ thống hóa kiến thức một cách khoa học, phù hợp cho mọi lộ trình học từ cơ bản đến nâng cao. Hãy khai thác triệt để nội dung để bứt phá điểm số và tự tin chinh phục mọi kỳ thi nhé!

Phân tích Đề Kiểm Tra Toán 11 (Lượng giác) – Trường THPT Đoàn Thượng, Hải Dương (2019-2020): Đánh giá chi tiết và nhận xét chuyên sâu

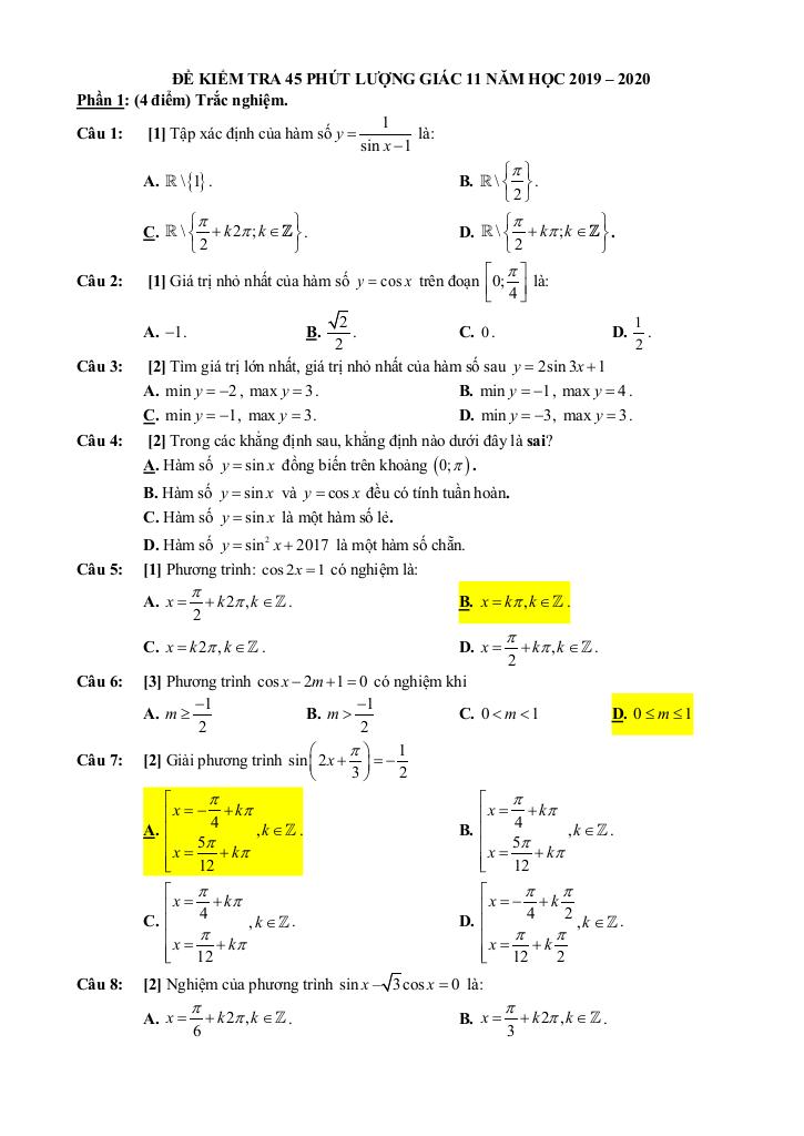
Đề kiểm tra Toán 11 (chương 1, Đại số và Giải tích) của trường THPT Đoàn Thượng, Hải Dương, năm học 2019-2020 là một đề thi có cấu trúc khá điển hình, đánh giá khả năng nắm vững kiến thức cơ bản về lượng giác của học sinh. Đề thi có thời lượng 45 phút, bao gồm 10 câu trắc nghiệm và 4 câu tự luận, tập trung vào các nội dung chính của chương 1: hàm số lượng giác và phương trình lượng giác cơ bản.

Cấu trúc đề thi:

  • Phần trắc nghiệm (10 câu): Kiểm tra khả năng nhận biết, hiểu và vận dụng các tính chất của hàm số lượng giác (tính đơn điệu, tính tuần hoàn, tính chẵn lẻ) và các công thức lượng giác cơ bản.
  • Phần tự luận (4 câu): Đánh giá khả năng giải phương trình lượng giác, tìm điều kiện của tham số để phương trình có nghiệm, và biểu diễn nghiệm trên đường tròn lượng giác.

Đánh giá chi tiết một số câu hỏi tiêu biểu:

Câu trắc nghiệm về tính chất hàm số lượng giác: Câu hỏi "Trong các khẳng định sau, khẳng định nào dưới đây là sai?" là một câu hỏi đánh giá sự hiểu biết sâu sắc về các tính chất của hàm số lượng giác. Để trả lời chính xác, học sinh cần nắm vững định nghĩa, đồ thị và các tính chất của hàm sin, cosin. Việc phân tích từng đáp án đòi hỏi học sinh phải có tư duy logic và khả năng loại trừ.

Câu tự luận về phương trình lượng giác:

  • "Biểu diễn tập nghiệm của phương trình cotx = tanx + 2cos4x/sin2x trên đường tròn lượng giác ta được bao nhiêu điểm?": Câu hỏi này đòi hỏi học sinh phải biến đổi phương trình lượng giác về dạng đơn giản, sử dụng các công thức lượng giác để tìm nghiệm tổng quát, và sau đó biểu diễn các nghiệm đó trên đường tròn lượng giác. Đây là một câu hỏi kết hợp kiến thức về giải phương trình lượng giác và hình học lượng giác.
  • "Tìm điều kiện của tham số m để phương trình lượng giác (cosx)^2 – 4cosx + m = 0 có nghiệm.": Đây là một câu hỏi điển hình về việc sử dụng phương pháp đặt ẩn phụ để giải phương trình lượng giác. Học sinh cần đặt t = cosx, với -1 ≤ t ≤ 1, sau đó giải phương trình bậc hai theo t và tìm điều kiện của m để phương trình có nghiệm t thuộc đoạn [-1, 1].

Nhận xét chung:

Đề thi có độ khó vừa phải, phù hợp với chương trình học Toán 11. Các câu hỏi được xây dựng theo hướng đánh giá khả năng vận dụng kiến thức vào giải quyết các bài toán thực tế. Đề thi cũng chú trọng đến việc kiểm tra khả năng tư duy logic và kỹ năng trình bày bài giải của học sinh.

Tài liệu hỗ trợ:

Đề thi có kèm theo đáp án và lời giải chi tiết, rất hữu ích cho giáo viên trong việc chấm thi và ôn tập cho học sinh. File WORD của đề thi cũng được cung cấp để phục vụ công tác giảng dạy.

Lưu ý: Đề thi này là một tài liệu tham khảo hữu ích cho học sinh và giáo viên trong quá trình ôn tập và giảng dạy môn Toán 11 (lượng giác). Việc giải các đề thi tương tự sẽ giúp học sinh củng cố kiến thức và rèn luyện kỹ năng giải toán.

Chinh phục đỉnh cao Toán 11 và đặt nền móng vững chắc cho cánh cửa Đại học với nội dung đề kiểm tra toán 11 (lượng giác) năm 2019 – 2020 trường đoàn thượng – hải dương trong chuyên mục Sách bài tập Toán 11 trên nền tảng soạn toán! Bộ bài tập lý thuyết toán thpt, được biên soạn chuyên sâu, bám sát chặt chẽ chương trình Toán lớp 11 và định hướng các kỳ thi quan trọng, cam kết tối ưu hóa toàn diện quá trình ôn luyện. Qua đó, học sinh không chỉ làm chủ kiến thức phức tạp mà còn rèn luyện tư duy giải quyết vấn đề, sẵn sàng cho các kỳ thi và chương trình đại học, nhờ phương pháp tiếp cận trực quan, logic và mang lại hiệu quả học tập vượt trội.
images-post/de-kiem-tra-toan-11-luong-giac-nam-2019-2020-truong-doan-thuong-hai-duong-1.jpgimages-post/de-kiem-tra-toan-11-luong-giac-nam-2019-2020-truong-doan-thuong-hai-duong-2.jpgimages-post/de-kiem-tra-toan-11-luong-giac-nam-2019-2020-truong-doan-thuong-hai-duong-3.jpgimages-post/de-kiem-tra-toan-11-luong-giac-nam-2019-2020-truong-doan-thuong-hai-duong-4.jpgimages-post/de-kiem-tra-toan-11-luong-giac-nam-2019-2020-truong-doan-thuong-hai-duong-5.jpgimages-post/de-kiem-tra-toan-11-luong-giac-nam-2019-2020-truong-doan-thuong-hai-duong-6.jpg

File đề kiểm tra toán 11 (lượng giác) năm 2019 – 2020 trường đoàn thượng – hải dương PDF Chi Tiết

TÌM KIẾM THEO TỪ KHÓA