Chào mừng các em học sinh lớp 3 đến với bài học Toán trang 117 sách Cánh diều. Bài học hôm nay sẽ giúp các em ôn tập và củng cố kiến thức về phép nhân và phép chia trong phạm vi 1000.
Giaibaitoan.com sẽ cung cấp lời giải chi tiết, dễ hiểu cho từng bài tập, giúp các em tự tin hơn trong quá trình học tập.
Tìm phép chia sai rồi sửa lại cho đúng: Đặt dấu ngoặc ( ) vào các biểu thức sau để được các biểu thức có giá trị đúng
Video hướng dẫn giải
Đặt tính rồi tính.

Phương pháp giải:
a) Đặt tính sao cho các chữ số cùng hàng thẳng cột với nhau.
Tính theo thứ tự từ phải sang trái.
b) Đặt tính rồi chia theo thứ tự từ trái sang phải.
Lời giải chi tiết:

Video hướng dẫn giải
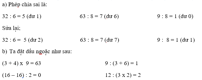
a) Tìm phép chia sai rồi sửa lại cho đúng:

b) Đặt dấu ngoặc ( ) vào các biểu thức sau để được các biểu thức có giá trị đúng:

Phương pháp giải:
a) Thực hiện phép chia rồi kết luận.
b) Đặt dấu ngoặc vào vị trí thích hợp để được biểu thức có giá trị đúng.
Lời giải chi tiết:

Video hướng dẫn giải
Cây phong ba và cây bàng vuông là loài cây có ở quần đảo Trường Sa của Việt Nam. Nhân dịp Tết trồng cây, người ta trồng 9 cây phong ba và trồng số cây bàng vuông nhiều gấp 4 lần số cây phong ba. Hỏi tổng số cây phong ba và cây bàng vuông đã được trồng trong dịp này là bao nhiêu cây?

Phương pháp giải:
Bước 1: Tìm số cây bàng vuông = số cây phong ba x 4
Bước 2: Số cây trồng được tất cả = Số cây phong ba + số cây bàng vuông
Lời giải chi tiết:
Tóm tắt
Cây phong ba: 9 cây
Cây bàng vuông: gấp 4 lần số cây phong ba
Tất cả: … cây?
Bài giải
Số cây bàng vuông trồng được là
9 x 4 = 36 (cây)
Tổng số cây phong ba và cây bàng vuông đã được trồng là
9 + 36 = 45 (cây)
Đáp số: 45 cây
Video hướng dẫn giải
a) Số?

b) Tính:

Phương pháp giải:
a) Tính nhẩm kết quả các phép tính theo chiều mũi tên rồi viết số thích hợp vào ô trống.
b) Nếu trong biểu thức có các phép tính cộng, trừ, nhận, chia thì ta thực hiện phép tính nhân, chia trước, thực hiện phép tính cộng, trừ sau.
Lời giải chi tiết:
a)

b)

Video hướng dẫn giải
Số?

Phương pháp giải:
- Để thêm 4 đơn vị (hoặc bớt 4 đơn vị) vào số đã cho em cộng (hoặc trừ) số đó với 4.
- Để gấp một số lên 4 lần ta lấy số đó nhân với 4.
- Để giảm một số 4 lần ta lấy số đó chia cho 4.
Lời giải chi tiết:

Video hướng dẫn giải
Mẹ may mỗi chiếc rèm hết 6 m vải. Hỏi:
a) Có 24 m vải mẹ may được mấy chiếc rèm như thế?
b) Mẹ may 11 chiếc rèm như thế hết bao nhiêu mét vải?

Phương pháp giải:
a) Số chiếc rèm may được = Số mét vải có tất cả : Số mét vải để may 1 chiếc rèm
b) Số mét vải để may 11 chiếc rèm = Số mét vải để may một chiếc rèm x 11
Lời giải chi tiết:
a) Số chiếc rèm mẹ may được từ 24 mét vải là
24 : 6 = 4 (chiếc rèm)
b) Mẹ may 11 chiếc rèm như thế hết số mét vải là
6 x 11 = 66 (mét)
Đáp số: a) 4 chiếc rèm
b) 66 mét vải
Video hướng dẫn giải
a) Số?

b) Tính:

Phương pháp giải:
a) Tính nhẩm kết quả các phép tính theo chiều mũi tên rồi viết số thích hợp vào ô trống.
b) Nếu trong biểu thức có các phép tính cộng, trừ, nhận, chia thì ta thực hiện phép tính nhân, chia trước, thực hiện phép tính cộng, trừ sau.
Lời giải chi tiết:
a)

b)

Video hướng dẫn giải
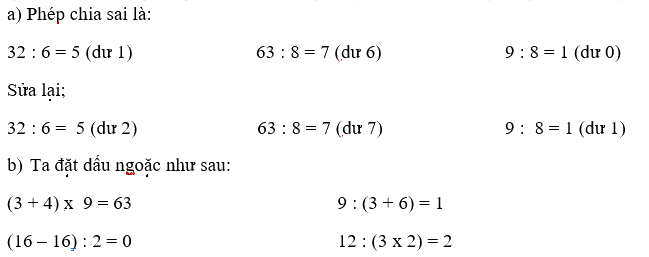
a) Tìm phép chia sai rồi sửa lại cho đúng:

b) Đặt dấu ngoặc ( ) vào các biểu thức sau để được các biểu thức có giá trị đúng:

Phương pháp giải:
a) Thực hiện phép chia rồi kết luận.
b) Đặt dấu ngoặc vào vị trí thích hợp để được biểu thức có giá trị đúng.
Lời giải chi tiết:

Video hướng dẫn giải
Số?

Phương pháp giải:
- Để thêm 4 đơn vị (hoặc bớt 4 đơn vị) vào số đã cho em cộng (hoặc trừ) số đó với 4.
- Để gấp một số lên 4 lần ta lấy số đó nhân với 4.
- Để giảm một số 4 lần ta lấy số đó chia cho 4.
Lời giải chi tiết:

Video hướng dẫn giải
Cây phong ba và cây bàng vuông là loài cây có ở quần đảo Trường Sa của Việt Nam. Nhân dịp Tết trồng cây, người ta trồng 9 cây phong ba và trồng số cây bàng vuông nhiều gấp 4 lần số cây phong ba. Hỏi tổng số cây phong ba và cây bàng vuông đã được trồng trong dịp này là bao nhiêu cây?

Phương pháp giải:
Bước 1: Tìm số cây bàng vuông = số cây phong ba x 4
Bước 2: Số cây trồng được tất cả = Số cây phong ba + số cây bàng vuông
Lời giải chi tiết:
Tóm tắt
Cây phong ba: 9 cây
Cây bàng vuông: gấp 4 lần số cây phong ba
Tất cả: … cây?
Bài giải
Số cây bàng vuông trồng được là
9 x 4 = 36 (cây)
Tổng số cây phong ba và cây bàng vuông đã được trồng là
9 + 36 = 45 (cây)
Đáp số: 45 cây
Video hướng dẫn giải
Đặt tính rồi tính.

Phương pháp giải:
a) Đặt tính sao cho các chữ số cùng hàng thẳng cột với nhau.
Tính theo thứ tự từ phải sang trái.
b) Đặt tính rồi chia theo thứ tự từ trái sang phải.
Lời giải chi tiết:

Video hướng dẫn giải
Mẹ may mỗi chiếc rèm hết 6 m vải. Hỏi:
a) Có 24 m vải mẹ may được mấy chiếc rèm như thế?
b) Mẹ may 11 chiếc rèm như thế hết bao nhiêu mét vải?

Phương pháp giải:
a) Số chiếc rèm may được = Số mét vải có tất cả : Số mét vải để may 1 chiếc rèm
b) Số mét vải để may 11 chiếc rèm = Số mét vải để may một chiếc rèm x 11
Lời giải chi tiết:
a) Số chiếc rèm mẹ may được từ 24 mét vải là
24 : 6 = 4 (chiếc rèm)
b) Mẹ may 11 chiếc rèm như thế hết số mét vải là
6 x 11 = 66 (mét)
Đáp số: a) 4 chiếc rèm
b) 66 mét vải
Bài tập trang 117 Toán lớp 3 Cánh diều là phần ôn tập quan trọng, giúp học sinh củng cố kiến thức đã học về phép nhân và phép chia trong phạm vi 1000. Dưới đây là giải chi tiết từng bài tập để các em học sinh có thể hiểu rõ hơn và tự tin làm bài.
Bài 1 yêu cầu các em tính nhẩm các phép tính nhân và chia đơn giản. Việc tính nhẩm nhanh và chính xác là kỹ năng quan trọng trong toán học. Các em nên luyện tập thường xuyên để nâng cao khả năng này.
Bài 2 yêu cầu các em thực hiện các phép tính nhân và chia có số bị chia và số chia lớn hơn. Các em cần chú ý thực hiện đúng thứ tự các phép tính và kiểm tra lại kết quả để đảm bảo tính chính xác.
Bài 3 là bài toán có lời văn, yêu cầu các em phân tích đề bài, xác định đúng các yếu tố cần tìm và lựa chọn phép tính phù hợp để giải bài toán. Đây là phần quan trọng để rèn luyện kỹ năng giải quyết vấn đề trong toán học.
Ví dụ: Một cửa hàng có 5 thùng kẹo, mỗi thùng có 24 gói kẹo. Hỏi cửa hàng có tất cả bao nhiêu gói kẹo?
Bài giải:
Số gói kẹo cửa hàng có tất cả là: 5 x 24 = 120 (gói)
Đáp số: 120 gói
Bài 4 yêu cầu các em tìm giá trị của x trong các phương trình đơn giản. Các em cần sử dụng các phép tính đã học để biến đổi phương trình và tìm ra giá trị của x.
Ví dụ: x + 12 = 25
x = 25 - 12
x = 13
Phép nhân và phép chia là hai phép tính cơ bản trong toán học. Việc nắm vững kiến thức về hai phép tính này là nền tảng quan trọng để học các kiến thức toán học nâng cao hơn. Ôn tập thường xuyên sẽ giúp các em nhớ lâu hơn và áp dụng linh hoạt vào các bài toán thực tế.
Giaibaitoan.com luôn đồng hành cùng các em học sinh trong quá trình học tập. Chúng tôi cung cấp lời giải chi tiết, dễ hiểu cho tất cả các bài tập trong sách giáo khoa Toán lớp 3 Cánh diều. Hãy truy cập giaibaitoan.com để học toán online hiệu quả và đạt kết quả tốt nhất!
| Phép nhân | Kết quả |
|---|---|
| 1 x 1 | 1 |
| 2 x 2 | 4 |
| 3 x 3 | 9 |
| ... | ... |
Hy vọng với những hướng dẫn chi tiết này, các em sẽ tự tin hơn khi giải bài tập Toán lớp 3 trang 117 - Ôn tập về phép nhân, phép chia trong phạm vi 1 000 - SGK Cánh diều. Chúc các em học tốt!