Chào mừng các em học sinh đến với lời giải chi tiết bài 39 Luyện tập chung trang 94, 95, 96 Vở bài tập Toán 5 Cánh Diều. Bài viết này sẽ cung cấp phương pháp giải và đáp án chính xác cho từng bài tập, giúp các em hiểu rõ kiến thức và rèn luyện kỹ năng giải toán.
Giaibaitoan.com là địa chỉ tin cậy dành cho các em học sinh và phụ huynh trong việc học tập và giải bài tập Toán.
Luyện tập chung
Trả lời bài 5 trang 96 VBT Toán 5 Cánh diều
Mỗi bước chân của chị Ngọc dài khoảng 0,45 m. Hỏi để đi được 54 m chị Ngọc cần bước khoảng bao nhiêu bước chân?
Phương pháp giải:
Số bước chân cần bước = Độ dài quãng đường : độ dài một bước chân.
Lời giải chi tiết:
Tóm tắt
0,45 m: 1 bước chân
54 m: .?. bước chân
Bài giải
Chị Ngọc cần bước số bước chân là:
54 : 0,45 = 120 (bước)
Đáp số: 120 bước chân.
Trả lời bài 2 trang 94 VBT Toán 5 Cánh diều
Đặt tính rồi tính:
10,8 : 9 8,16 : 2,4 3,24 : 18
5,6 : 0,7 4,8 : 0,08 31,2 : 13
Phương pháp giải:
- Muốn chia một số thập phân cho một số tự nhiên, ta làm như sau:
· Chia phần nguyên của số bị chia cho số chia.
· Viết dấu phẩy vào bên phải thương đã tìm được trước khi lấy chữ số đầu tiên ở phần thập phân của số bị chia để tiếp tục thực hiện phép chia.
· Tiếp tục chia với từng chữ số ở phần thập phân của số bị chia.
- Muốn chia một số thập phân cho một số thập phân, ta làm như sau:
· Đếm xem có bao nhiêu chữ số ở phần thập phân của số chia thì chuyển dấu phẩy ở số bị chia sang bên phải bấy nhiêu chữ số.
· Bỏ dấu phẩy ở số chia rồi thực hiện phép chia như chia cho số tự nhiên.
Lời giải chi tiết:

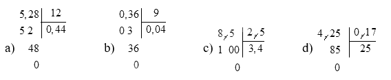
Trả lời bài 1 trang 94 VBT Toán 5 Cánh diều
Tính (theo mẫu):

a) 5,28 : 12 b) 0,36 : 9 c) 8,5 : 2,5 d) 4,25 : 0,17
Phương pháp giải:
THực hiện đặt tính rồi tính theo mẫu
Lời giải chi tiết:

Trả lời bài 6 trang 96 VBT Toán 5 Cánh diều
Nhà bác Vinh thu hoạch được 350 bông hoa hướng dương, mỗi bông có khoảng 0,25 kg hạt. Biết rằng 1 kg hạt hướng dương có thể ép được khoảng 0,25 l dầu hướng dương. Hỏi nhà bác Vinh thu hoạch được khoảng bao nhiêt lít dầu hướng dương?

Phương pháp giải:
- Số kg hạt hướng dương thu hoạch được = Số kk hạt hướng dương của một bông x số bông hướng dương
- Số lít dầu = Số lít dầu ép được từ 1 kg hạt hướng dương x số kg hạt hướng dương thu hoạch được.
Lời giải chi tiết:
Tóm tắt
1 bông: 0,25 kg hạt
1 kg hạt: 0,25 lít dầu
350 bông: .?. lít dầu
Bài giải
Số ki-lô-gam hạt hướng dương thu hoạch được là:
0,25 x 350 = 87,5 (kg)
Nhà bác Vinh thu hoạch được số lít dầu hướng dương là:
0,25 x 87,5 = 21,875 (lít)
Đáp số: 21,875 lít dầu hướng dương
Trả lời bài 3 trang 95 VBT Toán 5 Cánh diều
Viết số thích hợp vào chỗ chấm:

Phương pháp giải:
Quan sát hình ảnh rồi xác định cân nặng của mỗi vật.
Lời giải chi tiết:
a) Ta có: 3,25 – 2 = 1,25 (kg)
Vậy hộp B cân nặng 1,25 kg.
b) Ta có: 12,6 : 3 = 4,2 (kg)
Vậy mỗi hộp vải thiều cân nặng 4,2 kg.
Trả lời bài 4 trang 95 VBT Toán 5 Cánh diều
a) Đánh dấu P vào ô trống đặt dưới thẻ ghi phép chia có thương bằng 4:

b) Chia nhẩm rồi thử lại bằng phép nhân (theo mẫu):

c) Tìm lỗi sai rồi sửa lại cho đúng:

Phương pháp giải:
a) Tính giá trị mỗi thẻ và chọn các thẻ có giá trị bằng 4.
b) Tính nhẩm và thử lại theo mẫu.
c) Tìm lỗi sai và sửa lại.
Lời giải chi tiết:
a)

b) 6,3 : 3 = 2,1. Thử lại: 2,1 x 3 = 6,3
11 : 2 = 5,5. Thử lại: 5,5 x 2 = 11
0,35 : 0,07 = 5. Thử lại: 5 x 0,07 = 0,35
4,8 : 0,8 = 6. Thử lại: 6 x 0,8 = 4,8
0,24 : 0,12 = 2. Thử lại: 2 x 0,12 = 0,24
0,33 : 0,3 = 1,1. Thử lại: 1,1 x 0,3 = 0,33
c) Các phép tính đã cho sai vì phần thập phân của số chia có bao nhiêu chữ số thì cần dịch dấu phẩy của số bị chia sang bên phải bấy nhiêu chữ số.
Sửa lại:
32,2 : 0,7 = 322 : 7
1,69 : 0,13 = 169 : 13
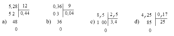
Trả lời bài 1 trang 94 VBT Toán 5 Cánh diều
Tính (theo mẫu):

a) 5,28 : 12 b) 0,36 : 9 c) 8,5 : 2,5 d) 4,25 : 0,17
Phương pháp giải:
THực hiện đặt tính rồi tính theo mẫu
Lời giải chi tiết:

Trả lời bài 2 trang 94 VBT Toán 5 Cánh diều
Đặt tính rồi tính:
10,8 : 9 8,16 : 2,4 3,24 : 18
5,6 : 0,7 4,8 : 0,08 31,2 : 13
Phương pháp giải:
- Muốn chia một số thập phân cho một số tự nhiên, ta làm như sau:
· Chia phần nguyên của số bị chia cho số chia.
· Viết dấu phẩy vào bên phải thương đã tìm được trước khi lấy chữ số đầu tiên ở phần thập phân của số bị chia để tiếp tục thực hiện phép chia.
· Tiếp tục chia với từng chữ số ở phần thập phân của số bị chia.
- Muốn chia một số thập phân cho một số thập phân, ta làm như sau:
· Đếm xem có bao nhiêu chữ số ở phần thập phân của số chia thì chuyển dấu phẩy ở số bị chia sang bên phải bấy nhiêu chữ số.
· Bỏ dấu phẩy ở số chia rồi thực hiện phép chia như chia cho số tự nhiên.
Lời giải chi tiết:

Trả lời bài 3 trang 95 VBT Toán 5 Cánh diều
Viết số thích hợp vào chỗ chấm:

Phương pháp giải:
Quan sát hình ảnh rồi xác định cân nặng của mỗi vật.
Lời giải chi tiết:
a) Ta có: 3,25 – 2 = 1,25 (kg)
Vậy hộp B cân nặng 1,25 kg.
b) Ta có: 12,6 : 3 = 4,2 (kg)
Vậy mỗi hộp vải thiều cân nặng 4,2 kg.
Trả lời bài 4 trang 95 VBT Toán 5 Cánh diều
a) Đánh dấu P vào ô trống đặt dưới thẻ ghi phép chia có thương bằng 4:

b) Chia nhẩm rồi thử lại bằng phép nhân (theo mẫu):

c) Tìm lỗi sai rồi sửa lại cho đúng:

Phương pháp giải:
a) Tính giá trị mỗi thẻ và chọn các thẻ có giá trị bằng 4.
b) Tính nhẩm và thử lại theo mẫu.
c) Tìm lỗi sai và sửa lại.
Lời giải chi tiết:
a)

b) 6,3 : 3 = 2,1. Thử lại: 2,1 x 3 = 6,3
11 : 2 = 5,5. Thử lại: 5,5 x 2 = 11
0,35 : 0,07 = 5. Thử lại: 5 x 0,07 = 0,35
4,8 : 0,8 = 6. Thử lại: 6 x 0,8 = 4,8
0,24 : 0,12 = 2. Thử lại: 2 x 0,12 = 0,24
0,33 : 0,3 = 1,1. Thử lại: 1,1 x 0,3 = 0,33
c) Các phép tính đã cho sai vì phần thập phân của số chia có bao nhiêu chữ số thì cần dịch dấu phẩy của số bị chia sang bên phải bấy nhiêu chữ số.
Sửa lại:
32,2 : 0,7 = 322 : 7
1,69 : 0,13 = 169 : 13
Trả lời bài 5 trang 96 VBT Toán 5 Cánh diều
Mỗi bước chân của chị Ngọc dài khoảng 0,45 m. Hỏi để đi được 54 m chị Ngọc cần bước khoảng bao nhiêu bước chân?
Phương pháp giải:
Số bước chân cần bước = Độ dài quãng đường : độ dài một bước chân.
Lời giải chi tiết:
Tóm tắt
0,45 m: 1 bước chân
54 m: .?. bước chân
Bài giải
Chị Ngọc cần bước số bước chân là:
54 : 0,45 = 120 (bước)
Đáp số: 120 bước chân.
Trả lời bài 6 trang 96 VBT Toán 5 Cánh diều
Nhà bác Vinh thu hoạch được 350 bông hoa hướng dương, mỗi bông có khoảng 0,25 kg hạt. Biết rằng 1 kg hạt hướng dương có thể ép được khoảng 0,25 l dầu hướng dương. Hỏi nhà bác Vinh thu hoạch được khoảng bao nhiêt lít dầu hướng dương?

Phương pháp giải:
- Số kg hạt hướng dương thu hoạch được = Số kk hạt hướng dương của một bông x số bông hướng dương
- Số lít dầu = Số lít dầu ép được từ 1 kg hạt hướng dương x số kg hạt hướng dương thu hoạch được.
Lời giải chi tiết:
Tóm tắt
1 bông: 0,25 kg hạt
1 kg hạt: 0,25 lít dầu
350 bông: .?. lít dầu
Bài giải
Số ki-lô-gam hạt hướng dương thu hoạch được là:
0,25 x 350 = 87,5 (kg)
Nhà bác Vinh thu hoạch được số lít dầu hướng dương là:
0,25 x 87,5 = 21,875 (lít)
Đáp số: 21,875 lít dầu hướng dương
Bài 39 Luyện tập chung trang 94, 95, 96 Vở bài tập Toán 5 Cánh Diều là một phần quan trọng trong chương trình học Toán 5, giúp học sinh củng cố kiến thức đã học về các phép tính với số thập phân, giải toán có lời văn, và các bài toán liên quan đến hình học.
Bài 39 bao gồm nhiều dạng bài tập khác nhau, đòi hỏi học sinh phải vận dụng linh hoạt các kiến thức đã học để giải quyết. Cụ thể, các bài tập trong bài 39 tập trung vào:
Bài 1 yêu cầu học sinh tính nhẩm nhanh các phép tính với số thập phân. Để tính nhẩm nhanh, học sinh có thể sử dụng các kỹ năng như:
Bài 2 yêu cầu học sinh thực hiện các phép tính với số thập phân bằng cách viết ra các bước giải. Để giải bài này, học sinh cần:
Bài 3 là một bài toán có lời văn, yêu cầu học sinh phải đọc kỹ đề bài, phân tích thông tin, và tìm ra phương pháp giải phù hợp. Để giải bài toán này, học sinh cần:
Để học tốt môn Toán 5, học sinh cần:
Hy vọng rằng với lời giải chi tiết và hướng dẫn giải bài tập trong bài viết này, các em học sinh sẽ hiểu rõ hơn về bài 39 Luyện tập chung trang 94, 95, 96 Vở bài tập Toán 5 Cánh Diều và đạt kết quả tốt trong môn học Toán.