Chào mừng các em học sinh đến với bài giải chi tiết phần B. Kết nối trang 18 trong sách Bài tập phát triển năng lực Toán 4 tập 2. Bài viết này sẽ cung cấp phương pháp giải bài tập một cách dễ hiểu, giúp các em tự tin hơn trong việc học toán.
Giaibaitoan.com luôn đồng hành cùng các em trên con đường chinh phục môn Toán, cung cấp các bài giải chuẩn xác và đầy đủ.
Một hình bình hành có một cạnh dài 2/5 m, một cạnh dài 1/4 m ....Rút gọn rồi tính ....
Một hình bình hành có một cạnh dài \(\frac{2}{5}m\), một cạnh dài \(\frac{1}{4}m\). Tính nửa chu vi của hình bình hành đó.
Phương pháp giải:
Nửa chu vi hình bình hành bằng tổng độ dài hai cạnh liên tiếp của hình bình hành đó.
Lời giải chi tiết:
Nửa chu vi hình bình hành là:
\(\frac{2}{5} + \frac{1}{4} = \frac{{13}}{{20}}(m)\)
Đáp số: \(\frac{{13}}{{20}}m\)
Rút gọn rồi tính:
\(\frac{{15}}{{35}} - \frac{2}{{14}} = ....................\)
\(\frac{{33}}{{18}} - \frac{5}{{30}} = ....................{\text{ }}\)
\(\frac{6}{{45}} - \frac{2}{{30}} = ..........................\)
Phương pháp giải:
- Rút gọn các phân số thành phân số tối giản.
- Muốn trừ hai phân số khác mẫu số, ta quy đồng mẫu số hai phân số, rồi trừ hai phân số đó.
Lời giải chi tiết:
\(\frac{{15}}{{35}} - \frac{2}{{14}} = \frac{3}{7} - \frac{1}{7}{\text{ = }}\frac{2}{7}\)
\(\frac{{33}}{{18}} - \frac{5}{{30}} = \frac{{11}}{6} - \frac{1}{6}{\text{ = }}\frac{{10}}{6}{\text{ = }}\frac{5}{3}\)
\(\frac{6}{{45}} - \frac{2}{{30}} = \frac{2}{{15}} - \frac{1}{{15}} = \frac{1}{{15}}\)
Mẹ Thuý là thợ may. Hôm nay mẹ nhận may áo cho một số bé gái. Mẹ lấy một tấm vải và cắt $\frac{8}{{15}}$ tấm vải để may. Hỏi sau khi cắt, còn lại bao nhiêu phần của tấm vải?
Phương pháp giải:
- Coi cả tấm vải là 1 đơn vị.
- Muốn tìm số phần còn lại của tấm vải ta lấy 1 trừ đi số phần tấm vải đã cắt.
Lời giải chi tiết:
Số phần còn lại của tấm vải sau khi cắt là:
\(1 - \frac{8}{{15}} = \frac{7}{{15}}\) (tấm vải)
Đáp số: $\frac{7}{{15}}$ tấm vải.
Đúng ghi Đ, sai ghi S:
\({\text{a) }}\frac{{13}}{{15}} - \frac{8}{{15}} = \frac{{13 - 8}}{{15}} = \frac{2}{5}{\text{ }}\)
\({\text{b) }}\frac{{17}}{{32}} - \frac{{13}}{{32}} = \frac{{17 - 13}}{{32}} = \frac{4}{{32}}{\text{ }}\)
\({\text{c) }}\frac{8}{{16}} - \frac{3}{8} = \frac{4}{8} - \frac{3}{8} = \frac{{4 - 3}}{8} = \frac{1}{8}{\text{ }}\)
\({\text{d) }}\frac{{17}}{{19}} - \frac{1}{9} = \frac{{17 - 1}}{{19}} = \frac{{16}}{{19}}{\text{ }}\)
Phương pháp giải:
Kiểm tra lại cách cộng trừ phân số rồi xét tính đúng sai của từng câu.
Áp dụng kiến thức:
- Muốn trừ hai phân số khác mẫu số ta trừ tử số cho nhau và giữ nguyên mẫu số.
- Muốn trừ hai phân số khác mẫu số, ta quy đồng mẫu số rồi trừ hai phân số đó.
Lời giải chi tiết:

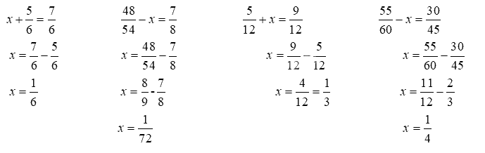
Tìm x, biết:
\(x + \frac{5}{6} = \frac{7}{6}\)
\(\frac{{48}}{{54}} - x = \frac{7}{8}\)
\(\frac{5}{{12}} + x = \frac{9}{{12}}\)
\(\frac{{55}}{{60}} - x = \frac{{30}}{{45}}\)
Phương pháp giải:
- Muốn tìm số hạng chưa biết ta lấy tổng trừ đi số hạng đã biết.
- Muốn tìm số trừ ta lấy số bị trừ trừ đi hiệu.
- Muốn tìm số bị trừ ta lấy hiệu cộng với số trừ.
Lời giải chi tiết:

Rút gọn rồi tính:
\(3 - \frac{{17}}{{51}} = ...............\)
\(\frac{{72}}{{27}} - 1 = .............\)
\(6 - \frac{{240}}{{160}} = ..............\)
\(\frac{{1800}}{{400}} - 3 = ..............\)
Phương pháp giải:
- Rút gọn các phân số thành phân số tối giản.
- Ta có thể viết các số tự nhiên dưới dạng phân số có mẫu số là 1, sau đó thực hiện phép trừ hai phân số như thông thường.
Lời giải chi tiết:

Tính giá trị của biểu thức:
\({\text{a) }}\frac{2}{{13}} + \frac{4}{7} - \frac{1}{3}\)
\({\text{b) }}\frac{{13}}{{120}} + \frac{{11}}{{24}} - \frac{{17}}{{30}}\)
\({\text{c) }}\frac{{18}}{{100}} + \frac{9}{{45}} - \frac{2}{{25}}\)
Phương pháp giải:
Thực hiện tính theo thứ tự từ trái sang phải.
Lời giải chi tiết:

Một hình bình hành có một cạnh dài \(\frac{2}{5}m\), một cạnh dài \(\frac{1}{4}m\). Tính nửa chu vi của hình bình hành đó.
Phương pháp giải:
Nửa chu vi hình bình hành bằng tổng độ dài hai cạnh liên tiếp của hình bình hành đó.
Lời giải chi tiết:
Nửa chu vi hình bình hành là:
\(\frac{2}{5} + \frac{1}{4} = \frac{{13}}{{20}}(m)\)
Đáp số: \(\frac{{13}}{{20}}m\)
Tìm x, biết:
\(x + \frac{5}{6} = \frac{7}{6}\)
\(\frac{{48}}{{54}} - x = \frac{7}{8}\)
\(\frac{5}{{12}} + x = \frac{9}{{12}}\)
\(\frac{{55}}{{60}} - x = \frac{{30}}{{45}}\)
Phương pháp giải:
- Muốn tìm số hạng chưa biết ta lấy tổng trừ đi số hạng đã biết.
- Muốn tìm số trừ ta lấy số bị trừ trừ đi hiệu.
- Muốn tìm số bị trừ ta lấy hiệu cộng với số trừ.
Lời giải chi tiết:

Đúng ghi Đ, sai ghi S:
\({\text{a) }}\frac{{13}}{{15}} - \frac{8}{{15}} = \frac{{13 - 8}}{{15}} = \frac{2}{5}{\text{ }}\)
\({\text{b) }}\frac{{17}}{{32}} - \frac{{13}}{{32}} = \frac{{17 - 13}}{{32}} = \frac{4}{{32}}{\text{ }}\)
\({\text{c) }}\frac{8}{{16}} - \frac{3}{8} = \frac{4}{8} - \frac{3}{8} = \frac{{4 - 3}}{8} = \frac{1}{8}{\text{ }}\)
\({\text{d) }}\frac{{17}}{{19}} - \frac{1}{9} = \frac{{17 - 1}}{{19}} = \frac{{16}}{{19}}{\text{ }}\)
Phương pháp giải:
Kiểm tra lại cách cộng trừ phân số rồi xét tính đúng sai của từng câu.
Áp dụng kiến thức:
- Muốn trừ hai phân số khác mẫu số ta trừ tử số cho nhau và giữ nguyên mẫu số.
- Muốn trừ hai phân số khác mẫu số, ta quy đồng mẫu số rồi trừ hai phân số đó.
Lời giải chi tiết:

Rút gọn rồi tính:
\(\frac{{15}}{{35}} - \frac{2}{{14}} = ....................\)
\(\frac{{33}}{{18}} - \frac{5}{{30}} = ....................{\text{ }}\)
\(\frac{6}{{45}} - \frac{2}{{30}} = ..........................\)
Phương pháp giải:
- Rút gọn các phân số thành phân số tối giản.
- Muốn trừ hai phân số khác mẫu số, ta quy đồng mẫu số hai phân số, rồi trừ hai phân số đó.
Lời giải chi tiết:
\(\frac{{15}}{{35}} - \frac{2}{{14}} = \frac{3}{7} - \frac{1}{7}{\text{ = }}\frac{2}{7}\)
\(\frac{{33}}{{18}} - \frac{5}{{30}} = \frac{{11}}{6} - \frac{1}{6}{\text{ = }}\frac{{10}}{6}{\text{ = }}\frac{5}{3}\)
\(\frac{6}{{45}} - \frac{2}{{30}} = \frac{2}{{15}} - \frac{1}{{15}} = \frac{1}{{15}}\)
Rút gọn rồi tính:
\(3 - \frac{{17}}{{51}} = ...............\)
\(\frac{{72}}{{27}} - 1 = .............\)
\(6 - \frac{{240}}{{160}} = ..............\)
\(\frac{{1800}}{{400}} - 3 = ..............\)
Phương pháp giải:
- Rút gọn các phân số thành phân số tối giản.
- Ta có thể viết các số tự nhiên dưới dạng phân số có mẫu số là 1, sau đó thực hiện phép trừ hai phân số như thông thường.
Lời giải chi tiết:

Mẹ Thuý là thợ may. Hôm nay mẹ nhận may áo cho một số bé gái. Mẹ lấy một tấm vải và cắt $\frac{8}{{15}}$ tấm vải để may. Hỏi sau khi cắt, còn lại bao nhiêu phần của tấm vải?
Phương pháp giải:
- Coi cả tấm vải là 1 đơn vị.
- Muốn tìm số phần còn lại của tấm vải ta lấy 1 trừ đi số phần tấm vải đã cắt.
Lời giải chi tiết:
Số phần còn lại của tấm vải sau khi cắt là:
\(1 - \frac{8}{{15}} = \frac{7}{{15}}\) (tấm vải)
Đáp số: $\frac{7}{{15}}$ tấm vải.
Tính giá trị của biểu thức:
\({\text{a) }}\frac{2}{{13}} + \frac{4}{7} - \frac{1}{3}\)
\({\text{b) }}\frac{{13}}{{120}} + \frac{{11}}{{24}} - \frac{{17}}{{30}}\)
\({\text{c) }}\frac{{18}}{{100}} + \frac{9}{{45}} - \frac{2}{{25}}\)
Phương pháp giải:
Thực hiện tính theo thứ tự từ trái sang phải.
Lời giải chi tiết:

Bài tập phần B. Kết nối trang 18 trong sách Bài tập phát triển năng lực Toán 4 tập 2 tập trung vào việc củng cố kiến thức về các phép tính với số tự nhiên, đặc biệt là phép nhân và phép chia. Các bài tập được thiết kế để giúp học sinh rèn luyện kỹ năng giải toán thực tế, phát triển tư duy logic và khả năng vận dụng kiến thức vào các tình huống khác nhau.
Bài 1 yêu cầu học sinh giải một bài toán có liên quan đến phép nhân. Để giải bài toán này, học sinh cần xác định đúng các yếu tố cần nhân và thực hiện phép tính một cách chính xác. Ví dụ, nếu bài toán yêu cầu tính tổng số sản phẩm được sản xuất trong một số ngày, học sinh cần nhân số sản phẩm sản xuất trong một ngày với số ngày.
Bài 2 yêu cầu học sinh giải một bài toán có liên quan đến phép chia. Để giải bài toán này, học sinh cần xác định đúng số bị chia, số chia và thực hiện phép tính một cách chính xác. Ví dụ, nếu bài toán yêu cầu chia đều một số lượng sản phẩm cho một số người, học sinh cần chia tổng số sản phẩm cho số người.
Bài 3 là một bài toán kết hợp cả phép nhân và phép chia. Để giải bài toán này, học sinh cần thực hiện các phép tính theo đúng thứ tự ưu tiên: nhân hoặc chia trước, cộng hoặc trừ sau. Ví dụ, nếu bài toán yêu cầu tính tổng số tiền thu được từ việc bán một số sản phẩm với giá khác nhau, học sinh cần nhân số lượng sản phẩm với giá của mỗi loại sản phẩm, sau đó cộng các kết quả lại với nhau.
Để giải các bài tập phần B. Kết nối trang 18 một cách hiệu quả, học sinh cần:
Bài toán: Một cửa hàng có 35 kg gạo tẻ và 28 kg gạo nếp. Người ta chia đều số gạo đó vào các túi, mỗi túi chứa 7 kg. Hỏi có bao nhiêu túi gạo?
Giải:
Để củng cố kiến thức và kỹ năng giải toán, học sinh nên luyện tập thêm các bài tập tương tự. Các bài tập này có thể tìm thấy trong sách Bài tập phát triển năng lực Toán 4 tập 2 hoặc trên các trang web học toán online.
Giaibaitoan.com khuyến khích các em học sinh nên dành thời gian ôn tập và luyện tập thường xuyên để nắm vững kiến thức và kỹ năng giải toán. Đừng ngần ngại hỏi thầy cô giáo hoặc bạn bè nếu gặp khó khăn trong quá trình học tập. Chúc các em học tốt!
| Phép tính | Ví dụ |
|---|---|
| Phép nhân | 5 x 7 = 35 |
| Phép chia | 20 : 4 = 5 |
| Nắm vững các phép tính cơ bản là nền tảng quan trọng để giải toán. | |