Đánh giá chi tiết đề kiểm tra Đại số và Giải tích 11 – Chương 1: Hàm số lượng giác và phương trình lượng giác (THPT Ngọc Hồi, Thanh Trì, Hà Nội)
Đề kiểm tra Đại số và Giải tích 11 chương 1 của trường THPT Ngọc Hồi, Thanh Trì, Hà Nội là một đề kiểm tra được xây dựng khá hợp lý, đánh giá được mức độ nắm vững kiến thức cơ bản và khả năng vận dụng của học sinh trong chủ đề hàm số lượng giác và phương trình lượng giác. Đề thi bao gồm 4 mã đề (132, 209, 357, 485) với cấu trúc kết hợp giữa trắc nghiệm khách quan và tự luận, đảm bảo tính đa dạng và toàn diện trong đánh giá.
Cấu trúc đề thi:
Phân tích nội dung đề thi qua các câu hỏi trích dẫn:
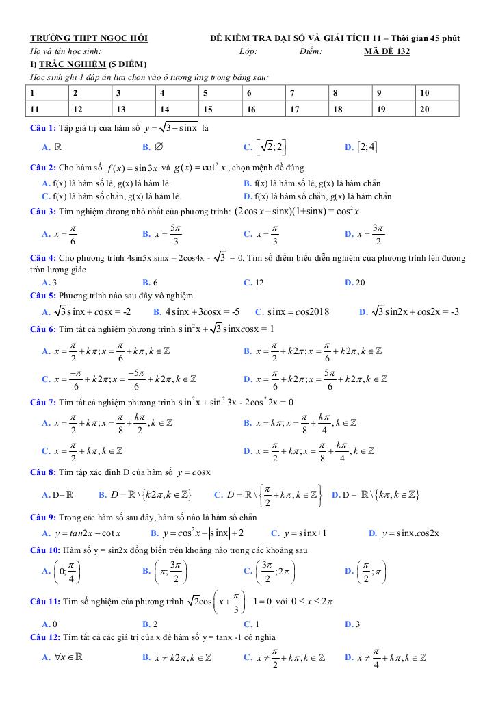
Câu 1: Cho hàm số f(x) = sin 3x và g(x) = (cot x)^2, chọn mệnh đề đúng?
A. f(x) là hàm số lẻ, g(x) là hàm lẻ. B. f(x) là hàm số lẻ, g(x) là hàm chẵn.
C. f(x) là hàm số chẵn, g(x) là hàm lẻ. D. f(x) là hàm số chẵn, g(x) là hàm chẵn.
Nhận xét: Câu hỏi này kiểm tra kiến thức về tính chẵn lẻ của hàm số lượng giác. Học sinh cần nắm vững định nghĩa và các tính chất của hàm số chẵn, hàm số lẻ để xác định đúng đáp án. Hàm số sin 3x là hàm số lẻ (vì sin(-3x) = -sin(3x)), và hàm số g(x) = (cot x)^2 là hàm số chẵn (vì cot^2(-x) = cot^2(x)). Do đó, đáp án đúng là B.
Câu 2: Cho phương trình giaibaitoan.com – 2cos4x – √3 = 0. Tìm số điểm biểu diễn nghiệm của phương trình lên đường tròn lượng giác.
Nhận xét: Đây là một câu hỏi tự luận đòi hỏi học sinh phải vận dụng các công thức lượng giác để biến đổi phương trình, tìm nghiệm và xác định số nghiệm trên đường tròn lượng giác. Việc giải quyết câu hỏi này đòi hỏi sự hiểu biết sâu sắc về mối liên hệ giữa phương trình lượng giác và biểu diễn nghiệm trên đường tròn đơn vị.
Câu 3: Tìm nghiệm dương nhỏ nhất của phương trình: (2cos x – sin x)(1 + sin x) = (cos x)^2.
Nhận xét: Đây là một câu hỏi tự luận khác, yêu cầu học sinh phải khéo léo biến đổi phương trình, sử dụng các kỹ năng giải phương trình lượng giác cơ bản và tìm nghiệm dương nhỏ nhất. Câu hỏi này kiểm tra khả năng tính toán và trình bày lời giải một cách chính xác.
Đánh giá chung:
Đề kiểm tra này có độ khó phù hợp, bao gồm các câu hỏi kiểm tra kiến thức cơ bản và các câu hỏi vận dụng, giúp đánh giá toàn diện năng lực của học sinh. Việc cung cấp đáp án và lời giải chi tiết là một điểm cộng, giúp học sinh tự đánh giá kết quả và rút kinh nghiệm cho các bài kiểm tra sau. Đề thi này là một tài liệu tham khảo hữu ích cho giáo viên và học sinh trong quá trình dạy và học môn Đại số và Giải tích 11.
File WORD (dành cho quý thầy, cô): TẢI XUỐNG









