Chào mừng bạn đến với bài trắc nghiệm trực tuyến về Bài 28: Phép chia đa thức một biến, chương trình Toán 7 Kết nối tri thức. Bài trắc nghiệm này được thiết kế để giúp bạn củng cố kiến thức và rèn luyện kỹ năng giải toán.
Giaibaitoan.com cung cấp bộ câu hỏi đa dạng, bao gồm các dạng bài tập khác nhau, từ cơ bản đến nâng cao, giúp bạn tự đánh giá năng lực của mình.
Tìm kết quả của phép chia 8x4 - 2x3 cho 4x2
2x2
4x5
2x2 - 0,5.x
2x2 + 1
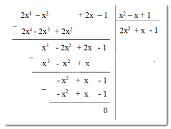
Phép chia 2x4 – x3 + 2x – 1 cho x2 – x + 1 có thương là:
0,5. x2 + 2x – 1
- 2x2 + 2x – 1
2x2 + x – 1
2x2 + x + 1
Phép chia 2x5 – 3x3 + 1 cho -2x3 + 3 có dư là:
3x2 – 3,5
–x2 + 1,5
x2 - 1,5
-3x2 + 3,5
Thương của phép chia đa thức một biến bậc 6 cho đa thức một biến bậc 2 là đa thức bậc mấy?
2
3
4
Không xác định được
Tìm đa thức bị chia biết đa thức chia là \(\left( {{x^2} + x + 1} \right)\), thương là \(\left( {x + 3} \right)\), dư là \(x - 2\):
\({x^3} + 4{x^2} + 5x + 1\)
\({x^3} - 4{x^2} + 5x + 1\)
\({x^3} - 4{x^2} - 5x + 1\)
\({x^3} + 4{x^2} - 5x + 1\)
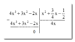
Tính giá trị biểu thức \(A = \left( {4{x^3} + 3{x^2} - 2x} \right):\left( {{x^2} + \dfrac{3}{4}x - \dfrac{1}{2}} \right)\) tại \(x = 2\)
\(8\)
\(9\)
\(10\)
\(12\)
Xác định hằng số \(a\) và \(b\) sao cho \(\left( {{x^4} + ax + b} \right) \vdots \left( {{x^2} - 4} \right)\):
\(a = 0\) và \(b = - 16\)
\(a = 0\) và \(b = 16\)
\(a = 0\) và \(b = 0\)
\(a = 1\) và \(b = 1\)
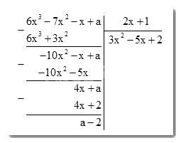
Xác định a để \(\left( {6{x^3} - 7{x^2} - x + a} \right):\left( {2x + 1} \right)\) dư \(2\):
\( - 4\)
\(2\)
\( - 2\)
\(4\)
Cho \(P = \dfrac{{2{n^3} - 3{n^2} + 3n - 1}}{{n - 1}}\). Có bao nhiêu giá trị \(n \in Z\) để \(P \in Z\).
0
1
2
Vô số
Lời giải và đáp án
Tìm kết quả của phép chia 8x4 - 2x3 cho 4x2
2x2
4x5
2x2 - 0,5.x
2x2 + 1
Đáp án : C
Muốn chia đa thức cho đơn thức, ta chia từng hạng tử của đa thức cho đơn thức rồi tổng các kết quả thu được.
Ta có:
(8x4 - 2x3) : 4x2 = 8x4 : 4x2 - 2x3 : 4x2 = 2x2 – 0,5.x
Phép chia 2x4 – x3 + 2x – 1 cho x2 – x + 1 có thương là:
0,5. x2 + 2x – 1
- 2x2 + 2x – 1
2x2 + x – 1
2x2 + x + 1
Đáp án : C
Muốn chia đa thức A cho đa thức B, ta làm như sau:
Bước 1: Đặt tính chia tương tự như chia hai số tự nhiên. Lấy hạng tử bậc cao nhất của A chia cho hạng tử bậc cao nhất của B.
Bước 2: Lấy A trừ đi tích của B với thương mới thu được ở bước 1
Bước 3: Lấy hạng tử bậc cao nhất của dư thứ nhất chia cho hạng tử bậc cao nhất của B
Bước 4: Lấy dư thứ nhất trừ đi tích B với thương vừa thu được ở bước 3
Bước 5: Làm tương tự như trên
Đến khi dư cuối cùng có bậc nhỏ hơn bậc của B thì quá trình chia kết thúc.

Phép chia 2x5 – 3x3 + 1 cho -2x3 + 3 có dư là:
3x2 – 3,5
–x2 + 1,5
x2 - 1,5
-3x2 + 3,5
Đáp án : A
Muốn chia đa thức A cho đa thức B, ta làm như sau:
Bước 1: Đặt tính chia tương tự như chia hai số tự nhiên. Lấy hạng tử bậc cao nhất của A chia cho hạng tử bậc cao nhất của B.
Bước 2: Lấy A trừ đi tích của B với thương mới thu được ở bước 1
Bước 3: Lấy hạng tử bậc cao nhất của dư thứ nhất chia cho hạng tử bậc cao nhất của B
Bước 4: Lấy dư thứ nhất trừ đi tích B với thương vừa thu được ở bước 3
Bước 5: Làm tương tự như trên
Đến khi dư cuối cùng có bậc nhỏ hơn bậc của B thì quá trình chia kết thúc.

Vậy số dư là \(3x^2 - \frac{7}{2} = 3x^2 – 3,5\)
Thương của phép chia đa thức một biến bậc 6 cho đa thức một biến bậc 2 là đa thức bậc mấy?
2
3
4
Không xác định được
Đáp án : C
Viết dạng tổng quát của phép chia đa thức bậc 6 cho đa thức bậc 2
Ta có: Đa thức biến x bậc 6 có dạng: a6 . x6 + a5 . x5 + a4 . x4 + a3 . x3 + a2 . x2 + a1. x + a0 (a6 khác 0)
Đa thức biến x bậc 2 có dạng: b2 . x2 + b1. x + b0 (b2 khác 0)
Khi chia đa thức biến x bậc 6 cho đa thức biến x bậc 2, đầu tiên, ta lấy hạng tử : a6 . x6 chia cho b2 . x2 nên thu được đa thức thương có bậc là 6 – 2 = 4
Tìm đa thức bị chia biết đa thức chia là \(\left( {{x^2} + x + 1} \right)\), thương là \(\left( {x + 3} \right)\), dư là \(x - 2\):
\({x^3} + 4{x^2} + 5x + 1\)
\({x^3} - 4{x^2} + 5x + 1\)
\({x^3} - 4{x^2} - 5x + 1\)
\({x^3} + 4{x^2} - 5x + 1\)
Đáp án : A
Tìm đa thức A thỏa mãn A = B. Q + R
Trong đó, A là đa thức bị chia, B là đa thức chia, Q là thương, R là dư
Ta có: Đa thức bị chia = \(\left( {{x^2} + x + 1} \right)\). \(\left( {x + 3} \right)\) + \(x - 2\)
= x2 . (x + 3) + x. (x+3) + 1. (x+3) + x – 2
= x2 . x + x2 . 3 + x .x + x . 3 + 1. x + 1.3 + x – 2
= x3 + 3x2 + x2 + 3x + x + 3 + x – 2
= x3 + (3x2 + x2 ) + (3x + x + x ) + (3 – 2)
= x3 + 4x2 + 5x + 1
Tính giá trị biểu thức \(A = \left( {4{x^3} + 3{x^2} - 2x} \right):\left( {{x^2} + \dfrac{3}{4}x - \dfrac{1}{2}} \right)\) tại \(x = 2\)
\(8\)
\(9\)
\(10\)
\(12\)
Đáp án : A
+) Chia đa thức cho đa thức: Muốn chia đa thức A cho đa thức B, ta làm như sau:
Bước 1: Đặt tính chia tương tự như chia hai số tự nhiên. Lấy hạng tử bậc cao nhất của A chia cho hạng tử bậc cao nhất của B.
Bước 2: Lấy A trừ đi tích của B với thương mới thu được ở bước 1
Bước 3: Lấy hạng tử bậc cao nhất của dư thứ nhất chia cho hạng tử bậc cao nhất của B
Bước 4: Lấy dư thứ nhất trừ đi tích B với thương vừa thu được ở bước 3
Bước 5: Làm tương tự như trên
Đến khi dư cuối cùng có bậc nhỏ hơn bậc của B thì quá trình chia kết thúc.
+) Thay x = 2 vào đa thức thương vừa thu được

Tại \(x = 2\) , ta có: \(A = 4x = 4.2 = 8\)
Xác định hằng số \(a\) và \(b\) sao cho \(\left( {{x^4} + ax + b} \right) \vdots \left( {{x^2} - 4} \right)\):
\(a = 0\) và \(b = - 16\)
\(a = 0\) và \(b = 16\)
\(a = 0\) và \(b = 0\)
\(a = 1\) và \(b = 1\)
Đáp án : A
+) Chia đa thức cho đa thức: Muốn chia đa thức A cho đa thức B, ta làm như sau:
Bước 1: Đặt tính chia tương tự như chia hai số tự nhiên. Lấy hạng tử bậc cao nhất của A chia cho hạng tử bậc cao nhất của B.
Bước 2: Lấy A trừ đi tích của B với thương mới thu được ở bước 1
Bước 3: Lấy hạng tử bậc cao nhất của dư thứ nhất chia cho hạng tử bậc cao nhất của B
Bước 4: Lấy dư thứ nhất trừ đi tích B với thương vừa thu được ở bước 3
Bước 5: Làm tương tự như trên
Đến khi dư cuối cùng có bậc nhỏ hơn bậc của B thì quá trình chia kết thúc.
+) Biện luận để \(\left( {{x^4} + ax + b} \right) \vdots \left( {{x^2} - 4} \right)\) thì dư = 0, tìm a,b

Để \({x^4} + ax + b\) chia hết cho \({x^2} - 4\) thì
\(ax + b + 16 = 0 \)
\(ax = 0\) và \(b + 16 = 0\)
suy ra \(a = 0\) và \(b = - 16\)
Xác định a để \(\left( {6{x^3} - 7{x^2} - x + a} \right):\left( {2x + 1} \right)\) dư \(2\):
\( - 4\)
\(2\)
\( - 2\)
\(4\)
Đáp án : D
+) Chia đa thức cho đa thức: Muốn chia đa thức A cho đa thức B, ta làm như sau:
Bước 1: Đặt tính chia tương tự như chia hai số tự nhiên. Lấy hạng tử bậc cao nhất của A chia cho hạng tử bậc cao nhất của B.
Bước 2: Lấy A trừ đi tích của B với thương mới thu được ở bước 1
Bước 3: Lấy hạng tử bậc cao nhất của dư thứ nhất chia cho hạng tử bậc cao nhất của B
Bước 4: Lấy dư thứ nhất trừ đi tích B với thương vừa thu được ở bước 3
Bước 5: Làm tương tự như trên
Đến khi dư cuối cùng có bậc nhỏ hơn bậc của B thì quá trình chia kết thúc.
+) Biện luận để dư = 2

Để \(6{x^3} - 7{x^2} - x + a\) chia \(2x + 1\) dư \(2\) thì \(a - 2 = 2 \Leftrightarrow a = 4\).
Cho \(P = \dfrac{{2{n^3} - 3{n^2} + 3n - 1}}{{n - 1}}\). Có bao nhiêu giá trị \(n \in Z\) để \(P \in Z\).
0
1
2
Vô số
Đáp án : C
- Đặt phép chia.
- Để thỏa mãn điều kiện của đề bài thì số dư cuối cùng phải chia hết cho số chia nên số chia là ước của số dư cuối cùng.
- Lập bảng thử chọn để chọn ra giá trị của \(n\)thỏa mãn.

Vậy \(2{n^3} - 3{n^2} + 3n - 1 = \left( {2{n^2} - n + 2} \right)\left( {n - 1} \right) + 1\)
Để \(2{n^3} - 3{n^2} + 3n - 1\) chia hết cho \(n - 1\) thì \(1\) chia hết cho \(n - 1\).
\( \Rightarrow \left( {n - 1} \right) \in \left\{ {1; - 1} \right\}\)
Do đó n \( \in \) {0;2} để \(P \in Z\)
Vậy có 2 giá trị n thỏa mãn.
Tìm kết quả của phép chia 8x4 - 2x3 cho 4x2
2x2
4x5
2x2 - 0,5.x
2x2 + 1
Phép chia 2x4 – x3 + 2x – 1 cho x2 – x + 1 có thương là:
0,5. x2 + 2x – 1
- 2x2 + 2x – 1
2x2 + x – 1
2x2 + x + 1
Phép chia 2x5 – 3x3 + 1 cho -2x3 + 3 có dư là:
3x2 – 3,5
–x2 + 1,5
x2 - 1,5
-3x2 + 3,5
Thương của phép chia đa thức một biến bậc 6 cho đa thức một biến bậc 2 là đa thức bậc mấy?
2
3
4
Không xác định được
Tìm đa thức bị chia biết đa thức chia là \(\left( {{x^2} + x + 1} \right)\), thương là \(\left( {x + 3} \right)\), dư là \(x - 2\):
\({x^3} + 4{x^2} + 5x + 1\)
\({x^3} - 4{x^2} + 5x + 1\)
\({x^3} - 4{x^2} - 5x + 1\)
\({x^3} + 4{x^2} - 5x + 1\)
Tính giá trị biểu thức \(A = \left( {4{x^3} + 3{x^2} - 2x} \right):\left( {{x^2} + \dfrac{3}{4}x - \dfrac{1}{2}} \right)\) tại \(x = 2\)
\(8\)
\(9\)
\(10\)
\(12\)
Xác định hằng số \(a\) và \(b\) sao cho \(\left( {{x^4} + ax + b} \right) \vdots \left( {{x^2} - 4} \right)\):
\(a = 0\) và \(b = - 16\)
\(a = 0\) và \(b = 16\)
\(a = 0\) và \(b = 0\)
\(a = 1\) và \(b = 1\)
Xác định a để \(\left( {6{x^3} - 7{x^2} - x + a} \right):\left( {2x + 1} \right)\) dư \(2\):
\( - 4\)
\(2\)
\( - 2\)
\(4\)
Cho \(P = \dfrac{{2{n^3} - 3{n^2} + 3n - 1}}{{n - 1}}\). Có bao nhiêu giá trị \(n \in Z\) để \(P \in Z\).
0
1
2
Vô số
Tìm kết quả của phép chia 8x4 - 2x3 cho 4x2
2x2
4x5
2x2 - 0,5.x
2x2 + 1
Đáp án : C
Muốn chia đa thức cho đơn thức, ta chia từng hạng tử của đa thức cho đơn thức rồi tổng các kết quả thu được.
Ta có:
(8x4 - 2x3) : 4x2 = 8x4 : 4x2 - 2x3 : 4x2 = 2x2 – 0,5.x
Phép chia 2x4 – x3 + 2x – 1 cho x2 – x + 1 có thương là:
0,5. x2 + 2x – 1
- 2x2 + 2x – 1
2x2 + x – 1
2x2 + x + 1
Đáp án : C
Muốn chia đa thức A cho đa thức B, ta làm như sau:
Bước 1: Đặt tính chia tương tự như chia hai số tự nhiên. Lấy hạng tử bậc cao nhất của A chia cho hạng tử bậc cao nhất của B.
Bước 2: Lấy A trừ đi tích của B với thương mới thu được ở bước 1
Bước 3: Lấy hạng tử bậc cao nhất của dư thứ nhất chia cho hạng tử bậc cao nhất của B
Bước 4: Lấy dư thứ nhất trừ đi tích B với thương vừa thu được ở bước 3
Bước 5: Làm tương tự như trên
Đến khi dư cuối cùng có bậc nhỏ hơn bậc của B thì quá trình chia kết thúc.

Phép chia 2x5 – 3x3 + 1 cho -2x3 + 3 có dư là:
3x2 – 3,5
–x2 + 1,5
x2 - 1,5
-3x2 + 3,5
Đáp án : A
Muốn chia đa thức A cho đa thức B, ta làm như sau:
Bước 1: Đặt tính chia tương tự như chia hai số tự nhiên. Lấy hạng tử bậc cao nhất của A chia cho hạng tử bậc cao nhất của B.
Bước 2: Lấy A trừ đi tích của B với thương mới thu được ở bước 1
Bước 3: Lấy hạng tử bậc cao nhất của dư thứ nhất chia cho hạng tử bậc cao nhất của B
Bước 4: Lấy dư thứ nhất trừ đi tích B với thương vừa thu được ở bước 3
Bước 5: Làm tương tự như trên
Đến khi dư cuối cùng có bậc nhỏ hơn bậc của B thì quá trình chia kết thúc.

Vậy số dư là \(3x^2 - \frac{7}{2} = 3x^2 – 3,5\)
Thương của phép chia đa thức một biến bậc 6 cho đa thức một biến bậc 2 là đa thức bậc mấy?
2
3
4
Không xác định được
Đáp án : C
Viết dạng tổng quát của phép chia đa thức bậc 6 cho đa thức bậc 2
Ta có: Đa thức biến x bậc 6 có dạng: a6 . x6 + a5 . x5 + a4 . x4 + a3 . x3 + a2 . x2 + a1. x + a0 (a6 khác 0)
Đa thức biến x bậc 2 có dạng: b2 . x2 + b1. x + b0 (b2 khác 0)
Khi chia đa thức biến x bậc 6 cho đa thức biến x bậc 2, đầu tiên, ta lấy hạng tử : a6 . x6 chia cho b2 . x2 nên thu được đa thức thương có bậc là 6 – 2 = 4
Tìm đa thức bị chia biết đa thức chia là \(\left( {{x^2} + x + 1} \right)\), thương là \(\left( {x + 3} \right)\), dư là \(x - 2\):
\({x^3} + 4{x^2} + 5x + 1\)
\({x^3} - 4{x^2} + 5x + 1\)
\({x^3} - 4{x^2} - 5x + 1\)
\({x^3} + 4{x^2} - 5x + 1\)
Đáp án : A
Tìm đa thức A thỏa mãn A = B. Q + R
Trong đó, A là đa thức bị chia, B là đa thức chia, Q là thương, R là dư
Ta có: Đa thức bị chia = \(\left( {{x^2} + x + 1} \right)\). \(\left( {x + 3} \right)\) + \(x - 2\)
= x2 . (x + 3) + x. (x+3) + 1. (x+3) + x – 2
= x2 . x + x2 . 3 + x .x + x . 3 + 1. x + 1.3 + x – 2
= x3 + 3x2 + x2 + 3x + x + 3 + x – 2
= x3 + (3x2 + x2 ) + (3x + x + x ) + (3 – 2)
= x3 + 4x2 + 5x + 1
Tính giá trị biểu thức \(A = \left( {4{x^3} + 3{x^2} - 2x} \right):\left( {{x^2} + \dfrac{3}{4}x - \dfrac{1}{2}} \right)\) tại \(x = 2\)
\(8\)
\(9\)
\(10\)
\(12\)
Đáp án : A
+) Chia đa thức cho đa thức: Muốn chia đa thức A cho đa thức B, ta làm như sau:
Bước 1: Đặt tính chia tương tự như chia hai số tự nhiên. Lấy hạng tử bậc cao nhất của A chia cho hạng tử bậc cao nhất của B.
Bước 2: Lấy A trừ đi tích của B với thương mới thu được ở bước 1
Bước 3: Lấy hạng tử bậc cao nhất của dư thứ nhất chia cho hạng tử bậc cao nhất của B
Bước 4: Lấy dư thứ nhất trừ đi tích B với thương vừa thu được ở bước 3
Bước 5: Làm tương tự như trên
Đến khi dư cuối cùng có bậc nhỏ hơn bậc của B thì quá trình chia kết thúc.
+) Thay x = 2 vào đa thức thương vừa thu được

Tại \(x = 2\) , ta có: \(A = 4x = 4.2 = 8\)
Xác định hằng số \(a\) và \(b\) sao cho \(\left( {{x^4} + ax + b} \right) \vdots \left( {{x^2} - 4} \right)\):
\(a = 0\) và \(b = - 16\)
\(a = 0\) và \(b = 16\)
\(a = 0\) và \(b = 0\)
\(a = 1\) và \(b = 1\)
Đáp án : A
+) Chia đa thức cho đa thức: Muốn chia đa thức A cho đa thức B, ta làm như sau:
Bước 1: Đặt tính chia tương tự như chia hai số tự nhiên. Lấy hạng tử bậc cao nhất của A chia cho hạng tử bậc cao nhất của B.
Bước 2: Lấy A trừ đi tích của B với thương mới thu được ở bước 1
Bước 3: Lấy hạng tử bậc cao nhất của dư thứ nhất chia cho hạng tử bậc cao nhất của B
Bước 4: Lấy dư thứ nhất trừ đi tích B với thương vừa thu được ở bước 3
Bước 5: Làm tương tự như trên
Đến khi dư cuối cùng có bậc nhỏ hơn bậc của B thì quá trình chia kết thúc.
+) Biện luận để \(\left( {{x^4} + ax + b} \right) \vdots \left( {{x^2} - 4} \right)\) thì dư = 0, tìm a,b

Để \({x^4} + ax + b\) chia hết cho \({x^2} - 4\) thì
\(ax + b + 16 = 0 \)
\(ax = 0\) và \(b + 16 = 0\)
suy ra \(a = 0\) và \(b = - 16\)
Xác định a để \(\left( {6{x^3} - 7{x^2} - x + a} \right):\left( {2x + 1} \right)\) dư \(2\):
\( - 4\)
\(2\)
\( - 2\)
\(4\)
Đáp án : D
+) Chia đa thức cho đa thức: Muốn chia đa thức A cho đa thức B, ta làm như sau:
Bước 1: Đặt tính chia tương tự như chia hai số tự nhiên. Lấy hạng tử bậc cao nhất của A chia cho hạng tử bậc cao nhất của B.
Bước 2: Lấy A trừ đi tích của B với thương mới thu được ở bước 1
Bước 3: Lấy hạng tử bậc cao nhất của dư thứ nhất chia cho hạng tử bậc cao nhất của B
Bước 4: Lấy dư thứ nhất trừ đi tích B với thương vừa thu được ở bước 3
Bước 5: Làm tương tự như trên
Đến khi dư cuối cùng có bậc nhỏ hơn bậc của B thì quá trình chia kết thúc.
+) Biện luận để dư = 2

Để \(6{x^3} - 7{x^2} - x + a\) chia \(2x + 1\) dư \(2\) thì \(a - 2 = 2 \Leftrightarrow a = 4\).
Cho \(P = \dfrac{{2{n^3} - 3{n^2} + 3n - 1}}{{n - 1}}\). Có bao nhiêu giá trị \(n \in Z\) để \(P \in Z\).
0
1
2
Vô số
Đáp án : C
- Đặt phép chia.
- Để thỏa mãn điều kiện của đề bài thì số dư cuối cùng phải chia hết cho số chia nên số chia là ước của số dư cuối cùng.
- Lập bảng thử chọn để chọn ra giá trị của \(n\)thỏa mãn.

Vậy \(2{n^3} - 3{n^2} + 3n - 1 = \left( {2{n^2} - n + 2} \right)\left( {n - 1} \right) + 1\)
Để \(2{n^3} - 3{n^2} + 3n - 1\) chia hết cho \(n - 1\) thì \(1\) chia hết cho \(n - 1\).
\( \Rightarrow \left( {n - 1} \right) \in \left\{ {1; - 1} \right\}\)
Do đó n \( \in \) {0;2} để \(P \in Z\)
Vậy có 2 giá trị n thỏa mãn.
Bài 28 trong chương trình Toán 7 Kết nối tri thức tập trung vào phép chia đa thức một biến. Đây là một kỹ năng quan trọng, nền tảng cho các kiến thức toán học ở các lớp trên. Việc nắm vững các quy tắc và phương pháp chia đa thức sẽ giúp học sinh giải quyết các bài toán một cách nhanh chóng và chính xác.
Trước khi đi vào giải các bài tập trắc nghiệm, chúng ta cần nắm vững các khái niệm sau:
Để chia đa thức một biến, ta thực hiện các bước sau:
Các bài tập trắc nghiệm về phép chia đa thức một biến thường gặp các dạng sau:
Ví dụ 1: Chia đa thức 2x3 + 5x2 - 7x + 1 cho đa thức x - 1.
Ta thực hiện phép chia như sau:
| 2x2 | 7x | 0 | ||
|---|---|---|---|---|
| x - 1 | 2x3 | 5x2 | -7x | +1 |
| 2x3 - 2x2 | ||||
| 7x2 | -7x | +1 | ||
| 7x2 - 7x | ||||
| 0 | +1 |
Vậy, thương là 2x2 + 7x và số dư là 1.
Để giải nhanh các bài tập trắc nghiệm về phép chia đa thức, bạn có thể sử dụng các mẹo sau:
Để nắm vững kiến thức và kỹ năng về phép chia đa thức một biến, bạn cần luyện tập thường xuyên. Hãy làm nhiều bài tập trắc nghiệm khác nhau để làm quen với các dạng bài và rèn luyện khả năng giải toán của mình.
Bài 28: Phép chia đa thức một biến là một bài học quan trọng trong chương trình Toán 7 Kết nối tri thức. Hy vọng rằng, với những kiến thức và kỹ năng đã được trình bày trong bài viết này, bạn sẽ tự tin hơn khi giải các bài tập trắc nghiệm và các bài toán liên quan đến phép chia đa thức.