Bài 62 Toán lớp 4 trang 83 thuộc chương trình Luyện tập chung trong sách Kết nối tri thức. Bài học này giúp các em học sinh ôn tập và củng cố kiến thức đã học về các phép tính với số có nhiều chữ số, giải toán có lời văn và các bài toán liên quan đến hình học.
Giaibaitoan.com cung cấp lời giải chi tiết, dễ hiểu cho từng bài tập trong bài học này, giúp các em học sinh tự học tại nhà hiệu quả.
Anh A Phân, chị Rang Hu và chú Y Phui cùng nhau thu hoạch một rẫy cà phê Một xe ô tô chạy được 2/7 quãng đường trong giờ đầu tiên
Video hướng dẫn giải
Tính bằng cách thuận tiện.
a)$\,\frac{{599}}{{1\,000}} + \frac{{377}}{{1\,000}} + \frac{1}{{1\,000}}\,\,$
b)$\frac{{15}}{4} + \frac{{15}}{{16}} + \frac{5}{{16}}$
Phương pháp giải:
a) Áp dụng tính chất kết hợp để nhóm hai phân số mà tổng của hai tử số là số tròn trăm
b) Áp dụng tính chất kết hợp để nhóm hai phân số có cùng mẫu số với nhau
Lời giải chi tiết:
a) $\frac{{599}}{{1\,000}} + \frac{{377}}{{1\,000}} + \frac{1}{{1\,000}} = \left( {\frac{{599}}{{1\,000}} + \frac{1}{{1\,000}}} \right) + \frac{{377}}{{1\,000}} = \frac{{600}}{{1\,000}} + \frac{{377}}{{1\,000}} = \frac{{977}}{{1\,000}}$
b)$\frac{{15}}{4} + \frac{{15}}{{16}} + \frac{5}{{16}} = \frac{{15}}{4} + \left( {\frac{{15}}{{16}} + \frac{5}{{16}}} \right) = \frac{{15}}{4} + \frac{{20}}{{16}} = \frac{{15}}{4} + \frac{5}{4} = \frac{{20}}{4} = 5$
Video hướng dẫn giải
Một xe ô tô chạy được $\frac{2}{7}$ quãng đường trong giờ đầu tiên. Giờ tiếp theo, ô tô chạy thêm được $\frac{3}{7}$ quãng đường. Hỏi sau hai giờ, ô tô chạy được mấy phần của quãng đường?
Phương pháp giải:
Số phần của quãng đường sau 2 giờ = số phần quãng đường chạy được trong 1 giờ đầu + số phần quãng đường chạy được trong 1 giờ tiếp theo.
Lời giải chi tiết:
Tóm tắt:
Giờ đầu: $\frac{2}{7}$ quãng đường
Giờ tiếp theo: $\frac{3}{7}$ quãng đường
Sau hai giờ: ? quãng đường
Bài giải
Sau hai giờ, ô tô chạy được số phần của quãng đường là:
$\frac{2}{7} + \frac{3}{7} = \frac{5}{7}$(quãng đường)
Đáp số: $\frac{5}{7}$ quãng đường
Video hướng dẫn giải
Một cây gỗ dài $\frac{{17}}{4}$ m. Rô-bốt cưa cây gỗ đó thành ba khúc. Biết rằng khúc gỗ thứ nhất dài $\frac{3}{2}$m, khúc gỗ thứ hai dài $\frac{9}{8}$m. Tính chiều dài của khúc gỗ còn lại?
Phương pháp giải:
Cách 1: Chiều dài khúc gỗ còn lại = Chiều dài cây gỗ - chiều dài khúc gỗ thứ nhất – chiều dài khúc gỗ thứ hai.
Cách 2: Chiều dài hai khúc gỗ = chiều dài khúc gỗ thứ nhất + chiều dài khúc gỗ thứ hai.
Chiều dài khúc gỗ còn lại = chiều dài cây gỗ - chiều dài hai khúc gỗ.
Lời giải chi tiết:
Tóm tắt
Cây gỗ: $\frac{{17}}{4}$ m
Khúc gỗ thứ nhất: $\frac{3}{2}$m
Khúc gỗ thứ hai: $\frac{9}{8}$m
Khúc gỗ còn lại: ... ? m
Bài giải
Cách 1
Chiều dài khúc gỗ còn lại là:
$\frac{{17}}{4} - \frac{3}{2} - \frac{9}{8} = \frac{{13}}{8}$(m)
Đáp số: $\frac{{13}}{8}$m
Cách 2
Chiều dài hai khúc gỗ là:
$\frac{3}{2} + \frac{9}{8} = \frac{{21}}{8}$(m)
Chiều dài khúc gỗ còn lại là:
$\frac{{17}}{4} - \frac{{21}}{8} = \frac{{13}}{8}$(m)
Đáp số: $\frac{{13}}{8}$m
Video hướng dẫn giải
Rút gọn rồi tính.

Phương pháp giải:
Rút gọn các phân số thành phân số tối giản,sau đó thực hiện phép cộng (trừ) hai phân số như thông thường.
Lời giải chi tiết:
a) \(\frac{4}{{24}} + \frac{7}{6} = \frac{1}{6} + \frac{7}{6} = \frac{8}{6} = \frac{4}{3}\)
b) \(\;\frac{{10}}{{15}} - \frac{1}{3} = \;\frac{2}{3} - \frac{1}{3} = \;\frac{1}{3}\)
c) \(\;\frac{{21}}{{28}} - \frac{1}{4} = \frac{3}{4} - \frac{1}{4} = \frac{2}{4} = \frac{1}{2}\)
d) \(\frac{{35}}{{40}} + \frac{5}{8} = \frac{7}{8} + \frac{5}{8} = \frac{{12}}{8} = \frac{3}{2}\)
Video hướng dẫn giải
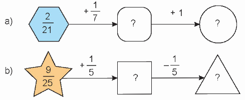
Tìm phân số thích hợp.

Phương pháp giải:
Thực hiện các phép tính theo chiều mũi tên rồi viết phân số thích hợp vào chỗ trống.
Lời giải chi tiết:
$\frac{2}{{21}} + \frac{1}{7} = \frac{2}{{21}} + \frac{3}{{21}} = \frac{5}{{21}}$
$\frac{5}{{21}} + 1 = \frac{5}{{21}} + \frac{{21}}{{21}} = \frac{{26}}{{21}}$
$\frac{9}{{25}} + \frac{1}{5} = \frac{9}{{25}} + \frac{5}{{25}} = \frac{{14}}{{25}}$
$\frac{{14}}{{25}} - \frac{1}{5} = \frac{{14}}{{25}} - \frac{5}{{25}} = \frac{9}{{25}}$
Ta điền như sau:

Video hướng dẫn giải
Đ, S?

Phương pháp giải:
- Dựa vào quy tắc cộng, trừ hai phân số để xác định câu đúng, câu sai.
- Muốn cộng (hoặc trừ) hai phân số khác mẫu số, ta quy đồng mẫu số của hai phân số, rồi cộng (hoặc trừ) hai phân số đó.
Lời giải chi tiết:

Video hướng dẫn giải
Tính (theo mẫu).

Phương pháp giải:
Viết số tự nhiên dưới dạng phân số có mẫu số bằng mẫu số của phân số còn lại rồi thực hiện phép cộng (trừ) trừ hai phân số như thông thường.
Lời giải chi tiết:
a) \(1 + \frac{4}{9} = \frac{9}{9} + \frac{4}{9} = \frac{{13}}{9}\)
b) \(5 + \frac{1}{2} = \frac{{10}}{2} + \frac{1}{2} = \frac{{11}}{2}\)
c) \(3 - \frac{5}{6} = \frac{{18}}{6} - \frac{5}{6} = \frac{{13}}{6}\)
d) \(\;\frac{{31}}{7} - 2 = \frac{{31}}{7} - \frac{{14}}{7} = \frac{{17}}{7}\)
Video hướng dẫn giải
Tìm phân số thích hợp.

Phương pháp giải:
Quan sát hình vẽ và thực hiện các phép tính cộng, trừ hai phân số để tìm được phân số ở dấu ?
Lời giải chi tiết:

Video hướng dẫn giải
Tìm phân số thích hợp.

Phương pháp giải:
Thực hiện phép tính theo chiều mũi tên rồi điền phân số thích hợp vào ô trống
Lời giải chi tiết:
$\frac{1}{2} + \frac{5}{{12}} = \frac{6}{{12}} + \frac{5}{{12}} = \frac{{11}}{{12}}$
$\frac{{11}}{{12}} - \frac{1}{6} = \frac{{11}}{{12}} - \frac{2}{{12}} = \frac{9}{{12}} = \frac{3}{4}$
$\frac{3}{4} - \frac{1}{3} = \frac{9}{{12}} - \frac{4}{{12}} = \frac{5}{{12}}$
$\frac{5}{{12}} + \frac{1}{{24}} = \frac{{10}}{{24}} + \frac{1}{{24}} = \frac{{11}}{{24}}$

Video hướng dẫn giải
Tính.

Phương pháp giải:
Muốn cộng (hoặc trừ) hai phân số khác mẫu số, ta quy đồng mẫu số của hai phân số, rồi cộng (hoặc trừ) hai phân số đó.
Lời giải chi tiết:
\({\text{a)}}\;\frac{2}{3} + \frac{4}{9} = \frac{6}{9} + \frac{4}{9} = \frac{{10}}{9}\)
\({\text{b)}}\;\frac{1}{{10}} + \frac{2}{5} = \frac{1}{{10}} + \frac{4}{{10}} = \frac{5}{{10}} = \frac{1}{2}\)
\({\text{c)}}\;\;\frac{7}{{22}} - \frac{3}{{11}} = \frac{7}{{22}} - \frac{6}{{22}} = \frac{1}{{22}}{\text{ }}\)
\({\text{d)}}\;\;\frac{5}{6} - \frac{5}{{12}} = \frac{{10}}{{12}} - \frac{5}{{12}} = \frac{5}{{12}}\)
Video hướng dẫn giải
Rô-bốt còn $\frac{7}{{12}}$ chai nước giặt. Rô-bốt quyết định sử dụng $\frac{1}{3}$ chai nước giặt để giặt chăn, rồi dùng thêm $\frac{1}{6}$chai nước giặt để giặt quần áo. Hỏi khi ấy chai nước giặt còn lại mấy phần?

Phương pháp giải:
Số phần chai nước đã dùng = số phần chai nước giặt dùng để giặt chăn + số phần chai nước giặt dùng để giặt quần áo.
Số phần còn lại = Số phần chai nước giặt còn – số phần chai nước giặt đã dùng.
Lời giải chi tiết:
Tóm tắt:
Còn: $\frac{7}{{12}}$ chai
Giặt chăn: $\frac{1}{3}$ chai
Giặt quần áo: $\frac{1}{6}$chai
Còn lại: ? chai
Bài giải
Số phần chai nước giặt đã dùng là:
$\frac{1}{3} + \frac{1}{6} = \frac{1}{2}$ (chai)
Chai nước còn lại số phần là:
$\frac{7}{{12}} - \frac{1}{2} = \frac{1}{{12}}$ (chai)
Đáp số: $\frac{1}{{12}}$chai nước giặt
Video hướng dẫn giải
Anh A Phan, chị Rang Hu và chú Y Phui cùng nhau thu hoạch một rẫy cà phê. Anh A Phan thu hoạch được $\frac{1}{5}$ rẫy, chị Rang Hu thu hoạch được $\frac{3}{{10}}$rẫy, chú Y Phui thu hoạch được $\frac{7}{{20}}$ rẫy. Hỏi cả 3 người thu hoạch được bao nhiêu phần của rẫy cà phê?

Phương pháp giải:
Tìm tổng số phần của rẫy cà phê cả 3 người thu hoạch được
Lời giải chi tiết:
Tóm tắt:
Anh A Phan: $\frac{1}{5}$ rẫy
Chị Rang Hu: $\frac{3}{{10}}$rẫy
Chú Y Phui:$\frac{7}{{20}}$ rẫy
Cả 3 người: ... ? rẫy
Bài giải
Cả ba người thu hoạch được số phần của rẫy cà phê là:
$\frac{1}{5} + \frac{3}{{10}} + \frac{7}{{20}} = \frac{{17}}{{20}}$ (rẫy cà phê)
Đáp số: $\frac{{17}}{{20}}$ rẫy cà phê
Video hướng dẫn giải
Tính.

Phương pháp giải:
Muốn cộng (hoặc trừ) hai phân số khác mẫu số, ta quy đồng mẫu số của hai phân số, rồi cộng (hoặc trừ) hai phân số đó.
Lời giải chi tiết:
\({\text{a)}}\;\frac{2}{3} + \frac{4}{9} = \frac{6}{9} + \frac{4}{9} = \frac{{10}}{9}\)
\({\text{b)}}\;\frac{1}{{10}} + \frac{2}{5} = \frac{1}{{10}} + \frac{4}{{10}} = \frac{5}{{10}} = \frac{1}{2}\)
\({\text{c)}}\;\;\frac{7}{{22}} - \frac{3}{{11}} = \frac{7}{{22}} - \frac{6}{{22}} = \frac{1}{{22}}{\text{ }}\)
\({\text{d)}}\;\;\frac{5}{6} - \frac{5}{{12}} = \frac{{10}}{{12}} - \frac{5}{{12}} = \frac{5}{{12}}\)
Video hướng dẫn giải
Tìm phân số thích hợp.

Phương pháp giải:
Thực hiện phép tính theo chiều mũi tên rồi điền phân số thích hợp vào ô trống
Lời giải chi tiết:
$\frac{1}{2} + \frac{5}{{12}} = \frac{6}{{12}} + \frac{5}{{12}} = \frac{{11}}{{12}}$
$\frac{{11}}{{12}} - \frac{1}{6} = \frac{{11}}{{12}} - \frac{2}{{12}} = \frac{9}{{12}} = \frac{3}{4}$
$\frac{3}{4} - \frac{1}{3} = \frac{9}{{12}} - \frac{4}{{12}} = \frac{5}{{12}}$
$\frac{5}{{12}} + \frac{1}{{24}} = \frac{{10}}{{24}} + \frac{1}{{24}} = \frac{{11}}{{24}}$

Video hướng dẫn giải
Tính bằng cách thuận tiện.
a)$\,\frac{{599}}{{1\,000}} + \frac{{377}}{{1\,000}} + \frac{1}{{1\,000}}\,\,$
b)$\frac{{15}}{4} + \frac{{15}}{{16}} + \frac{5}{{16}}$
Phương pháp giải:
a) Áp dụng tính chất kết hợp để nhóm hai phân số mà tổng của hai tử số là số tròn trăm
b) Áp dụng tính chất kết hợp để nhóm hai phân số có cùng mẫu số với nhau
Lời giải chi tiết:
a) $\frac{{599}}{{1\,000}} + \frac{{377}}{{1\,000}} + \frac{1}{{1\,000}} = \left( {\frac{{599}}{{1\,000}} + \frac{1}{{1\,000}}} \right) + \frac{{377}}{{1\,000}} = \frac{{600}}{{1\,000}} + \frac{{377}}{{1\,000}} = \frac{{977}}{{1\,000}}$
b)$\frac{{15}}{4} + \frac{{15}}{{16}} + \frac{5}{{16}} = \frac{{15}}{4} + \left( {\frac{{15}}{{16}} + \frac{5}{{16}}} \right) = \frac{{15}}{4} + \frac{{20}}{{16}} = \frac{{15}}{4} + \frac{5}{4} = \frac{{20}}{4} = 5$
Video hướng dẫn giải
Anh A Phan, chị Rang Hu và chú Y Phui cùng nhau thu hoạch một rẫy cà phê. Anh A Phan thu hoạch được $\frac{1}{5}$ rẫy, chị Rang Hu thu hoạch được $\frac{3}{{10}}$rẫy, chú Y Phui thu hoạch được $\frac{7}{{20}}$ rẫy. Hỏi cả 3 người thu hoạch được bao nhiêu phần của rẫy cà phê?

Phương pháp giải:
Tìm tổng số phần của rẫy cà phê cả 3 người thu hoạch được
Lời giải chi tiết:
Tóm tắt:
Anh A Phan: $\frac{1}{5}$ rẫy
Chị Rang Hu: $\frac{3}{{10}}$rẫy
Chú Y Phui:$\frac{7}{{20}}$ rẫy
Cả 3 người: ... ? rẫy
Bài giải
Cả ba người thu hoạch được số phần của rẫy cà phê là:
$\frac{1}{5} + \frac{3}{{10}} + \frac{7}{{20}} = \frac{{17}}{{20}}$ (rẫy cà phê)
Đáp số: $\frac{{17}}{{20}}$ rẫy cà phê
Video hướng dẫn giải
Đ, S?

Phương pháp giải:
- Dựa vào quy tắc cộng, trừ hai phân số để xác định câu đúng, câu sai.
- Muốn cộng (hoặc trừ) hai phân số khác mẫu số, ta quy đồng mẫu số của hai phân số, rồi cộng (hoặc trừ) hai phân số đó.
Lời giải chi tiết:

Video hướng dẫn giải
Rút gọn rồi tính.

Phương pháp giải:
Rút gọn các phân số thành phân số tối giản,sau đó thực hiện phép cộng (trừ) hai phân số như thông thường.
Lời giải chi tiết:
a) \(\frac{4}{{24}} + \frac{7}{6} = \frac{1}{6} + \frac{7}{6} = \frac{8}{6} = \frac{4}{3}\)
b) \(\;\frac{{10}}{{15}} - \frac{1}{3} = \;\frac{2}{3} - \frac{1}{3} = \;\frac{1}{3}\)
c) \(\;\frac{{21}}{{28}} - \frac{1}{4} = \frac{3}{4} - \frac{1}{4} = \frac{2}{4} = \frac{1}{2}\)
d) \(\frac{{35}}{{40}} + \frac{5}{8} = \frac{7}{8} + \frac{5}{8} = \frac{{12}}{8} = \frac{3}{2}\)
Video hướng dẫn giải
Một xe ô tô chạy được $\frac{2}{7}$ quãng đường trong giờ đầu tiên. Giờ tiếp theo, ô tô chạy thêm được $\frac{3}{7}$ quãng đường. Hỏi sau hai giờ, ô tô chạy được mấy phần của quãng đường?
Phương pháp giải:
Số phần của quãng đường sau 2 giờ = số phần quãng đường chạy được trong 1 giờ đầu + số phần quãng đường chạy được trong 1 giờ tiếp theo.
Lời giải chi tiết:
Tóm tắt:
Giờ đầu: $\frac{2}{7}$ quãng đường
Giờ tiếp theo: $\frac{3}{7}$ quãng đường
Sau hai giờ: ? quãng đường
Bài giải
Sau hai giờ, ô tô chạy được số phần của quãng đường là:
$\frac{2}{7} + \frac{3}{7} = \frac{5}{7}$(quãng đường)
Đáp số: $\frac{5}{7}$ quãng đường
Video hướng dẫn giải
Một cây gỗ dài $\frac{{17}}{4}$ m. Rô-bốt cưa cây gỗ đó thành ba khúc. Biết rằng khúc gỗ thứ nhất dài $\frac{3}{2}$m, khúc gỗ thứ hai dài $\frac{9}{8}$m. Tính chiều dài của khúc gỗ còn lại?
Phương pháp giải:
Cách 1: Chiều dài khúc gỗ còn lại = Chiều dài cây gỗ - chiều dài khúc gỗ thứ nhất – chiều dài khúc gỗ thứ hai.
Cách 2: Chiều dài hai khúc gỗ = chiều dài khúc gỗ thứ nhất + chiều dài khúc gỗ thứ hai.
Chiều dài khúc gỗ còn lại = chiều dài cây gỗ - chiều dài hai khúc gỗ.
Lời giải chi tiết:
Tóm tắt
Cây gỗ: $\frac{{17}}{4}$ m
Khúc gỗ thứ nhất: $\frac{3}{2}$m
Khúc gỗ thứ hai: $\frac{9}{8}$m
Khúc gỗ còn lại: ... ? m
Bài giải
Cách 1
Chiều dài khúc gỗ còn lại là:
$\frac{{17}}{4} - \frac{3}{2} - \frac{9}{8} = \frac{{13}}{8}$(m)
Đáp số: $\frac{{13}}{8}$m
Cách 2
Chiều dài hai khúc gỗ là:
$\frac{3}{2} + \frac{9}{8} = \frac{{21}}{8}$(m)
Chiều dài khúc gỗ còn lại là:
$\frac{{17}}{4} - \frac{{21}}{8} = \frac{{13}}{8}$(m)
Đáp số: $\frac{{13}}{8}$m
Video hướng dẫn giải
Tính (theo mẫu).

Phương pháp giải:
Viết số tự nhiên dưới dạng phân số có mẫu số bằng mẫu số của phân số còn lại rồi thực hiện phép cộng (trừ) trừ hai phân số như thông thường.
Lời giải chi tiết:
a) \(1 + \frac{4}{9} = \frac{9}{9} + \frac{4}{9} = \frac{{13}}{9}\)
b) \(5 + \frac{1}{2} = \frac{{10}}{2} + \frac{1}{2} = \frac{{11}}{2}\)
c) \(3 - \frac{5}{6} = \frac{{18}}{6} - \frac{5}{6} = \frac{{13}}{6}\)
d) \(\;\frac{{31}}{7} - 2 = \frac{{31}}{7} - \frac{{14}}{7} = \frac{{17}}{7}\)
Video hướng dẫn giải
Tìm phân số thích hợp.

Phương pháp giải:
Thực hiện các phép tính theo chiều mũi tên rồi viết phân số thích hợp vào chỗ trống.
Lời giải chi tiết:
$\frac{2}{{21}} + \frac{1}{7} = \frac{2}{{21}} + \frac{3}{{21}} = \frac{5}{{21}}$
$\frac{5}{{21}} + 1 = \frac{5}{{21}} + \frac{{21}}{{21}} = \frac{{26}}{{21}}$
$\frac{9}{{25}} + \frac{1}{5} = \frac{9}{{25}} + \frac{5}{{25}} = \frac{{14}}{{25}}$
$\frac{{14}}{{25}} - \frac{1}{5} = \frac{{14}}{{25}} - \frac{5}{{25}} = \frac{9}{{25}}$
Ta điền như sau:

Video hướng dẫn giải
Rô-bốt còn $\frac{7}{{12}}$ chai nước giặt. Rô-bốt quyết định sử dụng $\frac{1}{3}$ chai nước giặt để giặt chăn, rồi dùng thêm $\frac{1}{6}$chai nước giặt để giặt quần áo. Hỏi khi ấy chai nước giặt còn lại mấy phần?

Phương pháp giải:
Số phần chai nước đã dùng = số phần chai nước giặt dùng để giặt chăn + số phần chai nước giặt dùng để giặt quần áo.
Số phần còn lại = Số phần chai nước giặt còn – số phần chai nước giặt đã dùng.
Lời giải chi tiết:
Tóm tắt:
Còn: $\frac{7}{{12}}$ chai
Giặt chăn: $\frac{1}{3}$ chai
Giặt quần áo: $\frac{1}{6}$chai
Còn lại: ? chai
Bài giải
Số phần chai nước giặt đã dùng là:
$\frac{1}{3} + \frac{1}{6} = \frac{1}{2}$ (chai)
Chai nước còn lại số phần là:
$\frac{7}{{12}} - \frac{1}{2} = \frac{1}{{12}}$ (chai)
Đáp số: $\frac{1}{{12}}$chai nước giặt
Video hướng dẫn giải
Tìm phân số thích hợp.

Phương pháp giải:
Quan sát hình vẽ và thực hiện các phép tính cộng, trừ hai phân số để tìm được phân số ở dấu ?
Lời giải chi tiết:

Bài 62 Toán lớp 4 trang 83 là một bài luyện tập quan trọng giúp học sinh củng cố kiến thức đã học trong chương trình Toán lớp 4. Bài tập bao gồm nhiều dạng khác nhau, đòi hỏi học sinh phải vận dụng linh hoạt các kiến thức đã học để giải quyết.
Bài tập Luyện tập chung trang 83 Toán lớp 4 Kết nối tri thức bao gồm các dạng bài tập sau:
Để giải bài tập này, học sinh cần thực hiện các phép tính nhẩm một cách nhanh chóng và chính xác. Ví dụ:
a) 25 + 15 = 40
b) 50 - 20 = 30
c) 10 x 3 = 30
d) 40 : 5 = 8
Để giải bài tập này, học sinh cần đặt tính đúng theo quy tắc và thực hiện các phép tính một cách cẩn thận. Ví dụ:
a) 345 + 234 = 579
b) 678 - 456 = 222
c) 123 x 4 = 492
d) 567 : 3 = 189
Để giải bài tập này, học sinh cần:
Ví dụ: Một cửa hàng có 250 kg gạo. Buổi sáng bán được 120 kg gạo, buổi chiều bán được 80 kg gạo. Hỏi cửa hàng còn lại bao nhiêu kg gạo?
Giải:
Số gạo đã bán là: 120 + 80 = 200 (kg)
Số gạo còn lại là: 250 - 200 = 50 (kg)
Đáp số: 50 kg
Để giải bài tập về hình học, học sinh cần nắm vững các công thức tính chu vi, diện tích của các hình chữ nhật, hình vuông. Ví dụ:
Một hình chữ nhật có chiều dài 10 cm, chiều rộng 5 cm. Tính chu vi và diện tích của hình chữ nhật đó.
Giải:
Chu vi của hình chữ nhật là: (10 + 5) x 2 = 30 (cm)
Diện tích của hình chữ nhật là: 10 x 5 = 50 (cm2)
Đáp số: Chu vi: 30 cm; Diện tích: 50 cm2
Việc luyện tập Toán lớp 4 thường xuyên giúp học sinh:
Hy vọng với hướng dẫn chi tiết này, các em học sinh sẽ tự tin giải các bài tập trong bài 62 Toán lớp 4 trang 83 - Luyện tập chung - SGK Kết nối tri thức. Chúc các em học tốt!