Bài 64 Toán lớp 4 trang 91 thuộc chương trình Kết nối tri thức, tập trung vào việc rèn luyện kỹ năng chia phân số cho học sinh. Bài học này giúp các em hiểu rõ hơn về cách thực hiện phép chia phân số, ứng dụng vào giải các bài toán thực tế.
Tại giaibaitoan.com, chúng tôi cung cấp lời giải chi tiết, dễ hiểu cho từng bài tập trong bài 64, giúp các em học sinh nắm vững kiến thức và tự tin giải toán.
Một bức tranh hình chữ nhật có diện tích 27/2 Người ta cắt một thanh sắt dài 3/2 m thành các đoạn
Video hướng dẫn giải
Tìm phân số thích hợp.
Một bức tranh hình chữ nhật có diện tích $\frac{{27}}{2}$dm2 và chiều rộng $\frac{{10}}{3}$dm.
Chiều dài của bức tranh là ..?.. dm.
Phương pháp giải:
Chiều dài bức tranh = diện tích bức tranh : chiều rộng
Lời giải chi tiết:
Chiều dài bức tranh là: $\frac{{27}}{2}:\frac{{10}}{3} = \frac{{81}}{{20}}$ (dm)
Vậy phân số thích hợp cần tìm là $\frac{{81}}{{20}}$
>> Xem chi tiết: Lý thuyết: Bài 64. Phép chia phân số - SGK Kết nối tri thức
Video hướng dẫn giải
a) Viết phân số đảo ngược của mỗi phân số sau: $\frac{5}{8};\,\,\frac{3}{4};\,\,\frac{1}{2}$
b) Tính.

Phương pháp giải:
a) Viết phân số đảo ngược của mỗi phân số đã cho
b)Muốn thực hiện phép chia hai phân số, ta lấy phân số thứ nhất nhân với phân số đảo ngược của phân số thứ hai
Lời giải chi tiết:
a) Phân số đảo ngược của mỗi phân số sau: $\frac{5}{8};\,\,\frac{3}{4};\,\,\frac{1}{2}$ lần lượt là $\frac{8}{5};\,\,\frac{4}{3};\,\,\frac{2}{1}$
b) \(\frac{3}{7}:\frac{5}{8} = \frac{3}{7} \times \frac{8}{5} = \frac{{24}}{{35}}\,\)
\(\,\frac{8}{7}:\frac{3}{4} = \frac{8}{7} \times \frac{4}{3} = \frac{{32}}{{21}}\,\)
\(\,\frac{1}{3}:\frac{1}{2} = \frac{1}{3} \times \frac{2}{1} = \frac{2}{3}\)
Video hướng dẫn giải
Tính rồi rút gọn.

Phương pháp giải:
- Muốn thực hiện phép chia hai phân số, ta lấy phân số thứ nhất nhân với phân số đảo ngược của phân số thứ hai
- Rút gọn các kết quả chưa tối giản.
Lời giải chi tiết:
a) \(\frac{3}{5}:\frac{3}{4} = \frac{3}{5} \times \frac{4}{3} = \frac{{12}}{{15}} = \frac{4}{3}\,\)
b) \(\,\frac{2}{5}:\frac{3}{{10}} = \frac{2}{5} \times \frac{{10}}{3} = \frac{{20}}{{15}} = \frac{4}{3}\)
c) \(\frac{1}{8}:\frac{1}{6} = \frac{1}{8} \times \frac{6}{1} = \frac{6}{8} = \frac{3}{4}\)
Video hướng dẫn giải
Tính rồi rút gọn.

Phương pháp giải:
- Muốn thực hiện phép chia hai phân số, ta lấy phân số thứ nhất nhân với phân số đảo ngược của phân số thứ hai
- Rút gọn các kết quả chưa tối giản.
Lời giải chi tiết:
a) \(\frac{3}{8}:\frac{9}{4} = \frac{3}{8} \times \frac{4}{9} = \frac{{12}}{{72}} = \frac{1}{6}\)
b) \(\frac{8}{{21}}:\frac{4}{7} = \frac{8}{{21}} \times \frac{7}{4} = \frac{{56}}{{84}} = \frac{2}{3}\,\)
c) \(\frac{5}{8}:\frac{{15}}{8} = \frac{5}{8} \times \frac{8}{{15}} = \frac{{40}}{{120}} = \frac{1}{3}\)
Video hướng dẫn giải
Tính.

Phương pháp giải:
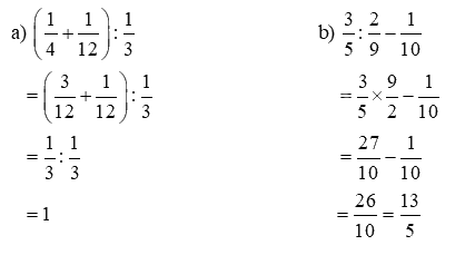
- Biểu thức có dấu ngoặc thì thực hiện phép tính trong ngoặc trước - Biểu thức có chứa các phép tính cộng, trừ, nhân, chia thì ta thực hiện phép tính nhân, chia trước, thực hiện phép tính cộng, trừ sau.
Lời giải chi tiết:

Video hướng dẫn giải
Tìm phân số thích hợp (theo mẫu).

Phương pháp giải:
Để tìm thừa số chưa biết ta lấy tích chia cho thừa số đã biết
Để tìm số chia ta thấy số bị chia chia cho thương
Lời giải chi tiết:
a) \(\frac{2}{5} \times ? = \frac{3}{{10}}\,\)
\(\frac{3}{{10}}:\frac{2}{5} = \frac{3}{4}\)
b) \(\,\frac{1}{8}:? = \frac{1}{5}\)
\(\frac{1}{8}:\frac{1}{5} = \frac{5}{8}\)
Video hướng dẫn giải
Tìm phân số thích hợp.

Phương pháp giải:
Thực hiện tính kết quả các phép tính theo chiều mũi tên rồi điền phân số thích hợp vào ô trống.
Lời giải chi tiết:
$\frac{2}{3} \times \frac{5}{7} = \frac{{2 \times 5}}{{3 \times 7}} = \frac{{10}}{{21}}$
$\frac{{10}}{{21}}:\frac{5}{7} = \frac{{10}}{{21}} \times \frac{7}{5} = \frac{{70}}{{105}} = \frac{2}{3}$
$\frac{2}{3}:\frac{2}{9} = \frac{2}{3} \times \frac{9}{2} = \frac{{18}}{6} = 3$

Video hướng dẫn giải
Người ta cắt một thanh sắt dài $\frac{3}{2}$m thành các đoạn, mỗi đoạn dài $\frac{1}{8}$m. Hỏi người ta cắt được bao nhiêu đoạn như vậy?

Phương pháp giải:
Số đoạn cắt được = độ dài thanh sắt : độ dài mỗi đoạn thanh sắt
Lời giải chi tiết:
Tóm tắt:
$\frac{1}{8}$m: 1 đoạn
$\frac{3}{2}$m: ? đoạn
Bài giải
Thanh sắt được cắt làm số đoạn là:
$\frac{3}{2}:\frac{1}{8} = 12$(đoạn)
Đáp số: 12 đoạn
Video hướng dẫn giải
Vào một buổi chiều, người ta đo được chiều dài cái bóng của ngọn tháp là $\frac{{99}}{4}$m. Biết chiều dài cái bóng của ngọn tháp gấp 2 lần chiều cao ngọn tháp. Tính chiều cao ngọn tháp.

Phương pháp giải:
Chiều cao ngọn tháp = chiều dài cái bóng : 2
Lời giải chi tiết:
Chiều cao ngọn tháp là:
$\frac{{99}}{4}:2 = \frac{{99}}{8}$ (m)
Đáp số: $\frac{{99}}{8}$ m
Video hướng dẫn giải
Tính (theo mẫu).

Phương pháp giải:
Thực hiện các phép chia theo ví dụ mẫu
Lời giải chi tiết:
a) \(3:\frac{5}{7} = \frac{{3 \times 7}}{5}{\text{ = }}\frac{{21}}{5}\)
b) \(\,4:\frac{1}{3} = \frac{{4 \times 3}}{1} = 12\)
c) \(\frac{5}{7}:3 = \frac{5}{{7 \times 3}} = \frac{5}{{21}}\,\)
Video hướng dẫn giải
a) Viết phân số đảo ngược của mỗi phân số sau: $\frac{5}{8};\,\,\frac{3}{4};\,\,\frac{1}{2}$
b) Tính.

Phương pháp giải:
a) Viết phân số đảo ngược của mỗi phân số đã cho
b)Muốn thực hiện phép chia hai phân số, ta lấy phân số thứ nhất nhân với phân số đảo ngược của phân số thứ hai
Lời giải chi tiết:
a) Phân số đảo ngược của mỗi phân số sau: $\frac{5}{8};\,\,\frac{3}{4};\,\,\frac{1}{2}$ lần lượt là $\frac{8}{5};\,\,\frac{4}{3};\,\,\frac{2}{1}$
b) \(\frac{3}{7}:\frac{5}{8} = \frac{3}{7} \times \frac{8}{5} = \frac{{24}}{{35}}\,\)
\(\,\frac{8}{7}:\frac{3}{4} = \frac{8}{7} \times \frac{4}{3} = \frac{{32}}{{21}}\,\)
\(\,\frac{1}{3}:\frac{1}{2} = \frac{1}{3} \times \frac{2}{1} = \frac{2}{3}\)
Video hướng dẫn giải
Tìm phân số thích hợp.

Phương pháp giải:
Thực hiện tính kết quả các phép tính theo chiều mũi tên rồi điền phân số thích hợp vào ô trống.
Lời giải chi tiết:
$\frac{2}{3} \times \frac{5}{7} = \frac{{2 \times 5}}{{3 \times 7}} = \frac{{10}}{{21}}$
$\frac{{10}}{{21}}:\frac{5}{7} = \frac{{10}}{{21}} \times \frac{7}{5} = \frac{{70}}{{105}} = \frac{2}{3}$
$\frac{2}{3}:\frac{2}{9} = \frac{2}{3} \times \frac{9}{2} = \frac{{18}}{6} = 3$

Video hướng dẫn giải
Tìm phân số thích hợp.
Một bức tranh hình chữ nhật có diện tích $\frac{{27}}{2}$dm2 và chiều rộng $\frac{{10}}{3}$dm.
Chiều dài của bức tranh là ..?.. dm.
Phương pháp giải:
Chiều dài bức tranh = diện tích bức tranh : chiều rộng
Lời giải chi tiết:
Chiều dài bức tranh là: $\frac{{27}}{2}:\frac{{10}}{3} = \frac{{81}}{{20}}$ (dm)
Vậy phân số thích hợp cần tìm là $\frac{{81}}{{20}}$
Video hướng dẫn giải
Tính rồi rút gọn.

Phương pháp giải:
- Muốn thực hiện phép chia hai phân số, ta lấy phân số thứ nhất nhân với phân số đảo ngược của phân số thứ hai
- Rút gọn các kết quả chưa tối giản.
Lời giải chi tiết:
a) \(\frac{3}{5}:\frac{3}{4} = \frac{3}{5} \times \frac{4}{3} = \frac{{12}}{{15}} = \frac{4}{3}\,\)
b) \(\,\frac{2}{5}:\frac{3}{{10}} = \frac{2}{5} \times \frac{{10}}{3} = \frac{{20}}{{15}} = \frac{4}{3}\)
c) \(\frac{1}{8}:\frac{1}{6} = \frac{1}{8} \times \frac{6}{1} = \frac{6}{8} = \frac{3}{4}\)
Video hướng dẫn giải
Tìm phân số thích hợp (theo mẫu).

Phương pháp giải:
Để tìm thừa số chưa biết ta lấy tích chia cho thừa số đã biết
Để tìm số chia ta thấy số bị chia chia cho thương
Lời giải chi tiết:
a) \(\frac{2}{5} \times ? = \frac{3}{{10}}\,\)
\(\frac{3}{{10}}:\frac{2}{5} = \frac{3}{4}\)
b) \(\,\frac{1}{8}:? = \frac{1}{5}\)
\(\frac{1}{8}:\frac{1}{5} = \frac{5}{8}\)
Video hướng dẫn giải
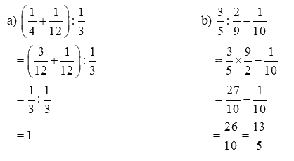
Tính.

Phương pháp giải:
- Biểu thức có dấu ngoặc thì thực hiện phép tính trong ngoặc trước - Biểu thức có chứa các phép tính cộng, trừ, nhân, chia thì ta thực hiện phép tính nhân, chia trước, thực hiện phép tính cộng, trừ sau.
Lời giải chi tiết:

Video hướng dẫn giải
Người ta cắt một thanh sắt dài $\frac{3}{2}$m thành các đoạn, mỗi đoạn dài $\frac{1}{8}$m. Hỏi người ta cắt được bao nhiêu đoạn như vậy?

Phương pháp giải:
Số đoạn cắt được = độ dài thanh sắt : độ dài mỗi đoạn thanh sắt
Lời giải chi tiết:
Tóm tắt:
$\frac{1}{8}$m: 1 đoạn
$\frac{3}{2}$m: ? đoạn
Bài giải
Thanh sắt được cắt làm số đoạn là:
$\frac{3}{2}:\frac{1}{8} = 12$(đoạn)
Đáp số: 12 đoạn
Video hướng dẫn giải
Tính rồi rút gọn.

Phương pháp giải:
- Muốn thực hiện phép chia hai phân số, ta lấy phân số thứ nhất nhân với phân số đảo ngược của phân số thứ hai
- Rút gọn các kết quả chưa tối giản.
Lời giải chi tiết:
a) \(\frac{3}{8}:\frac{9}{4} = \frac{3}{8} \times \frac{4}{9} = \frac{{12}}{{72}} = \frac{1}{6}\)
b) \(\frac{8}{{21}}:\frac{4}{7} = \frac{8}{{21}} \times \frac{7}{4} = \frac{{56}}{{84}} = \frac{2}{3}\,\)
c) \(\frac{5}{8}:\frac{{15}}{8} = \frac{5}{8} \times \frac{8}{{15}} = \frac{{40}}{{120}} = \frac{1}{3}\)
Video hướng dẫn giải
Tính (theo mẫu).

Phương pháp giải:
Thực hiện các phép chia theo ví dụ mẫu
Lời giải chi tiết:
a) \(3:\frac{5}{7} = \frac{{3 \times 7}}{5}{\text{ = }}\frac{{21}}{5}\)
b) \(\,4:\frac{1}{3} = \frac{{4 \times 3}}{1} = 12\)
c) \(\frac{5}{7}:3 = \frac{5}{{7 \times 3}} = \frac{5}{{21}}\,\)
Video hướng dẫn giải
Vào một buổi chiều, người ta đo được chiều dài cái bóng của ngọn tháp là $\frac{{99}}{4}$m. Biết chiều dài cái bóng của ngọn tháp gấp 2 lần chiều cao ngọn tháp. Tính chiều cao ngọn tháp.

Phương pháp giải:
Chiều cao ngọn tháp = chiều dài cái bóng : 2
Lời giải chi tiết:
Chiều cao ngọn tháp là:
$\frac{{99}}{4}:2 = \frac{{99}}{8}$ (m)
Đáp số: $\frac{{99}}{8}$ m
>> Xem chi tiết: Lý thuyết: Bài 64. Phép chia phân số - SGK Kết nối tri thức
Bài 64 Toán lớp 4 trang 91 thuộc chương trình Kết nối tri thức, là một bước quan trọng trong việc giúp học sinh làm quen và thành thạo với phép chia phân số. Phép chia phân số là một khái niệm cơ bản nhưng lại đóng vai trò quan trọng trong việc xây dựng nền tảng toán học vững chắc cho các em.
Trước khi đi vào giải bài tập, chúng ta cần nắm vững lý thuyết cơ bản về phép chia phân số. Để chia một phân số cho một phân số khác, ta thực hiện như sau:
Ví dụ: Để chia 2/3 cho 1/2, ta thực hiện như sau:
Vậy, 2/3 chia cho 1/2 bằng 4/3.
Dưới đây là lời giải chi tiết cho các bài tập trong bài 64 Toán lớp 4 trang 91 - SGK Kết nối tri thức:
a) 3/4 : 1/2 = ?
Lời giải: 3/4 : 1/2 = 3/4 x 2/1 = 6/4 = 3/2
b) 2/5 : 3/4 = ?
Lời giải: 2/5 : 3/4 = 2/5 x 4/3 = 8/15
c) 5/6 : 2/3 = ?
Lời giải: 5/6 : 2/3 = 5/6 x 3/2 = 15/12 = 5/4
Lời giải:
Diện tích hình chữ nhật = chiều dài x chiều rộng
Diện tích hình chữ nhật = (4/5) m x (2/3) m = 8/15 m2
Vậy, diện tích hình chữ nhật là 8/15 m2.
Lời giải:
Mỗi bạn được số kg kẹo là: (3/5) kg : 3 = (3/5) x (1/3) = 3/15 = 1/5 kg
Vậy, mỗi bạn được 1/5 kg kẹo.
Để hiểu sâu hơn về phép chia phân số, các em có thể luyện tập thêm với các bài tập sau:
Khi giải bài tập về phép chia phân số, các em cần lưu ý những điều sau:
Hy vọng với lời giải chi tiết và những lưu ý trên, các em học sinh sẽ tự tin hơn khi giải các bài tập về phép chia phân số trong chương trình Toán lớp 4. Chúc các em học tốt!